能量原理
正文
分析結構在荷載、溫差等外因影響下所產生的應力、變形和位移狀態的基本原理之一。能量是指結構作功的能力。彈性結構在載入時產生變形,在卸載後又能恢復原狀,說明若不計動能和熱能的變化,荷載在結構上所作之功,將全部轉化成結構的變形勢能存儲於結構之內,因而在卸載過程中具有恢復原狀的能力,這是能量原理的依據。能量原理根據荷載作功過程中變形勢能的變化規律,建立起一系列極值條件,作為解題的綜合判據,從而避免直接解算大量偏微分方程,以簡化解題手續。用能量法分析結構,主要是尋求既滿足邊界條件,又同時滿足勢能為最小的位移函式或者余能為最小的應力函式。對許多難於求得精確解的工程問題,可用下述各個能量原理以求問題的近似解答。因此,在分析複雜結構的靜力和動力問題中,能量原理得到廣泛套用。
能量原理可從虛位移原理、虛力原理兩個側面研究。又根據勢能和余能的變化情況,建立相應的極值條件,以解答具體問題,形成最小勢能原理和最小余能原理。
虛位移原理 也稱勢能原理、虛功原理。設結構在荷載作用下處於平衡狀態。假定由於任何其他原因,使結構從其平衡位置偏離一個任意微小的、為邊界約束條件所允許的虛位移(可以看作是真實位移的一個變分),荷載在虛位移上所作的虛功,將等於其內部應力在相應應變上所積累的虛變形勢能。故虛位移原理可表述為:彈性結構平衡的必要與充分條件是,對於任意微小的虛位移,荷載所作的總虛功δW等於其內部所積累的虛變形勢能δU。即δU-δW=0。
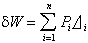
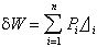
最小勢能原理 設結構在P力系作用下處於平衡。在某一可能虛位移過程中,與Pi力相應的虛位移設為墹i,則由可能虛位移引起的荷載勢能變化為
,將使結構增加變形。設由此引起的變形勢能的改變為δU,則結構的總勢能改變δП可定義為內外兩種勢能變化之差,即 

虛力原理 也稱余能原理。設結構在荷載和支承位移影響下處於平衡狀態。在位移保持不變的情況下,若讓真實應力σ發生微小改變δσ,且使它們滿足平衡條件和應力邊界條件(稱為可能虛應力),則虛力原理可表述為:對一切可能虛應力δσ而言,結構滿足變形協調方程的必要和充分條件是,對於任意微小的可能虛應力,其變形余能的一階變分δU*,等於位移邊界上的相應邊界反力所作荷載余功的一階變分δW*,即
。 最小余能原理 結構的余能變分可定義為


代表結構的總余能,由余能原理,有δП*=0 。它說明:在所有滿足平衡條件及邊界條件的應力場中,同時滿足相容應變場的應力場,對應於余能的一個駐值,這就是余能駐值原理。對於線彈性結構,因有
,已知勢能U的二階變分恆為正,故П*將取最小值,因而最小余能原理可表述為:在一切滿足平衡方程及邊界條件的應力場中,真實的應力場應能使泛函П*成為最小。因而,余能的駐值條件等價於變形協調條件。 參考書目
龍馭球、包世華主編:《結構力學》下冊,人民教育出版社,北京,1981。
J.T.Oden and E.A.Ripperger,Mechanics of Elastic Structures,2nd ed.,Hemisphere Pub.,NewYork,1981.

