簡介
彈性力學發展簡史
彈性力學的發展大體分為四個時期。
物理學家H·R·赫茲解決了接觸問題第二個時期是理論基礎的建立時期。這個時期的主要成就是,從1822~1828年間,在A.-L·柯西發表的一系列論文中明確地提出了應變、應變分量、應力和應力分量概念,建立了彈性力學的幾何方程、平衡(運動)微分方程,各向同性和各向異性材料的廣義胡克定律,從而為彈性力學奠定了理論基礎。
第三個時期是線性各向同性彈性力學大發展時期。這個時期的主要特點是彈性力學被廣泛套用於工程問題,同時在理論方面建立了許多重要的定理和原理,並提出了許多有效的計算方法。這個時期從A·J·C·B·de聖維南於1855~1856年間發表關於柱體的扭轉和彎曲的論文後開始,開闢了一條用半物理半數學的方法解彈性力學基本方程的途徑。接著G·B·艾里解決了平面應力問題,H·R·赫茲解決了接觸問題,G·基爾施解決了孔邊應力集中問題,等等。這些成就的取得,使彈性力學得到工程界的重視。在這個時期中,彈性力學的一般理論也有了很大的發展。在彈性力學基本方程建立後不久,建立了彈性力學的虛功原理和最小勢能原理。1872年E.貝蒂建立了互換定理。1879年A·卡斯蒂利亞諾建立了余能原理。由於這些能量原理的建立,使基於這些原理的近似計算(如瑞利-里茲法和伽遼金法)也得到了發展。
從20世紀20年代起,彈性力學進入第四個時期,各向異性和非均勻體的彈性力學、非線性彈性力學、熱彈性力學等都有了重大發展。另外,還出現了許多邊緣分支,如研究固體與氣體(或液體)共同作用的氣動彈性力學以及粘彈性力學等。這些領域的發展,促進了有關工程技術的發展。
主要內容
相關書籍求解一個彈性力學問題,就是設法確定彈性體中各點的位移、應變和應力共15個函式。從理論上講,只有15個函式全部確定後,問題才算解決。但在各種實際問題中,起主要作用的常常只是其中的幾個函式,有時甚至只是物體的某些部位的某幾個函式。所以常常用實驗和數學相結合的方法,就可求解。數學彈性力學的典型問題主要有一般性理論、柱體扭轉和彎曲、平面問題、變截面軸扭轉,迴轉體軸對稱變形等方面。
在近代,經典的彈性理論得到了新的發展。例如,把切應力的成對性發展為極性物質彈性力學;把協調方程(保證物體變形後連續,各應變分量必須滿足的關係)發展為非協調彈性力學;推廣胡克定律,除機械運動本身外,還考慮其他運動形式和各種材科的物理方程稱為本構方程。對於彈性體的某一點的本構方程,除考慮該點本身外還要考慮彈性體其他點對該點的影響,發展為非局部彈性力學等。
基本假定
1.假定物體是連續的,就是假定整個物體的體積都被組成這個物體的介質所填滿,不留下任何空隙。2.假定物體是完全彈性的,就是假定物體完全服從胡克定律——應變與引起該應變的那個應力分量成比例。
3.假定物體是均勻的,就是整個物體是由同一材料組成的。
4.假定物體是各向同性的,就是物體內一點的彈性在所有各個方向都相同。
5.假定位移和形變是微小的。
分支學科
主要分支靜力學、動力學、流體力學、分析力學、運動學、固體力學、材料力學、複合材料力學、流變學、結構力學、彈性力學、塑性力學、爆炸力學、磁流體力學、空氣動力學、理性力學、物理力學、天體力學、生物力學、計算力學
物理分支
物理學概覽、力學、熱學、光學、聲學、電磁學、核物理學、固體物理學
基本方程
在各向同性線性彈性力學中,為了求得應力、應變和位移,先對構成物體的材料以及物體的變形作了五條基本假設,即:連續性假設、均勻性假設、各向同性假設、完全彈性假設和小變形假設,然後分別從問題的靜力學、幾何學和物理學方面出發,導得彈性力學的基本方程和邊界條件的表達式。
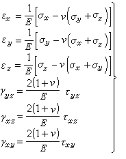
直角坐標系下的彈性力學的基本方程為平衡微分方程:
(1)
