簡介
物理學中未解決的問題之一,根據量子物理學原理,宇宙中遍布著零點能量。從理論上講,我們完全可以提取這種能量來幫我們做一些有用的事。雖然目前還沒有製造出能利用零點能量的設備,但是很多發明家都非常中意這個理念。
宇宙零點能量場-內部結構模型圖
零點能量是圍攏在行星一切的能源, 與無線電波相似。辭彙起源
英文為Zeropointenergy,簡稱ZPE。這個辭彙起源於量子諧振子處在基態時,量子數為零的考量。概述
量子物理學在量子場論中,這個辭彙和真空能量是等義詞,指的空無一物的空間仍有此一定能量存在,對一些系統可以造成擾動,並且導致一些量子電動力學會出現的現象,例如蘭姆位移與喀希米爾效應;它的效應可在納米尺度的元件直接觀測的到。
在宇宙論中,真空能量被視為宇宙常數的來源,和造就了宇宙加速膨脹的暗能量相關。
零點能量理論
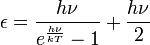
於1900年,馬克斯·普朗克導出單一“能量輻射子”("energyradiator")的能量式,能量輻射子即一個振動原子單元(vibratingatomicunit):
此處h為普朗克常數,ν為頻率,k為玻爾茲曼常數,以及T為溫度。
於1913年,利用此式的基礎,阿爾伯特·愛因斯坦與奧圖·史特恩(OttoStern)發表了一篇極重要的論文,首次提出所有振子在絕對零度時,仍存有的一種殘餘能量。他們以“殘餘能量”("residualenergy")稱之,也用德文的Nullpunktsenergie稱呼,隨後翻譯為零點能量。他們做出了對於氫氣在低溫的比熱分析,結論為:對於相關數據的最佳說明,是當振動能量採取如下形式:
“殘餘能量”("residual energy")因此,根據這樣的表示法,即使在絕對零度,原子系統的能量仍有值½hν。
基礎物理
在經典物理中,系統能量是種相對性的描述,必須按照與某個特定給定狀態(常稱為“參考態”)的相對關係來定義才有意義。通常的設定是將靜止系統定為零能量,不過這種作法是任意性的。
在量子物理中,將能量與系統的哈密頓算符期望值做連結是很自然的作法。幾乎所有量子力學系統,此算符的最低可能期望值通常不為零;此值即稱為零點能量。
最小能量不為零的起源可以透過海森堡不確定原理來直觀了解。此原理指出一量子粒子的位置與動量不可以同時被無限精確地得知。如果粒子被限制在無限深方形阱,則它的位置至少是部份清楚的——它必須在阱里。因此可以推論:粒子在阱里動量不能為零,否則不確定原理會被違反。又因為移動粒子的動能正比於速度平方,所以也不會是零。然而此例卻不能用到自由粒子上,自由粒子的動能值可以是零。
基礎
零點能量的概念出現在許多場合,而對這些場合做出區分是重要的,此外尚有許多與零點能量有密切關係的概念。
在普通量子力學中,零點能量是系統基態所具有的能量。這樣的例子中最有名的是量子諧振子基態所具有的能量E=1/2hw。更精準地說,零點能量是此系統哈密頓算符的期望值。
在量子場論中,空間的織構(fabric)可以視作是由場所組成,而場在時間與空間中各點是個量子化的簡諧振子,並且有相鄰振子的相互作用。在這情況下,空間中各點都各有的貢獻,導致技術上為無限大的零點能量。又一次,零點能量是哈密頓算符的期望值,但在這裡,“真空期望值”這個辭彙更常使用,而能量稱為真空能量。在量子微擾理論,有時候會說:基本粒子傳遞子(propagator)的單圈(one-loop)與多圈費曼圖貢獻,是來自於真空漲落(vacuumfluctuation)或者說來自於零點能量對於粒子質量的貢獻。
實驗證據
要證明零點能量存在,量子場論中最簡單的實驗證據是喀希米爾效應(Casimireffect)。此效應是在1948年由荷蘭物理學家亨得里克·喀希米爾(HendrikB.G.Casimir)所提出,其考慮了一對接地、電中性金屬板之間的量子化電磁場。可以在兩塊板子間量測到一個很小的力,這種力——稱之為喀希米爾力,可直接歸因於板子間電磁場的零點能量變化所造成。
