定義
幾何方程是彈性力學中的一個描述所分析的微元體的位移與應變關係的函式方程。
方程形式
當對某物體進行受力分析時,先取一微元體,如下圖所示:
幾何方程由彈性力學的知識可以知道:
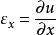
幾何方程x方向、y方向的線應變和xy方向的切應變可表示如下:
幾何方程
幾何方程上述3個方程式組就是微元體的應變和位移的關係式,稱之為幾何方程 。
套用
是彈性力學中的一個重要內容。
幾何方程是彈性力學中的一個描述所分析的微元體的位移與應變關係的函式方程。
幾何方程是彈性力學中的一個描述所分析的微元體的位移與應變關係的函式方程。
當對某物體進行受力分析時,先取一微元體,如下圖所示:
幾何方程由彈性力學的知識可以知道:
幾何方程x方向、y方向的線應變和xy方向的切應變可表示如下:
幾何方程
幾何方程上述3個方程式組就是微元體的應變和位移的關係式,稱之為幾何方程 。
是彈性力學中的一個重要內容。
超幾何方程具有三個正則奇點並有規範形式的一類富克斯方程。利用(非奇)分式變換v= (AC-BD≠0),對具有三個正則奇點的富克斯方程進行變數代,可以進一...
定義 相關定理幾何,猶若干,多少;研究空間結構及性質的一門學科。語出《詩·小雅·巧言》:“為猶將多,爾居徒幾何?”。幾何圖形的分類問題(比如把圓錐曲線分為三類),也就...
基本含義 古代幾何 發展分支 幾何作圖 幾何原本匯合型超幾何方程(confluent hypergeometric equation),亦稱庫默爾方程或者合流型超幾何方程,是常見的一種匯合型常微分方程...
簡介 德國數學家庫默爾 匯合型超幾何函式軌跡是指符合一定條件的動點所形成的圖形,或者說,符合一定條件的點的全體所組成的集合。包含兩個方面的問題:凡在軌跡上的點都符合給定的條件,這叫做軌跡的純粹...
定義 解法 典型例題所謂不定方程,是指未知數的個數多於方程個數,且未知數受到某些限制(如要求是有理數、整數或正整數等等)的方程或方程組。
簡介 歷史 常見類型 特殊方法 簡單例題幾何,猶若干,多少;研究空間結構及性質的一門學科。語出《詩·小雅·巧言》:“為猶將多,爾居徒幾何?”。幾何圖形的分類問題(比如把圓錐曲線分為三類),也就...
基本含義 古代幾何 發展分支 幾何作圖 幾何原本非歐幾何是一門大的數學分支,一般來講,他有廣義、狹義、通常意義這三個方面的不同含義。所謂廣義式泛指一切和歐幾里的幾何學不同的幾何學,狹義的非歐幾何只是指...
歷史 羅式幾何 黎曼幾何 關係 分支學科內容介紹《北京大學教材?常微分方程幾何理論與分支問題(第2次修訂本...方程與生態方程、n維系統的平衡點、多重奇點的分支、Hopf分支、從閉軌分...3 線性近似方程為中心的情況4 非線性系統的高階平衡點第三章 二維系統...
內容介紹 作品目錄作品目錄第一章漸近展開與漸近級數第二章貌似奇點(非本質奇點)的簡單例子第三章振盪積分的數值計算31穩相點原理32振盪積分在過渡區的計算第四章流形向量場,...
作品目錄