概念
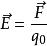
如果有幾個點電荷同時存在,它們產生的電場就相互疊加,形成合電場,這時某點的場強等於各個電荷單獨存在時在該點產生的場強的矢量和。場強疊加原理實際上就是力的疊加原理。
推導過程如下:
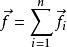
如果帶電體由 n個點電荷組成,如圖
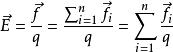
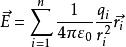
場強疊加原理由電力疊加原理:
場強疊加原理由場強定義:
場強疊加原理整理後得:
場強疊加原理
場強疊加原理或
若帶電體可看作是電荷連續分布的,如圖
場強疊加原理把帶電體看作是由許多個電荷元組成,然後利用場強疊加原理。
場強疊加原理特徵
由於場強是矢量,故欲求出各個電荷在某點受電場力的矢量和需用平行四邊形法則;
各個電荷產生的電場是獨立的、互不影響的;
利用電場的疊加原理,理論上可計算任意帶電體在任意點的場強。
公式表現
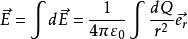
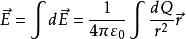
場強的可疊加性,不僅對點電荷系成立,對任意帶點系統所產生的電場也是正確的。若要求電荷連續分布的帶電體的場強分布時,我們可將帶電體所攜帶的電荷看成由許多極小的電荷元dq的集合,每一電荷元dq作點電荷處理。電場強度即單位正電荷所受的力:
場強疊加原理點電荷的電場強度:
場強疊加原理dq在場中某點產生的電場強度dE為
場強疊加原理式中,r是dQ到該點徑矢的大小,e為單位矢量。由場強疊加原理,所有電荷元在該點產生的合場強是各個電荷元在該點產生場強的矢量疊加,即
場強疊加原理必須指出,式中是取矢量和及矢量積分,通常均需化成標量和或標量積分求解。

