物理定義
波我們將某一物理量的擾動或振動在空間逐點傳遞時形成的運動稱為波。不同形式的波雖然在產生機制、傳播方式和與物質的相互作用等方面存在很大差別,但在傳播時卻表現出多方面的共性,可用相同的數學方法描述和處理。
產生及類別
波波動是物質運動的重要形式,廣泛存在於自然界。被傳遞的物理量擾動或振動有多種形式,機械振動的傳遞構成機械波,電磁場振動的傳遞構成電磁波(包括光波),溫度變化的傳遞構成溫度波(見液態氦),晶體點陣振動的傳遞構成點陣波(見點陣動力學),自旋磁矩的擾動在鐵磁體內傳播時形成自旋波(見固體物理學),實際上任何一個巨觀的或微觀的物理量所受擾動在空間傳遞時都可形成波。最常見的機械波是構成介質的質點的機械運動(引起位移、密度、壓強等物理量的變化)在空間的傳播過程,例如弦線中的波、水面波、空氣或固體中的聲波等。產生這些波的前提是介質的相鄰質點間存在彈性力或準彈性力的相互作用,正是藉助於這種相互作用力才使某一點的振動傳遞給鄰近質點,故這些波亦稱彈性波。振動物理量可以是標量,相應的波稱為標量波(如空氣中的聲波),也可以是矢量,相應的波稱為矢量波(如電磁波)。振動方向與波的傳播方向一致的稱縱波,相垂直的稱為橫波。
共同特性
波各種形式的波的共同特徵是具有周期性。受擾動物理量變化時具有時間周期性,即同一點的物理量在經過一個周期後完全恢復為原來的值;在空間傳遞時又具有空間周期性,即沿波的傳播方向經過某一空間距離後會出現同一振動狀態(例如質點的位移和速度)。因此,受擾動物理量 u既是時間 t,又是空間位置 r的周期函式,函式 u( t, r)稱為波函式或波動表示式,是定量描述波動過程的數學表達式。廣義地說,凡是描述運動狀態的函式具有時間周期性和空間周期性特徵的都可稱為波,如引力波,微觀粒子的機率波(見波粒二象性)等。
各種波的共同特性還有:①在不同介質的界面上能產生反射和折射,對各向同性介質的界面,遵守反射定律和折射定律(見反射定律、折射定律);②通常的線性波疊加時遵守波的疊加原理(見光的獨立傳播原理);③兩束或兩束以上的波在一定條件下疊加時能產生干涉現象(見光的干涉);④波在傳播路徑上遇到障礙物時能產生衍射現象(見光的衍射);⑤橫波能產生偏振現象(見光學偏振現象)。
簡諧波
波簡諧振動在空間傳遞時形成的波動稱為簡諧波,其波函式為正弦或餘弦函式形式。各點的振動具有相同的頻率 f,稱為波的頻率,頻率的倒數為周期,即 T=1/ f。在波的傳播方向上振動狀態完全相同的相鄰兩個點間的距離稱為波長,用 λ表示,波長的倒數稱波數。單位時間內擾動所傳播的距離 u稱為波速。波速、頻率和波長三者間的關係為 u= fλ。波速與波的種類和傳播介質的性質有關。波的振幅和相位一般是空間位置 r的函式。空間等相位各點連結成的曲面稱波面,波所到達的前沿各點連結成的曲面必定是等相面,稱波前或波陣面。常根據波面的形狀把波動分為平面波、球面波和柱面波等,它們的波面依次為平面、球面和圓柱面。實際的波所傳遞的振動不一定是簡諧振動,而是較複雜的周期運動,稱為非簡諧波。任何非簡諧波都可看成是由許多頻率各異的簡諧波疊加而成。
波與能量
波的傳播總伴隨著能量的傳輸,機械波傳輸機械能,電磁波傳輸電磁能。單位時間內通過垂直於傳播方向的單位面積的能量稱為波的能流密度,常用來描述波的強度,能流密度與振幅的平方成正比。一般情況下必須區分波的相位傳播方向和能量傳播方向。相同相位(即波面)的傳播方向與波面垂直,稱為波的法線方向,相位(或波面)的傳播速度稱為相速度或法線速度。對各向同性介質,波的法線方向與能量傳遞方向合二為一,相速度和能量傳播速度也相同。對各向異性介質,波的法線方向與能量傳播方向一般不重合,相速度與能量傳播速度也不相等。
