定義
原子核的磁矩比電子磁矩小大約三個數量級。如果只考慮電子的磁矩對原子總磁矩的貢獻,那么磁場引起的附加能量為
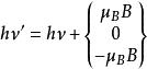
正常塞曼效應這裡將磁感應強度 B的方向取為z軸方向,μ是磁矩在z方向上的投影。m是電子總角動量J在z方向投影的量子數,可以取-J,-J+1,…J-1,J共2J+1個值,g是電子總角動量的朗德因子,μ是玻爾磁子。
這樣,原子的每一個能級分裂成若干分立的能級,兩個能級之間躍遷的能量差為:
正常塞曼效應
正常塞曼效應對於自鏇為零的體系有g=g=1。由於躍遷的選擇定則,頻率ν只有三個數值:
正常塞曼效應分析結果
正常塞曼效應
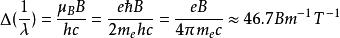
正常塞曼效應因此一條頻率為ν的譜線在外磁場中分裂成三條譜線,相互之間頻率間隔相等,為。洛侖茲套用經典電磁理論解釋了正常塞曼效應,計算出了這個頻率間隔。通常把這個能量差的波數間隔
正常塞曼效應稱為洛侖茲單位,符號。
鎘的643.847nm( D態向 P態的躍遷)譜線在磁場不太強時就是表現出正常塞曼效應。這兩個態的g都等於1,在外磁場中, D分裂成5個子能級, P分裂成3個子能級,由於選擇定則,這些子能級之間有9種可能的躍遷,有3種可能的能量差值,所以譜線分裂成3條。
塞曼效應的歷史
1896年,荷蘭物理學家塞曼使用半徑10英尺的凹形羅蘭光柵觀察磁場中的納火焰的光譜,他發現鈉的D譜線似乎出現了加寬的現象。這種加寬現象實際是譜線發生了分裂。隨後不久,塞曼的老師、荷蘭物理學家洛化茲套用經典電磁理論對這種現象進行了解釋。他認為,由於電子存在軌道磁矩,並且磁矩方向在空間的取向是量子化的,因此在磁場作用下能級發生分裂,譜線分裂成間隔相等的3條譜線。塞曼和洛倫茲因為這一發現共同獲得了1902年的諾貝爾物理學獎。
1897年12月,普雷斯頓(T.Preston)報告稱,在很多實驗中觀察到光譜線有時並非分裂成3條,間隔也不盡相同,人們把這種現象叫做為 反常塞曼效應,將塞曼原來發現的現象叫做 正常塞曼效應。反常塞曼效應的機制在其後二十餘年時間裡一直沒能得到很好的解釋,困擾了一大批物理學家。1925年,兩名荷蘭學生烏侖貝克(G.E.Uhlenbeck,1900--1974)和古茲米特(S.A.Goudsmit,1902--1978)提出了電子自鏇假設,很好地解釋了反常塞曼效應。
套用正常塞曼效應測量譜線分裂的頻率間隔可以測出電子的荷質比。由此計算得到的荷質比數值與約瑟夫湯姆遜在陰極射線偏轉實驗中測得的電子荷質比數量級是相同的,二者互相印證,進一步證實了電子的存在。
塞曼效應也可以用來測量天體的磁場。1908年美國天文學家海爾等人在威爾遜山天文台利用塞曼效應,首次測量到了太陽黑子的磁場。
