基本介紹
應力波相關圖書應力波是應力和應變擾動的傳播形式。在可變形固體介質中機械擾動表現為質點速度的變化和相應的應力、應變狀態的變化。應力、應變狀態的變化以波的方式傳播,稱為應力波。通常將擾動區域與未擾動區域的界面稱為波陣面,波陣面的傳播速度稱為波速。地震波、固體中
的聲波和超音波等都是常見的應力波。應力波的研究同地震、爆炸和高速碰撞等動載荷條件下的各種實際問題密切相關。在運動參量不隨時間變化的靜載荷條件下,可以忽略介質微元體的慣性力,但在運動參量隨時間發生顯著變化的動載荷條件下,介質中各個微元體處於隨時間變化著的動態過程中,特別是在爆炸或高速碰撞條件下,載荷可在極短歷時(毫秒、微秒甚至納秒量級)內達到很高數值(10、10甚至10帕量級),應變率高達10~10秒量級,因此常需計及介質微元體的慣性力,由此導致對應力波傳播的研究。對於一切具有慣性的可變形介質,當在應力波傳過物體所需的時間內外載荷發生顯著變化的情況下,介質的運動過程就總是一個應力波傳播、反射和相互作用的過程,這個過程的特點主要取決於材料的特性。應力波研究主要集中在介質的非定常運動、動載荷對介質產生的局部效應和早期效應以及載荷同介質的相互影響(見衝擊載荷下材料的力學性能),研究時需要考慮材料在高應變率下的動態力學性能和靜態力學性能的差別。問題的複雜性在於,應力波分析是以已知材料動態力學性能為前提的,而材料動態力學性能的實驗研究又往往依賴於應力波的分析。
研究簡史
當應力與應變呈線性關係時,介質中傳播的是彈性波;呈非線性關係時,為塑性波和衝擊波。彈性波理論是在19世紀30年代由S.-D.泊松、 M.B.奧斯特羅格拉茨基、G.G.斯托克斯等人,以及隨後由瑞利等人研究與彈性振動相聯繫的問題而發展起來的。塑性波理論則直到20世紀40年代,由於第二次世界大戰期間軍事技術的需要,由T.von卡門、G.I.泰勒和X.A.拉赫馬圖林等人分別獨立發展的。至於與應變率相關的粘塑性理論,則是50年代前後由B.B.索科洛夫斯基和L.E.馬爾文等提出彈-粘塑性理論後開始發展起來的。近三十年來,應力波研究得到迅速發展,已在地震,工程爆破、爆炸加工和爆炸合成,超音波和聲發射技術,機械設備的衝擊強度,工程結構和建築的動態回響,彈丸對裝甲的撞擊侵徹、微流星體和雨雪冰沙對飛行器的高速撞擊以及地球、月球的隕石坑和地質結構中“衝擊變性”的研究,材料在高應變率下動態力學性能和本構關係的研究,斷裂動力學的研究,衝擊載荷下材料的力學性質、電磁性質和相變等的研究,高能量密度粒子束(電子束、X射線、雷射等) 對材料的作用(見粒子束爆炸)的研究等廣闊的領域中有著重要的套用。
基本內容
應力波
炸藥在土岩介質中爆炸時,其衝擊壓力以波動形式向四外傳播,這種波統稱為應力波。當應力與應變呈線性關係時,介質中傳播的是彈性波;呈非線性關係時,為塑性波和衝擊波。
應力波基礎本書系統地敘述了固體介質中應力波傳播理論的基礎知識,這對於涉及爆炸、衝擊和地震等動載荷條件下的經濟建設、軍事技術、科學研究、安全和環境保護等,都有著廣泛的套用價值。為適合初學者,本書由淺入深地論述了五方面內容:首先從桿中一維應力彈性波、塑性波、衝擊波、卸載波等,逐步討論到線性粘彈性波、非線性粘彈性波和彈粘塑性波,其中,尤其以塑性載入波與彈性卸載波的相互作用,即載入—卸載邊界的傳播進行全面而深入的分析為特色;然後討論三維應力作用下的一維應變平面波、球面波和柱面波,其中包含彈性波、塑性波、固體在高壓下的激波(高壓下流體動力學分)和粘塑性波等內容;第三部分討論了橫向衝擊載荷作用下柔性弦中彈塑性波和梁中彈塑性波的傳播理論,先後涉及弦中互相耦合的縱波與橫波的傳播和梁中互相搞合的彎矩擾動與切力擾動的傳播;接著介紹了一般的彈性波理論;最後為適應當前計算機數值模擬的迅速發展和廣泛套用,概括地介紹了應力波的數值方法,包括特徵線法、有限差分法和有限元法。全書以固體中的非線性波傳播為重點。