在波動過程中,媒質的各個質點只是在平衡位置附近振動,並不沿著振動傳播的方向遷移。因此,波是振動狀態的傳播,不是物質本身的傳播。
物理上分類:
按性質來分:主要有四種――機械波、電磁波、引力波、物質波。機械波是由擾動的傳播所導致的在物質中動量和能量的傳輸。一般的物體都是由大量相互作用著的質點所組成的,當物體的某一部分發生振動時,其餘各部分由於質點的相互作用也會相繼振動起來,物質本身沒有相應的大塊的移動。例如,沿著弦或彈簧傳播的波、聲波、水波。我們稱傳播波的物質叫介質,它們是可形變的或彈性的和連綿延展的。對於電磁波或引力波,介質並不是必要的,傳播的擾動不是介質的移動而是場——前者電磁波是電磁場在空間中以波的形式移動,引力波是時空彎曲在空間中以波的形式移動。量子力學認為,任何物質既有粒子性,又有波動性,即任何物質都具有波粒二象性,於是就有所謂的物質波(也稱德布羅意波),如電子波、中子波等。
按振動方向與傳播方向的關係來分:主要有三種――橫波、縱波、球面波。質點振動的方向跟波的傳播方向垂直的波叫橫波,質點振動的方向跟波的傳播方向平行的波叫縱波。
按波的形狀來分:不定,波的形狀象什麼,就叫什麼波。如方波(有的也叫矩形波)、鋸齒波、脈衝波、正弦波、餘弦波等。
按波長來分:長波、中波、中短波及微波。
按強度來分:常波(普通波)、衝擊波。
其中在聲波中還有超音波和次聲波,等等,沒有統一的要求,一般在什麼條件下用什麼分類方法。
大自然中的波
波波的形式是多種多樣的。它賴以傳播的空間可以是充滿物質的,也可以是真空(對電磁波而言)。有些形式的波能為人們的感官所感覺,有些卻不能。人們最熟悉的是水面波,它有幾種類型。例如,在深水的表面,有主要以重力為恢復力的表面波,典型波長為1m到100m;有主要以表面張力為恢復力的漣波,波長約短於0.07m。這兩種波常具有正弦形狀。在深水內部則有內重力波,出現在海洋內有密度分層的區域。不只在海洋里,在大氣層里,也可以出現內重力波。空氣中更廣泛遇到的,當然是聲波。聲波中傳播的是空氣中壓強、密度等物理量的擾動,擾動指對無聲波時原有值的偏離。
固體裡不斷發生著波動。從大的實物講,如地球上經常出現地震波;從小的實物講,如晶體的原子點陣間無時不在傳動的點陣波。對具有特殊物理性質的固體材料,還可以激發一些特殊的波:如在壓電材料里可有電聲表面波;在鐵磁材料里可有自旋波、磁彈波等。在電漿里也可以激發一些不同類型的波。在地球的電離層內,由於隨流體運動的磁感線對流體施加磁壓,並由於流體壓能夠自動調整以平衡變化著的磁壓,於是可以激發沿著磁感線傳播的一種磁聲波。這只是電漿內可以產生的許多類型波之一。等離子氣體內還可以有,例如,電漿-電子波,電漿-離子波等等。固體裡也可以充滿載流子,形成電漿,因而可以激發一些具有特徵的波,如阿
波包括光波在內的電磁波,是同人類生活關係最密切的波之一。它不僅可以在流體、固體和電漿內傳播,在真空中會照樣傳播。宇宙中充塞各種光和各種射電。
廣義相對論還預言存在引力波,現已被實驗與天文觀測所證實。2016年2月11日,LIGO科學合作組織和Virgo合作團隊宣布他們已經利用高級LIGO探測器,已經首次探測到了來自於雙黑洞合併的引力波信號。據認為,一種較強的引力波源是雙星體系。
