博弈
有五個理性的海盜,P1、 P2、 P3 、P4 和P5,找到了100個金幣,需要想辦法分配金幣。
海盜們有嚴格的等級制度:P1 < P2 < P3 < P4 < P5。
海盜世界的分配原則是:等級最高的海盜提出一種分配方案。所有的海盜投票決定是否接受分配,包括提議人。並且在票數相同的情況下,提議人有決定權。如果提議通過,那么海盜們按照提議分配金幣。如果沒有通過,那么提議人將被扔出船外,然後由下一個最高職位的海盜提出新的分配方案。
海盜們基於三個因素來做決定。首先,要能存活下來。其次,自己得到的利益最大化。最後,在所有其他條件相同的情況下,優先選擇把別人扔出船外。
結果
現在,假如你是等級最高的P5,你會做何選擇?直覺上認為,P5海盜會給自己分配很少,以避免被扔出船外。然而這和理論結果相差甚遠。解決這個問題的關鍵是換個思維方向。與其苦思冥想你要做什麼決策,不如先想想最後剩下的人會做什麼決策。讓我們反過來看:假設現在只剩下P1和P2了,P2會做什麼決策?很明顯,他將把100金幣留給自己,然後投自己一票。由於在票數相同的情況下提議人有決定權,無論P1同不同意,P2都將實現自己的目的。
現在再把P3加進來。P1知道,如果P3被扔下海,那么遊戲又將進行到上面的情況,P1終將一無所有。P3同樣看到了這一點,所以他知道,只要他給P1一點點利益,P1就會投票支持他的決策。所以P3最終的決策應該是:(P3 ,P2 , P1)→(99,0,1)。
P4的策略也類似。由於他需要50%的支持,所以他只需賄賂1個金幣給P2就可以了。P2一定會支持他(否則輪到P3做決策,他就一無所有啦)。所以P4最終的決策是:(P4,P3, P2, P1)→(99,0,1,0)。
有人可能想到提議(P4,P3, P2, P1)→(99,0,0,1)。因為 P1知道即使把P4扔出去,也不會得到更多了。但由於海盜會優先把別人扔出去,所以P1會選擇殺死P4,然後仍然可以從P3的提議中得到相同金幣。所以這並不是最好的提議。
最後把P5加入進來。P5的情況稍有不同。由於這次一共有5個人,所以他至少需要賄賂兩個海盜以使自己的決議通過。唯一的決策就是:(P5,P4,P3, P2, P1)→(98,0,1,0,1)。同樣的(P5,P4,P3, P2, P1)→(98,0,0,1,1)或者其他的提議都不是最好的,因為P2會選擇把P5扔出去,然後從P4那裡得到相同的金幣。
延伸
如果海盜的數目不止5個呢? 繼續按照這個邏輯推理, P6的決策將是::(P6,P5,P4,P3, P2, P1)→(98,0,1,1,0,0)………一直到P200,它會給自己留1個金幣,同時給剩下所有偶數編號的海盜1個金幣(如果有更多金幣,甚至可以更多)。
| 海盜 | P1 | P2 | P3 | P4 | P5 | … | P197 | P198 | P199 | P200 | |
| 決策者 | |||||||||||
| P1 | 100 | ||||||||||
| P2 | 0 | 100 | |||||||||
| P3 | 1 | 0 | 99 | ||||||||
| P4 | 0 | 1 | 0 | 99 | |||||||
| P5 | 1 | 0 | 1 | 0 | 98 | ||||||
| … | … | … | … | … | … | … | |||||
| P198 | 0 | 1 | 0 | 1 | 0 | … | 0 | 2 | |||
| P199 | 1 | 0 | 1 | 0 | 1 | … | 1 | 0 | 1 | ||
| P200 | 0 | 1 | 0 | 1 | 0 | … | 0 | 1 | 0 | 1 |
