應力張量
應力張量
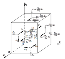
應力如右圖所示,P為直角坐標系0XYZ中一變形體內的任意點,在此點附
近切取一個各平面都平行於坐標平面的六面體。此六面體上三個互相垂直的三個平面上的應力分量即可表示該點的應力狀態
。
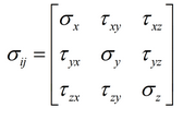
為規定應力分量的正負號,首先假設:法向與坐標軸正向一致的面為正面;與坐 標軸負向一致的面為負面。進而規定:正面上指向坐標軸正向的應力為正,反之為負; 負面上指向坐標軸負向的應力為正,反之為負。三個正面上共有九個應力分量(包括三個正應力和六個切應力)。此九個應力分量可寫成如下矩陣形式:
應力應力分量的第一個下標表示作用平面
的法向;第二個下標表示應力作用的方向。正應力的兩個下標是一樣的,故用一個下標簡寫之。
由於切應力互等定理,上列矩陣中對角的切應力是相等的,即:τxy=τyx, τyz=τzy, τzx=τxz。因此,此矩陣為對稱矩陣,九個應力分量中六個應力分量是獨立的。
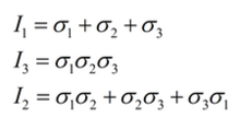
主應力
應力如果作用在某一截面上的全應力和這一截面垂直,即該截面上只有正應力,切應力為零,則這一截面稱為主平面,其法線方向稱為應力主方向或應力主軸,其上的應力稱為主應力。如果三個坐標軸方向都是主方向,則稱這一坐標係為主坐標系。
在塑性力學中,常將應力張量分解為:
應力式中,稱為平均正應力。等號右端第一項稱為球形應力張量;第二項可記為:
應力稱為應力偏量張量。
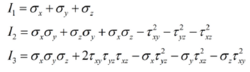
應力張量不變數
在求解主應力的過程中會得到以主應力為未知數的三次方程,叫做狀態方程
。
應力狀態方程的三個係數唯一由主應力確定,而一點的主應力是唯一的,這樣就得到了不隨坐標變化的三個量,叫作應力張量不變數。
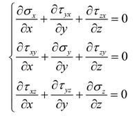
平衡微分方程
應力以上說明的都是一點的應力狀態,而物體內部不同點的應力狀態一
般是不同的,那么如何描述相鄰點間的應力變化關係呢?
以物體內某一點P(x,y,z)為頂點截取邊長分別為dx,dy,dz的直角平行六面體微元,另一個頂點的坐標則為(x+dx,y+dy,z+dz)。根據靜力平衡方程,並處理掉高階小量,得到應力平衡微分方程。
應力分類
正應力與剪應力
應力同截面垂直的稱為正應力或法向應力,同截面相切的稱為剪應力或切應力。應力
會隨著外力的增加而增長,對於某一種材料,應力的增長是有限度的,超過這一限度,材料就要破壞。對某種材料來說,應力可能達到的這個限度稱為該種材料的極限應力。極限應力值要通過材料的力學試驗來測定。將測定的極限應力作適當降低,規定出材料能安全工作的應力最大值,這就是許用應力。材料要想安全使用,在使用時其內的應力應低於它的極限應力,否則材料就會在使用時發生破壞。
有些材料在工作時,其所受的外力不隨時間而變化,這時其內部的應力大小不變,稱為靜應力;還有一些材料,其所受的外力隨時間呈周期性變化,這時內部的應力也隨時間呈周期性變化,稱為交變應力。材料在交變應力作用下發生的破壞稱為疲勞破壞。通常材料承受的交變應力遠小於其靜載下的強度極限時,破壞就可能發生。另外材料會由於截面尺寸改變而引起應力的局部增大,這種現象稱為應力集中。對於組織均勻的脆性材料,應力集中將大大降低構件的強度,這在構件的設計時應特別注意。
物體受力產生變形時,體內各點處變形程度一般並不相同。用以描述一點處變形的程度的力學量是該點的應變。為此可在該點處到一單元體,比較變形前後單元體大小和形狀的變化。
單位:Pa,Psi
拉應力與壓應力
應力一個圓柱體兩端受壓,那么沿著它軸線方向的應力就是壓應力。壓
應力就是指使物體有壓縮趨勢的應力。 不僅僅物體受力引起壓應力,任何產生壓縮變形的情況都會有,包括物體膨脹後。 另外,如果一根梁彎曲,不管是受力還是梁受熱不均而引起彎曲,等等,彎曲內側自然就受壓應力,外側就受拉應力。
其實,拉應力表示正值的正應力,壓應力表示負值的正應力。
應力的單位為Pa。
1 Pa=1 N/m2
工程實際中應力數值較大,常用MPa或GPa作單位