量子力學認為,任何粒子(物質)既有粒子性,又有波動性,即任何物質都具有波粒二象性,於是就有所謂的物質波,如電子波、中子波(見波粒二象性)。波是宇宙中極廣泛的現象。波的概念是物理學中少數極其重要的統一概念之一;實用上,波是信息的載體。
縱波和橫波
波波函式所表示的物理量(或其擾動)可以是標量,也可以是矢量,所以 F可以是矢量。電磁波的有關物理量是電場或磁場,而這些都是矢量。固體中聲波的質點位移也是矢量。波的這個物理量如果同波的傳播方向(波矢)是平行的,波稱為縱波,如流體中的聲波;如果是垂直的,波稱為橫波,如光波。有時相應物理量既有平行於傳播方向的成分,也有垂直的成分,如波導內電磁波的電場或磁場。
主要性質
波具有一些獨特的性質,從經典物理學的角度看,明顯地不同於粒子。這些性質主要包括波的疊加性、干涉現象、衍射現象等。
波注意:以下性質完全不考慮廣義相對論中由時空彎曲導致的波的傳播路徑的偏折。
疊加性
這是波(確切地講指線性波,見下)的一個很重要的屬性。如果有兩列以上的同類波在空間相遇,在共存的空間內,總的波是各個分波的矢量和(即相加時不僅考慮振幅,還考慮相位),而各個分波相互並不影響,分開後仍然保持各自的性質不變。疊加性的依據是,(線性)波的方程的幾個解之和仍然是這個方程的解;這個原理稱疊加原理。
干涉
干涉圖樣由於疊加,兩列具有相同頻率、固定相位差的同類波在空間共存時,會形成振幅相互加強或相互減弱的現象,稱為干涉。相互加強時稱為相長干涉,相互減弱時稱為相消干涉。
衍射
來自詞條衍射波在傳播中遇到有很大障礙物或遇到大障礙物中的孔隙時,會繞過障礙物的邊緣或孔隙的邊緣,呈現路徑彎曲,在障礙物或孔隙邊緣的背後展衍,這種現象稱為波的衍射。波長相對障礙物或孔隙越大,衍射效應越強。圖2中給出了光波遇到圓孔時所產生的衍射。衍射是波疊加的一個重要例子。邊緣附近的波陣面分解為許多點波源,這些點波源各自發射子波,而這些子波之間相互疊加,從而在障礙物的幾何陰影區內產生衍射圖案。這裡子波的概念,是更普適的惠更斯原理的一個套用。
相干性
惠更斯原理:波陣面上的各點可以看作是許多子波的波源,這些子波的包絡面就是下一時刻的波陣面。原理的示意圖見圖3(見惠更斯-菲涅耳原理)。
同干涉有關的是波的相干性。這是在雷射出現前後,特別是之後,引起人們重視的一個概念。並不是任意的兩列波都可以產生干涉,而需要滿足一定的條件,稱為相干條件,主要是要有相同的頻率和固定的相位差。兩個普通光源產生的光波很難產生干涉。因為光源有一定的面積,包含了許多的發光中心,而對於普通光源,這些發光中心發光時並不協調,相互間並無聯繫。為此,在經典的楊氏干涉實驗中,有必要從同一個光源分出兩束光波,以取得干涉。雷射器則不然,它的多發光中心是相位關聯的,它所發射的波雖還不是單頻,但頻帶非常窄。這樣,人們說普通光源所輻射的波相干性差,而雷射器所輻射的則相干性好。一個波的相干性實際上是這個波能夠到什麼精確程度用簡諧波來代表的描述。這是個定性的提法。要定量地描述相干性(嚴格講是相干程度),需要用統計觀點,用兩點上不同時刻間擾動的時間平均。可以在一定程度上把相干性分成兩個部分:一個是空間相干性,起因於光源占據有限空間;一個是時間相干性,起因於輻射波的有限頻寬。
反射
波的固定端反射
波的自由端反射波的反射分為兩種:自由端反射(反射端不受約束)和固定端反射(反射端受約束)。
自由端反射時,反射波與入射波同相(振動狀態不變);