如果海盜數是201個,那么 P201該怎么做呢?乍一看去,他好像沒有足夠的錢去賄賂別的海盜了。不過,為了保住自己的性命,他還是可以把自己手中的金幣全分出去,即給每個奇數編號的海盜(P1~P199)一個金幣。這樣雖然空手而歸,但不至於人財兩空。
P202也只能把這100個金幣全部賄賂給其他100個海盜,這100個海盜必須是在P201做決策的情況下什麼也得不到的海盜。由於符合這樣條件的海盜有101個(所有偶數編號的海盜P201),P202的決策不再是唯一的了!有101種方案供他選擇。
可憐的是P203。由於人數眾多,他實在沒有足夠的錢去賄賂其他海盜以獲得足夠的支持(他需要至少102個人的支持,包括他自己)。所以,不論P203做什麼決策,他都難逃被扔出船外的厄運了。不過P203並沒有我們想像中的那么悲情,因為這樣的悲劇發生若且唯若船上正好有203個海盜。我們再增加一個海盜,P204。P204明白,P203現在的唯一願望就是活下來…所以不論P204做什麼決策,P203都會舉雙手支持他(當然舉多少手都只能算一票)。所以P204可以靠他自己的一票,P203的一票和賄賂另外100個海盜獲得正好50%的支持。
P204可能的決策也只有101種,如下表:(可能獲得1金幣的海盜用"Y"標示)
| P1 | P2 | P3 | P4 | … | P199 | P200 | P201 | P202 | P203 | P204 | |
| P204 | Y | N | Y | N | Y | N | N | Y | N | N |
P205就沒有那么幸運了。他不能無償的得到P203和P204的支持。所以如果輪到P205做決策,他也必定被扔到船外。P206也一樣,儘管他能得到P205的免費支持,但是這還不夠。P207需要得到至少104個海盜的支持,所以有了P205,P206的無償支持還是不夠。
海盜博弈P208就比較幸運了。他也是需要得到104個海盜的支持,P205、P206、P207、他自己,再加上賄賂100個海盜,正好104票。P208可能的決策:
| P1 | P2 | P3 | P4 | … | P199 | P200 | P201 | P202 | P203 | P204 | P205 | P206 | P207 | P208 | |
| P208 | N | Y | N | Y | N | Y | Y | N | Y | Y | N | N | N | N |
從這裡我們又看出了新的規律:
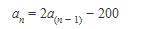
從P201之後,在每兩個能夠作出決策保住自己生命的海盜之間,存在著一些無論如何決策都會被扔到船外的海盜。而這些海盜會支持在這之後的那個能夠做出決策保住自己生命的海盜。用數學來表達,設在P201之後,能夠作出決策保住自己生命的海盜的編號所組成的序列為an。則有:
海盜博弈
海盜博弈對於(2),
若an是偶數
海盜博弈若an是奇數
海盜博弈給定一個固定的初值,數列的下一項有兩個可能解:一個奇數解、一個偶數解,且偶數解比奇數解小1。再考慮我們原問題的意義,到達偶數解時,偶數編號的海盜已經能夠做出決策保全自己。這說明我們應該捨棄所有奇數解。
海盜博弈綜上所述,我們得到通解
海盜博弈
海盜博弈考慮到P201也能保全自己,我們可以把所有能夠保全自己但卻得不到金幣的海盜的編號寫成統一表達式 :
艾恩·史都華在1999年5月期的《科學美國人》中,將該博弈延伸到任意人數的海盜,同樣得到了十分有趣的結果。
盤點各種博弈策略
| 博弈論聽上去很深奧,其實每時每刻就發生在我們的身邊,有時博弈論可以成為幫助我們在一些重大人生決策時提供幫助 |
盤點各博弈論
| 博弈論(Game Theory),有時也稱為對策論,或者賽局理論,是研究具有鬥爭或競爭性質現象的理論和方法,它是套用數學的一個分支,既是現代數學的一個新分支,也是運籌學的一個重要學科。 |