本書讀者對象是高等院校和科研單位有關科研人員、大學教師、工程技術人員、研究生和高年級本科生。
本書曾獲中國科技大學優秀教材一等獎。有關科研成果“彈塑性波的理論和套用研究”曾獲中國科學院科技進步二等獎(1986年)。經國家教育委員會高等工業學校工程力學專業教材委員會(現工程辦學專業教學指導委員會)審定,本書於1989年被推薦為工程力學專業教學用書。第2版於2005年被教育部學位管理與研究生教育司推薦為研究生教學用書。
特點
(1)應力波法可以識別很小的管樁裂縫(試驗中最小寬度為0.10 mm),裂縫反射與入射同相位,反射程度與裂縫寬度大小密切相關。
(2)管樁裂縫的存在,降低了應力波在管樁中傳播的平均波速,裂縫越寬、數量越多,裂縫引起的反射越明顯,波傳播時能量衰減越嚴重。
(3)如果一根管樁存在多條裂縫,應力波法一般只能反演識別第一條裂縫;由於波在管樁中的傳播速度較快,對於管樁中的淺部裂縫,必須保證測試系統的高頻回響,否則裂縫在頻域上的特徵很難被正確反映,容易造成漏判。
描述和分類
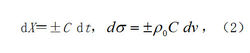
應力波波速的描述與參考坐標系的選擇有關,若以X表示在物質坐標中波陣面沿其傳播方向的位置,t表示時間,則C=dX/dt稱為物質波速或內稟波速。若以x表示在空間坐標中波陣面沿其傳播方向的位置,則c=dx/dt稱為空間波速。兩種波速是同一物理現象的不同表述方式。對於平面波,兩種波速的關係是:
c=v+(1+ε)C,
式中v為質點速度,ε為工程應變。
對於本構關係不依賴於應變率的所謂速率無關材料,如彈性體、彈塑性體等,相應地有彈性波、彈塑性波等;對於本構關係依賴於應變率的所謂速率相關材料,如粘彈性體、粘彈塑性體等,相應地有粘彈性波、粘彈塑性波等。
應力波按波陣面幾何形狀分為平面波、柱面波、球面波等;按質點速度擾動與波傳播方向的關係分為縱波和橫波;按介質受力狀態分為拉伸波、壓縮波、扭轉波、彎曲波、拉扭複合波等;按控制方程組是否為線性分為線性波和非線性波。按介質連續性要求,質點位移u在波陣面上必定連續,但其導數則可能間斷,數學上稱為奇異面。若u的一階導數間斷,即質點速度和應變在波陣面上有突躍變化,則稱為一階奇異面或強間斷,這類應力波稱為激波或衝擊波(見固體中的激波)。若u及其一階導數都連續,但其二階導數(如加速度)間斷,則稱為二階奇異面,這類應力波稱為加速度波。依次類推,還可以有更高階的奇異面,統稱弱間斷,都是連續波。奇異面理論在應力波研究中具有重要意義。
平面波情況最簡單,表現最典型,研究得也最充分。以下以平面波為例,說明不同材料中應力波的傳播特性及其與介質的相互作用。
速率無關材料中的應力波
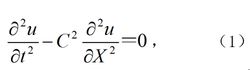
對於初始密度為ρ0、在動載荷下應力σ和應變ε間具有單值函式關係σ=σ(ε)的速率無關材料,由質量守恆和動量守恆方程可得到以位移u(X,t)為未知量的擬線性波動方程:
應力波
應力波式中
。方程(1)有兩族分別代表右行波和左行波的實特徵線和相應的沿特徵線的相容關係:
應力波式中波速C和波阻抗ρ0C完全由材料性能決定。此結果與氣體動力學中的一維非定常運動相類似。求解應力波的傳播問題在數學上歸結為在給定的初始和邊界條件下求解波動方程⑴或等價的特徵線方程組⑵。常用的數值解法有特徵線法、有限差分方法和有限元法。
彈性波
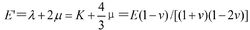
應力波對各向同性線彈性材料,dσ/dε為常數,因此線彈性波波速(即聲速)C為恆值:對於一維應力縱波為C0=(E/ρ0),式中E為楊氏模量;對於側向受限的一維應變縱波為C=(E′/ρ),側限彈性模量
其中λ、μ為拉梅係數,K為體積壓縮模量,ν為泊松比。C也即無限彈性介質中的縱波(無鏇波、膨脹波)波速。對於橫波(等容波、畸變波),只需把u、σ和ε相應地理解為橫向質點位移、剪應力和剪應變,則得橫波波速C=(G/ρ0),G為剪下模量。某些典型材料的彈性波波速值見附表。關於彈性波的詳細知識見彈性波。
應力波塑性波
應力波對彈塑性材料,隨應力波幅值的增大,一旦滿足屈服條件將傳播塑性波。例如,在一維應力作用下,當σ超過單軸屈服限Y0時傳播塑性波,波速直接由單軸應力-應變曲線塑性段的斜率按式⑴確定。對一維應變縱波,按米澤斯或特雷斯卡屈服條件,當軸向應力超過側限屈服限(許貢紐彈性限)σHKL=Y0(1-ν)/(1-2ν)時,傳播塑性波,波速
=[(K+4G/3)/ρ0],式中塑性強化模量G=μY'Y/(3μ+Y'Y),其中Y為考慮強化的作為塑性功W函式的屈服應力,Y'=(dY/dW)≥0。對理想塑性體Gp=0,
等於體積彈性波速(K/ρ)。由於材料應力-應變曲線的塑性段斜率通常小於彈性段斜率,則由式⑴知塑性
波速通常小於彈性波速,即塑性波總尾隨在彈性前驅波的後面。由式⑴還可知:對於遞增強化材料,應力-應變曲線下凹(即
),高波幅處擾動傳播速度大於低波幅處擾動傳播速度,從而形成激波(圖1a上部為應力-應變曲線,中、下部表示波速和波結構);對於遞減強化材料,應力-應變曲線上凸(即
),高波幅處擾動傳播速度小於低波幅處擾動傳播速度,在波的傳播過程中波形將變得愈來愈平坦(圖1b);對於線性強化材料,(即
),塑性波波速為恆值(E1/ρ0)1/2,E1為線性強化模量(圖1c)。有關塑性載入波的結論也適用於非線性彈性波。另見塑性波。
應力波圖1 在恆定外載作用下具有不同強化特性的彈塑性桿中一維應力波傳播示意圖
卸載波
彈性變形的可逆性意味著載入和卸載遵循相同的應力-應變關係,所以彈性波傳播中的卸載問題不需另行處理;塑性變形的不可逆性則意味著載入和卸載遵循不同的應力-應變關係。實驗表明彈塑性材料從塑性變形狀態卸載時一般遵循胡克定律。按此,卸載擾動以彈性波速C傳播。這樣,彈塑性材料的動態加、卸載過程是一個以較快波速C傳播的卸載擾動與以較慢的塑性波波速C傳播的塑性載入擾動相互作用的過程,介質中彈性卸載區和塑性載入區的界面不斷變化著。因此,對彈塑性材料動態加卸載問題的求解可歸結為在給定的初始條件和邊界條件下聯立求解塑性載入區和彈性卸載區的兩組不同的波動方程。問題的複雜性在於,求解聯立方程要求在兩區邊界上滿足運動學和動力學相容條件,而此邊界卻是在解題中才能確定的。此外,卸載後的介質還可發生第二次塑性載入及隨後的卸載,所以一般難以得到方程組的解析解,故多採用數值解法。在彈性波速C比塑性波速C大得多的情況下,可作剛性卸載假定(相當於C→∞),使問題簡化為剛塑性動力學問題。