固定端反射時,反射波與入射波異相(振動狀態相反)。
反射角與入射角相等。
圓形波
波以波源(產生波的位置)為中心呈圓形向外擴展,產生圓形波。
圓形波波前進的方向一定與波陣面(波峰或波谷間的連線)垂直。平行波可以認為是由圓形波重疊產生的。
折射
光的折射當波傾斜地射入不同介質時,速度發生改變,通過界面時的速度變化使得波改變了方向。
駐波
當連續的波在兩端不斷被反射時,之間產生干涉,就會停止左右運動而產生駐波。強烈振動的部分被稱為波腹,完全靜止的部分被稱為波節。
駐波分解
波幾個波可以疊合成一個總的波,反之,一個波也可以分解為幾個波之和。根據傅立葉級數表示法,任何一個函式都可以表示為一系列不同頻率正弦和餘弦函式之和,所以任何波形的波都可以歸結為一系列不同頻率簡諧波的疊加。這種分析方法稱頻譜分析法,它為認識一些複雜的波動現象提供了一個有力的工具。
能量
所有的波都攜帶能量。水面波把水面的上下振動傳給波陣面前方原來是靜止的水面,這意味著波帶有動能和勢能。波所攜帶的能量常用波內單位體積所具有的能量來計量,叫波的能量密度。在單位時間內通過垂直於波矢的單位面積所傳遞的能量叫波的強度或能流密度,它是波的能量密度和波的傳播速度的乘積。
當彈性波傳播到介質中的某處時,該處原來不動的質點開始振動,因而具有動能,同時該處的介質也將產生形變,因而也具有勢能
強度
光能流 P—單位時間內垂直通過某一截面的能量稱為波通過該截面的能流,或叫能通量。設波速為 u,在Δ t時間內通過垂直於波速截面Δ S的能量:
w—能量密度,所以能流為:
能流隨時間周期性變化,總為正值,在一個周期內能流的平均值稱為平均能流通過垂直於波動傳播方向的單位面積的平均能流稱為平均能流密度,通常稱為能流密度或波的強度。聲學中聲強就是上述定義之一例。
能流密度是單位時間內通過垂直於波速方向的單位截面的平均能量。
能流密度是矢量,其方向與波速方向相同。
線性波和非線性波
波的某些性質,包括波的疊加性,是有條件的。主要條件是波要是線性的。上面,以及通常,沒有強調這個條件,是因為通常討論的波,如一般的聲波和光波,幾乎全是線性的。但實際中也有不少波是非線性的。這時情況就有些變動。
線性是個數學名詞。因變數與自變數成正比這么一個關係叫線性關係;否則是非線性關係。波里的物理量(或其擾動)如果足夠小,以致運動方程中物理量的二次項和高於二次的項,比起一次項來可以忽略不計,那么,對波的性質和行為起決定作用的,是一次項。按照線性的含意,這種波稱線性波。自然界不那么簡單,把一些現象限制線上性範圍內。但湊巧,在許多種類的波中,人類生活中最常遇到的,正是這種用線性關係可以表達的波,如一般的(不是所有的)水波、聲波、光波等。這樣,在人們對波的了解過程中,首先突出了線性波。
在對於常見的波取得了一定的認識之後,人們對其他的實際波著手探討,發現不少是非線性波。即使習見的一些波也有時是非線性的。人們用來談話的聲波是線性波。飛機以超聲速運行所形成的衝擊波或轟聲卻是非線性波。又如,大振幅電磁波在某些晶體內會產生倍頻、參量振盪、參量放大等等,這就不是普通的線性電磁波所能做到的了。近年來引人重視的孤立子,是早在19世紀就注意到的非線性水波的延伸。和前面關於線性波的討論相比,非線性波的一個突出的性質是疊加原理不成立。
為了避免涉及面太廣,本條目著重討論線性波。前面是這樣做的,下面將繼續這樣做。
機率波
