應力函式
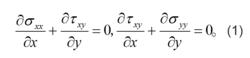
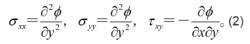
最有名的應力函式是彈性力學平面問題中的艾里應力函式。如果沒有體力,平面中的三個應力分量σxx、σyy、τxy滿足下列方程:
應力函式和位移函式根據方程(1),可將應力分量用一個函式φ(x,y)表示為:
應力函式和位移函式φ便是艾里應力函式。對於均勻和各向同性的物體,φ是一個雙調和函式,即它滿足下列雙調和方程:
ΔΔφ=0, (3)
式中Δ是平面的拉普拉斯算符。引入φ後,平面問題原來的8個未知函式(兩個位移分量、三個應變分量和三個應力分量σxx、σyy、τxy就歸結為一個函式φ。這對求解具體問題很有好處。
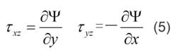
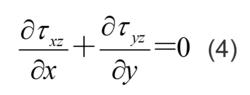
在彈性柱體的扭轉問題中,剪應力分量τxz、τyz滿足下列平衡方程:
應力函式和位移函式據此可將τxz、τyz用一個函式Ψ(x,y)表示為:
應力函式和位移函式Ψ稱為普朗特應力函式。對於均勻和各向同性的柱體,Ψ滿足下列方程:
ΔΨ=-2Gθ, (6)
式中G為材料的剪下模量(見材料的力學性能);θ為單位長度的扭轉角。
位移函式
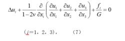
在求解彈性力學的空間問題時,也可以用六個應力函式代替原來的六個應力分量,但好處不多。所以,一般多採用各種位移函式。對於均勻和各向同性彈性體,位移分量u1、u2、u3滿足下列平衡方程:
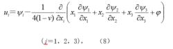
應力函式和位移函式式中Δ是空間中的拉普拉斯算符;ν為材料的泊松比;G為剪下模量;fi為體力分量。方程(7)的解可以表達成多種形式。一種形式為:
應力函式和位移函式
應力函式和位移函式式中ψ1、ψ2、ψ3、 四個函式滿足下列方程:
應力函式和位移函式
應力函式和位移函式函式ψ1、ψ2、ψ3、
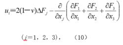
稱為布森涅斯克-帕普科維奇-紐勃位移函式。 彈性力學中許多空間問題的解都是從公式(8)推導出來的。方程(7)還有另一種形式的解,即
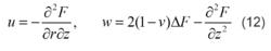
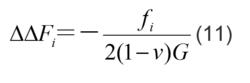
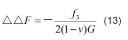
應力函式和位移函式式中Fi滿足下列方程:
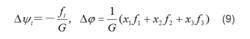
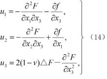
應力函式和位移函式函式F1、F2、F3稱為布森涅斯克-索米利亞納-伽遼金位移函式。對於迴轉體的軸對稱問題,公式(10)可作許多簡化。取對稱軸為z軸(x3軸),記r為所考慮點到z軸的距離,並記位移在r、z軸上的投影分別為u、w。若┃1=┃2=0,可取F1=F2=0,F3=F(r,z)。這樣由公式(10)可得到:
應力函式和位移函式式中,即柱坐標中的拉普拉斯算符;F滿足下列方程:
應力函式和位移函式公式(12)中的函式F稱為樂甫位移函式。 在求解軸對稱問題時,經常利用公式(12)。
在f1=f2=0的情況下,即使不是軸對稱問題,方程(7)的解也可用一組位移函式F、f表示如下:
應力函式和位移函式式中F、f滿足下列方程:
應力函式和位移函式這組位移函式特別適用於求解無限體、半無限體和厚板等問題。