1 MPa=10^6Pa
1 GPa=10^9Pa
測量工具
應力儀或者應變儀是來測定物體由於內應力的儀器。一般通過採集應變片的信號,而轉化為電信號進行分析和測量。
方法是:將應變片貼在被測定物上,使其隨著被測定物的應變一起伸縮,這樣裡面的金屬箔材就隨著應變伸長或縮短。很多金屬在機械性地伸長或縮短時其電阻會隨之變化。應變片就是套用這個原理,通過測量電阻的變化而對應變進行測定。一般應變片的敏感柵使用的是銅鉻合金,其電阻變化率為常數,與應變成正比例關係。
通過惠斯通電橋,便可以將這種電阻的比例關係轉化為電壓。然後不同的儀器,可以將這種電壓的變化轉化成可以測量的數據。
對於應力儀或者應變儀,關鍵的指標有: 測試精度,採樣速度,測試可以支持的通道數,動態範圍,支持的應變片型號等。並且,應力儀所配套的軟體也至關重要,需要能夠實時顯示,實時分析,實時記錄等各種功能,高端的軟體還具有各種信號處理能力。
另外,有一些儀器是通過光譜,膜片等原理設計的。
殘餘應力消除
自然時效消除殘餘應力
公式自然時效是通過把零件暴露於室外,經過幾個月至幾年的時間,使其尺寸精度達到穩定的一種方法。大量的試驗研究和生產實踐證明,自然時效具有穩定鑄件尺寸精度的良好效果。
然而,經過自然時效的工件,其殘餘應力的變化並不明顯,由圖3-1可見,鑄件試樣放置一年以後,殘餘應力僅降低2-10%;實測工具機床身殘餘應力的結果表明,進行為期一年的自然時效後,最大殘餘應力由80N/mm降至70N/mm平均殘餘應力由38N/mm降至30N/mm,即僅僅降低了大約10-20%。由此可見,經自然時效後已停止變形的鑄件,仍然殘存著相當大的殘餘應力。對於那些使用時需承受很大載荷的鑄件,當在較高殘餘應力上再疊加使用應力時就有可能影響鑄件的使用性能,因此必須慎重考慮是否應該採用這種時效方法。
熱時效法
最傳統、也是目前最普及的方法——熱時效法,把工件放進熱時效爐中進行熱處理,慢慢消除應力。這種方法的缺點也非常顯著,比如衛星製造廠對溫度控制要求非常嚴格的鋁合金工件以及長達十米或者更大的巨型工件都無法用這種方法處理。而且這種方法還帶來了大量的污染和能源消耗,隨著中國及世界範圍內對環保的進一步要求,熱時效爐的處理方式馬上面臨全面退出的境地。
利用亞共振來消除應力
這種方法雖然解決了熱時效的環保問題,但是使用起來相當煩瑣,要針對不同形狀的工件編制不同的時效工藝,如果有幾百上千種工件就要編幾百上千種工藝,而且在生產時操作相當複雜,需要操作者確定處理參數,複雜工件必須是熟練的專業技術人員才能操作。更令人遺憾的是這種方法只能消除23%的工件應力,無法達到處理所有工件的目的。
振動時效去除應力
振動時效技術,國外稱之為"Vibrating Stress Relief"(簡稱"VSR"),旨在通過專用的振動時效設備,使被處理的工件產生共振,並通過這種共振方式將一定的振動能量傳遞到工件所有部位,使工件內部發生微觀的塑性變形—被歪曲的晶格逐漸恢復平衡狀態。位錯重新滑移並釘扎,最終使殘餘應力得到消除和均化,從而保證了工件尺寸精度的穩定性。
振動時效的實質是以共振的形式給工件施加附加動應力,當附加動應力與殘餘應力疊加後,達到或超過材料的屈服極限時,工件發生微觀或巨觀塑性變形,從而降低和均化工件內部的殘餘應力,並使其尺寸精度達到穩定。
具體事例
1、鋼材的內應力
一塊鋼板是由無數個鐵原子(包括其它成分的原子)所組成的,原子與原子之間之所以能夠緊密的連線在一起,而不像一盤沙子一樣,是鐵原子之間有強大的金屬鍵緊緊的“拉”在一起的,原子之間的“拉力”會由於相鄰原子之間的位置遠近、角度差異,而導致其“拉力”會在整個鋼板的平面內不是很均勻,通俗的說:有些方向的“拉力”大,而有些方向的“拉力”小,但是,由於鋼板是在軋鋼機軋成平板後,這些鋼材立面分子之間的“拉力”會暫時趨於平衡,但是,如果將鋼板用刨床將其切削一部分,比如:切薄一半的厚度,這時,剩下的鋼板立馬將會發生變形,如:發生翹曲,這就是內應力在起作用。
2、西瓜的內應力
可能你會有過這樣的經歷:有一種西瓜,刀剛剛接觸西瓜,那西瓜會“嘭”的一聲,自然裂開,這就是裡面存在著內應力,當你開啟一個小口(或者叫裂紋),那內應力會讓這個西瓜整個打開。這個內應力,也是分子之間的“拉力”造成的。