機率波包括了物質波、光波等。指空間中某點某時刻可能出現的幾率。比如一個電子,如果是自由電子,那么它的波函式就是行波,就是說它有可能出現在空間中任何一點,每點幾率相等。如果被束縛在氫原子裡,並且處於基態,那么它出現在空間任何一點都有可能,但是在波爾半徑處幾率最大。對於你自己也一樣,你也有可能出現在月球上,但是和你坐在電腦前的幾率相比,是非常非常小的,以至於不可能看到這種情況。這些都是量子力學的基本概念,非常有趣。
也就是說,量子力學認為物質沒有確定的位置,它表現出的巨觀看起來的位置其實是對幾率波函式的平均值,在不測量時,它出現在哪裡都有可能,一旦測量,就得到它的平均值和確定的位置。
量子力學裡,不對易的力學量,比如位置和動量,是不能同時測量的,因此不能得到一個物體準確的位置和動量 ,位置測量越準 ,動量越不準。這個叫不確定性原理,當然即使不測量,它也存在。
物質波
物質波既不是機械波,也不是經典電動力學意義上的電磁波(機械波是周期性的振動在媒質內的傳播,電磁波是周期變化的電磁場的傳播)。在德布羅意提出物質波以後,人們曾經對它提出過各種各樣的解釋.到1926年,德國物理學家玻恩(1882~1970)提出了符合實驗事實的後來為大家公認的統計解釋:物質波在某一地方的強度跟在該處找到它所代表的粒子的幾率成正比.按照玻恩的解釋,物質波乃是一種幾率波.德布羅意波的統計解釋粒子在某處鄰近出現的機率與該處波的強度成正比。
光波
根據光的波粒二象性,光波是光子在空間出現的機率波,可以通過波動的規律確定。
傳播規律
反射、折射和散射
在均勻的媒質中,波沿直線傳播。傳播中波可能遇到新的環境。一個簡單的情況是波由一種均勻的媒質射向另一種均勻媒質,而且兩個媒質的界面是平面的。入射到界面的波(入射波),一部分在界面上被反射回第一媒質(稱為反射波),另一部分則折入第二媒質(稱為折射波)。眾所周知,反射角恆等於入射角,而折射角的大小依賴於兩個媒質的有關物理量的比。對於電磁波,這個物理量是介電常數同磁導率的乘積的平方根。對於其他的波有時情況要複雜些。例如,當固體中聲波從一個固體媒質投射到另一固體媒質時,在第一媒質中,入射波將被反射出兩個波,而不是一個,其中一個是縱波,一個是橫波。進入第二媒質時也將折射出兩個波(圖4)。兩種反射波的反射角和兩種折射波的折射角都有一定的規律。
當波在傳播中遇到一個實物,這時不僅出現單純的反射和折射,還將出現其他分布複雜的波,包括衍射波。這種現象統稱散射(在有些文獻里,散射同衍射兩個概念是不嚴格區分的)。用雷達追蹤飛機,用聲吶探尋潛艇,便屬於這個情況。
行波和駐波
提起波時一般含意指不斷前進的波,但在特殊情況,也可以建立起似乎囚禁在某個空間的波。為了區分,稱前者為行波,稱後者為駐波。
兩列振幅和頻率都相同,而傳播方向相反的同類波疊加起來就形成駐波。常用的建立方法是讓一列入射波受到媒質邊界的反射,以產生滿足條件的反向波,讓二者疊加形成駐波。例如,簡諧波在駐波腔(圖5)內來回反射,駐波腔的長度是半波長的整數倍,腔端每個界面在反射時產生π相位差。駐波中振幅恆為零的點稱為波節,相鄰波節相距半個波長,兩個波節之間的振幅按正弦形分布。振幅最大的點稱為波腹。
駐波的套用也很廣,如管弦樂器便利用了駐波。此外它還導出了一個重要的概念,即頻率的分立。要求兩個界面之間的距離 d是半波長的整數倍,可以理解為,只有那些頻率為 n( v/2 d) 的波才能建立駐波。這個頻率分立的概念對量子力學的創立曾起了啟發作用。
色散和群速度