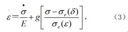
速率相關材料中的應力波
應力波對於速率相關材料,其力學回響通常可概括為兩部分:與速率無關的瞬態回響和與速率相關的非瞬態回響,而各種非瞬態回響可歸結為由具有粘性性質的內耗散力所引起。這樣,對於在彈性回響的基礎上計及速率相關性的粘彈性介質,如高分子材料等,相應地有粘彈性波。粘性效應的主要體現是波傳播中的彌散現象(波速依賴於頻率)和吸收現象(波幅隨傳播距離而衰減)。類似地,對於在彈塑性回響的基礎上計及速率相關的介質,相應地有粘彈塑性波。如果只對塑性部分計及粘性效應則相應地有彈粘塑性波,其總應變率
由瞬態的彈性應變率
0和非瞬態的粘塑性應變率
組成,而
取決於所謂超應力,即實際應力σ與準靜態應力-應變關係所決定的平衡態應力σ(ε)之差。在一維情況下有:
應力波式中函式g稱為鬆弛函式。這類彈粘塑性波的主要特點是:波的傳播速度由材料瞬態回響決定,故彈粘塑性波速等於彈性波速,而大於速率無關材料中的塑性波速;由於內耗散力的粘性效應,波在傳播中將不斷衰減。
應力波的反射透射
應力波到達物體邊界或不同波阻抗材料的界面時,將發生反射和透射,常引起材料的斷裂破壞。
以彈性波為例:對於法向入射波,當在固定邊界反射時,反射波與入射波應力等值同號,即應力的總和恰好是入射波應力值的兩倍;當在自由邊界反射時,反射波與入射波應力等值異號,而質點速度的總和恰好是入射波質點速度值的兩倍。對於斜入射的彈性縱波或橫波,一般將同時反射和透射縱波和橫波。在介質自由表面處,與波的繞射現象相關,還可能產生一種沿著介質表面傳播的彈性表面波(例如瑞利波),它是縱波與橫波耦合形成的一種非均勻平面波,波幅隨著距自由表面的深度呈指數衰減,波速Cs略低於橫波波速C(見前表,表中k為一常數,對不同材料數值不同),且與頻率無關(即無頻率彌散現象)。彈塑性波的反射有時會出現反射卸載,形成非常複雜的波系。
反射斷裂是由應力波反射所造成的斷裂現象。在材料和工程結構的動態斷裂研究中具有重要意義。當由壓縮載入波和隨後的卸載波所組成的壓力脈衝入射到介質自由表面時,壓縮波部分首先卸載反射為拉伸波,它與入射壓力脈衝中的卸載波部分相互作用後,將在鄰近自由表面處造成拉應力,一旦滿足動態斷裂準則即導致斷裂,這種斷裂稱為層裂(圖2a)。裂片從背面飛出。同時,由於形成了新的自由表面,又會使繼續入射的壓力脈衝在新表面反射而造成第二層層裂。依次類推有可能造成多層層裂。類似地,由兩自由表面反射的拉應力波在物體心部或角部等處相遇而相互作用後,可導致心裂和角裂等(圖2b和圖2c)。一般來講,材料本身或材料間的聯結往往可承受強壓縮而經不起拉伸,因而反射斷裂是動態破壞的一種重要形式。軍事上的碎甲彈和爆炸力學實驗技術中的飛片技術都是據此原理髮展而成的。
圖2 反射斷裂示意圖圖2 反射斷裂示意圖
參考書目
H.考爾斯基著,王仁等譯:《固體中的應力波》,科學出版社,北京,1958。(H. Kolsky, Stress Waves in Solids,Oxford Univ, Press,London,1953.)
J. S. Rinehart,Stress Transients in Solids,John S. Rinehart,Santa Fe,New Mexico,1975.
W. K. Nowacki,Stress Waves in Non-elastic Solids,Pergamon Press,London,1978.

