協調性簡介
協調條件物體變形後必須仍保持其整體性和連續性,即變形的協調性。從數學的觀點來看,要求位移函式 在其定義域內為單值連續函式。
破壞物體整體性和連續性的現象:“撕裂”現象,“套疊”現象。
定義
保證物體變形後保持整體性和連續性的條件稱為變形協調條件。
從數學的觀點來看,就是要滿足相應的應變協調方程。
協調方程
二維情況
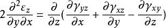
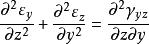
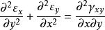
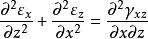
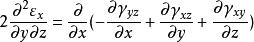
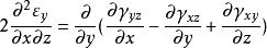
協調條件三維情況
協調條件
協調條件
協調條件
協調條件
協調條件
協調條件有限應變
在有限應變理論中,協調條件為
協調條件
協調條件其中 為變形梯度張量。在笛卡爾坐標系中,該條件可表達為通物體應變協調的充分條件。
變形張量
右柯西-格林變形張量的協調條件為
協調條件
協調條件
協調條件其中 表示第二類克里斯托費爾符號, 則表示黎曼-克里斯托費爾曲率張量。