在通常的媒質中,簡諧波的相速度是個常數。例如,不論什麼顏色的光在真空中的相速,總是恆量,等於 2.99792458×10 m/s。但在某些媒質中,相速度因頻率(或波長)而異。這種現象稱為色散或頻散。而對於非線性波,相速度還是振幅的函式。波的色散由媒質的特性決定,因此常把媒質分為色散的或非色散的。媒質會導致波的色散,一個原因是它的尺寸有限,這種色散叫位形色散。例如,在尺寸比波長大得多的固體塊內,彈性波的相速度是常數,可是,對於沿直徑同波長可比擬的棒面傳播的彈性波,同樣材料的棒便是色散的了。
媒質是色散的另一個起因在於它的內部的微觀結構。有的媒質不論其形狀如何,對於某些頻率範圍的某些種類的波總是色散的。例如,有些媒質內部的帶電粒子(如電子),受入射可見光的電場激勵而振動,從而反作用於這個光,導致它的色散(見電子論)。正由於水的色散性,雨後才有可能映出彩虹。
群速度(綠)與相速度(紅)的動態圖解單一頻率的波,它的傳播速度是它的相速度。實際存在的波則不是單頻的,如果媒質對這個波又是色散的,那么,傳播中的波,由於各不同頻率的成分運動快慢不一致,會出現“擴散”。但假若這個波是由一群頻率差別不大的簡諧波組成,這時在相當長的傳播途程中總的波仍將維持為一個整體,以一個固定的速度運行。這個特殊的波群稱波包,這個速度稱為群速度。與相速度不同,群速度的值比波包的中心相速度要小,二者的差同中心相速度隨波長而變化的平均率成正比。群速度是波包的能量傳播速率,也是波包所表達信號的傳播速率。
複雜介質中傳播
均勻(巨觀看)而各向同性的媒質是簡單的傳播媒質,不少的媒質要複雜些。有些媒質是各向同性的但是不均勻。一個簡單的例子是海洋中的水,由於溫度、鹽度、隨深度而增長的壓強等因素,海水帶是分層的。聲波的傳播速度是這些因素的函式,因此隨層而異,其結果是聲波的傳播途徑遠不是直線。有可能在聲源前方海洋中出現沒有聲波的區域。比分層更不均勻的媒質,在海洋中以及在其他環境中,也是常見的。
媒質又可能是均勻但各向異性的。單晶是這類媒質。一束光射入像方解石那樣的單軸晶體時,會分裂成兩束光,其中一束遵守普通的折射定律,稱尋常光,另一束則不遵守,稱非尋常光。尋常光和非尋常光的偏振面是互相垂直的。這個現象叫雙折射。同它相類似,有所謂錐形折射現象,這發生在光沿著晶體的光軸射入像霰石那樣的雙軸晶體時。當細束光垂直射入這樣一個平塊晶體,會因錐形折射而在晶體的背面出射成一圈光。可以指出,對於聲波同樣能觀察到這樣的形象。
對某些種類的媒質,有時還可以施加外場以影響和控制媒質內部的波傳播。M.法拉第早在一百多年前便發現,對高折射率的各向同性材料施加強磁場,可以旋轉材料中傳播的光的偏振面。還可以有其他一些媒質情況,例如
不同種類的波在不同條件下的傳播,在細節上是千變萬化的,但在大的方面也常有類似之處。其中,日常生活中經常接觸到的電磁波和(空氣中)聲波尤其近似,若干問題的數學處理也是互通或互相啟發的。實際上在19世紀,曾經有一段時期把光看作以太的彈性波。
衰減
波在傳播過程中,除在真空中,是不可能維持它的振幅不變的。在媒質中傳播中,波所帶的能量總會因某種機理或快或慢地轉換成熱能或其他形式的能量,從而不斷衰弱,終至消失。反過來,有時可以人為地把其他形式的能量連續供給傳播中的波,如微波行波管中的慢電磁波或壓電半導體內的超音波,使這些波不僅不減弱,而且還增強。但是,如不補給能量,媒質中傳播的波總會逐漸衰減的。不同種類的波在不同種類媒質中的衰減機理是很不一樣的。即使同一種波在同一種媒質里傳播時,衰減的機理也可能隨頻率而異。波同媒質內部某些微觀結構的相互作用,引起波的衰減,而這個相互作用也同時導致色散。在這種情況下,衰減和色散是相關聯的。關於這種相互作用,可以提到一個相當普遍存在的規律,叫弛豫現象。弛豫是指兩個態的平衡需要有限的時間,而不是在一瞬間來完成。並不是所有的波的衰減都由於微觀因素。波的衰減也有起源於巨觀的原因的,例如,聲波在粘滯流體中衰減的部分原因是摩擦生熱(見聲吸收)。