(2)
(3)
(1)式中的σx、σy、σz、τyz=τzy、τxz=τzx、τxy=τyx為應力分量,X、Y、Z為單位體積的體力在三個坐標方向的分量;(2)式中的u、v、w為位移矢量的三個分量(簡稱位移分量),εx、εy、εz、γyz、γxz、γxy為應變分量;(3)式中的E和v分別表示楊氏彈性模量和泊松比。
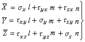
在物體的表面,如已知面力,則邊界條件表示為
(4)
這裡的 塣、墏、墫表示作用在物體表面的單位面積上的面力矢量的三個分量,l、m、n表示物體表面外法線的三個方向餘弦。
如物體表面位移ū、堸、塐已知,則邊界條件表示為
u=ū,v=堸,w=塐 (5)
這樣就將彈性力學問題歸結為在給定的邊界條件下求解一組偏侮分方程的問題。
主要解法式(1)、(2)、(3)中有15個變數,15個方程,在給定了邊界條件後,從理論上講應能求解。但由(2)、(3)式可見,應變分量、應力分量和位移分量之間不是彼此獨立的,因此求解彈性力學問題通常有兩條途徑。其一是以位移作為基本變數,歸結為在給定的邊界條件下求解以位移表示的平衡微分方程,這個方程可以從(1)、(2)、(3)式中消去應變分量和應力分量而得到。其二是以應力作為基本變數,應力分量除了要滿足平衡微分方程和靜力邊界條件外,為保證物體變形的連續性,對應的應變分量還須滿足相容方程:
(6)
這組方程由幾何方程消去位移分量而得到。對於不少具體問題,上述方程還可以簡化。
在彈性力學中,為克服求解偏微分方程(或方程組)的困難,通常採用試湊法,即根據物體形狀的幾何特性和受載情況,去試湊位移分量或應力分量;由彈性力學解的唯一性定理,只要所試湊的量滿足全部方程和全部邊界條件,即為問題的精確解。
從數學觀點來看,彈性力學方程的定解問題可變為求泛函的極值問題。例如,對於用位移作為基本變數求解的問題,又可以歸結為求解變分方程:
δП1=0 (7)
П1是物體的總勢能,它是一切滿足位移邊界條件的位移的泛函。對於穩定平衡狀態,精確的位移將使總勢能П1取最小值的稱為最小勢能原理。又如對於用應力作為基本變數求解的問題,可歸結為求解變分方程:
δП2=0 (8)
П2為物體的總余能,它是一切滿足平衡微分方程和靜力邊界條件的應力分量的泛函。精確的應力分量將使總余能 П2取最小值的稱為最小余能原理。(7)式等價於用位移表示的平衡微分方程和靜力邊界條件,而(8)式則等價於用應
相關書籍還有各種所謂的廣義變分原理,其中最一般的是廣義勢能原理和廣義余能原理,它們等價於彈性力學的全部基本方程和邊界條件。但和總勢能П1和總余能П2不同,廣義勢能和廣義余能作為應力分量、應變分量和位移分量的泛函,對於精確解,也只取非極值的駐值。
由於彈性力學的基本方程是在彈性力學的五條基本假設下通過嚴密的數學推導得出的,因此彈性力學又稱為數學彈性力學。而板殼力學則屬於套用彈性力學。因為,它除了引用這五條基本假設外,還對變形和應力的分布作了一些附加假設。從這個意義上講,材料力學也可納入套用彈性力學。可見,雖然彈性力學和材料力學都研究桿狀構件,但前者所獲得的結果是比較精確的。
相關學科
靜力學、動力學、流體力學、分析力學、運動學、固體力學、材料力學、複合材料力學、流變學、塑性力學、爆炸力學、磁流體力學、空氣動力學、理性力學、物理力學、天體力學、生物力學、計算力學、物理學、力學、熱學、光學、聲學、電磁學、核物理學、固體物理學。
![彈性力學[固體力學的重要分支] 彈性力學[固體力學的重要分支]](/img/a/995/nBnauM3XxUzM3EDM0gjN3ADO5MTM4EDN3ETNyQTNwAzMwIzL4YzLwczLt92YucmbvRWdo5Cd0FmLwE2LvoDc0RHa.jpg)