還有的時候,波是分散了,而不是真正的衰弱,一個例是平面波被途中許多小障礙物所折射,一部分轉了向,從平面波的原來運動方向看,波的能量變小了。
粒子性
波以它的疊加、干涉、衍射、能量在空間和時間上連續鋪展等特徵而在通常概念中區別於具有集中質量的粒子,像雨滴、槍彈那樣的粒子。可是,在20世紀初期,一些實驗和理論表明,已確定為波的光,在和物質作用時,卻表現出粒子的性質。在黑體輻射、光電效應、X 射線的自由電子散射(康普頓效應)等實驗現象中,不把光看作粒子,便無法解釋這些現象。例如,在光電效應中,用波的概念無法解釋為什麼光電子的最大動能和入射光的強度並無關係,卻和光的頻率有關,為什麼光電子會在光入射的剎那間從金屬表面射出等等現象。在上述實驗情況下,光的能量是不連續的,是量子化的。也就是說,光是量子,稱為光子,它的能量是 hv, h是普朗克常數, v是光的頻率。
同光類似,一般稱為聲波的聲音,當波長很短時,也明顯表現為粒子,稱為聲子。不過聲子只存在於物質中,是物質振動的集體效應,與光子是不同類型的。
因此,波又有粒子性,在碰撞時遵守能量和動量守恆定律。這種情況一般發生在波與物質有相互作用時。另一方面,靜止質量不為零的微觀粒子,在傳播時也會具有波的特性。這樣擴大了波的範圍。
波動方程以數學語言來表達波的特徵,它給出了波函式隨空間坐標和時間的變化關係。通過對帶有特定的邊界條件的波動方程求解,能夠深入刻劃波的傳播規律,認識波的本質。波動方程可以分為經典的和量子力學的兩類。
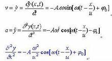
波動方程
公式是二階線性偏微分方程,它的一般形式是,
這裡 v是帶有速度量綱的參量, F( r, t)是一個可觀測的物理量,即波函式, r是空間坐標, t是時間,墷是拉普拉斯算符,根據需要可用不同的坐標表示。對於具體的問題,波動方程可能簡化。例如,對於均勻各向同性的媒質中的點波源,波函式只同矢徑有關,這時波動方程可以簡化成
BO弦上的波動方程是最簡單的一類
FC= CA
ξ( x, t)是質點位移。 ξ在流體中傳播的平面聲波的波動方程也具有相同的形式。
FC= CA
波動方程電磁波的波動方程可以寫為
G= CB
E和 B分別是電場強度和磁感應強度, v是相速度,在真空中 v= с,是為2.99792458×10 m/s的常數,在介質中 v= с/ n, n是介質的折射率。
物理學知識2
| 物理學(PHYSICS)是研究物質世界最基本的結構、最普遍的相互作用、最一般的運動規律及所使用的實驗手段和思維方法的自然科學,簡稱物理。物理學是人們對無生命自然界中物質的轉變的知識做出規律性的總結。 |
![波[物理學名詞] 波[物理學名詞]](/img/6/5f6/nBnauM3XyYDN5UjM0ETNxYjM1UTM1QDN5MjM5ADMwAjMwUzLxUzLxgzLt92YucmbvRWdo5Cd0FmLyE2LvoDc0RHa.jpg)