喀希米爾效應一開始被視作不易探測,因為它的效應只能在極小距離被看到,然而此效應在納米科技的重要性逐日增加。不僅是特殊設計的納米尺度裝置可輕易又精準地測量到喀希米爾效應,在微小裝置的設計以及製程中,此一效應的影響也逐漸需要被考慮進去,以其會對納米裝置施加不小的力及應力,使得裝置被彎折、扭轉、相黏和斷裂。
其他的實驗證據包括有原子或核子的光(光子)自發放射(spontaneousemission)、原子能階的蘭姆位移(Lambshift)、電子鏇磁比(gyromagneticratio)的異常值(anomalousvalue)等等。
ZPower 集中於建立基礎設施必要成功地把這些技術商業化在物理宇宙學中,零點能量對於臆測為正值的宇宙常數提供了有意思的課題。簡單說,若此能量真的存在,則其應當會施以引力。在廣義相對論中,質量與能量等價;任何一者都會產生引力場。
這種關係聯結其中一個最明顯的困難是真空的零點能量是大得荒謬。天真地說,它是無限大的。不過可以辯稱說:普朗克尺度下的新物理會讓它在那樣的尺度下有個截止點(cut-off)。即便如此,仍會有相當大的零點能量使得時空有明顯的彎曲,而與現實相矛盾。對於此情形,至今沒有簡單的解決辦法,而將“理論上似乎相當大的空間零點能量”,以及“觀測到宇宙常數為零或很小”這兩個情形作調和,是理論物理學中的重要問題之一,而這也變為對於萬有理論候選者評比的一項標準。
另一個零點能量研究領域是在於如何用它來產生推進。美國國家航空航天局(NASA)與英國航太公司(BritishAerospace)兩個單位都有相關研究計畫,不過要做出可用的技術仍有相當遙遠的路要走。要在此領域中取得任何的成功,就必須能做到對量子真空製造出斥力效應(repulsiveeffect);根據理論是可能的,而製造以及測量出這樣效應的實驗規劃在未來要進行。Rueda、Haisch及Puthoff三人提出了一個加速中的質量體會與零點場相互作用,製造出一種電磁阻滯力(electromagneticdragforce),而產生了“慣性”此一現象;細節參見隨機電動力學(stochasticelectrodynamics)。
零點能量與謬論
喀希米爾效應使得零點能量成為一個沒有爭議、且科學界普遍接受的現象。然而“零點能量”一詞卻已經與一些具有爭議性的領域牽扯上關係:設計與發明出所謂的“免費能量”裝置("freeenergy"devices),概念上與過去永動機(perpetualmotionmachines)有某種程度上的相似,在發展的成功度也相類似。在外國有許多業餘愛好者投入研究,宣稱有一定成果,甚至有專門討論免費能量的網路論壇。這些人自創了一個字用來形容這類裝置,叫做OVERUNITY,是指某個裝置的輸出能量大於輸入能量。也有許多公司宣稱成功研發這類裝置。但是目前科學界似乎不接受這類發明與發現,這類公司也被批評為詐欺集團。相關專利
美國專利(U.S. Patent) 5590031——將電磁輻射能量轉換為電力能量的系統 美國專利(U.S. Patent) 6362718──不動式電磁發電機(Motionless electromagnetic generator) www.overunity.com專門討論這類“免費能源”裝置的論壇 。延伸閱讀
Beiser,Arthur.ConceptsofModernPhysics.McGraw-Hill.1967.
AlbertEinsteinandL.Hopf.Onatheoremoftheprobabilitycalculusanditsapplicationtothetheoryofradiation.Ann.Phys..1910,33:1096–1104.
AlbertEinsteinandL.Hopf.Statisticalinvestigationofaresonator’smotioninaradiationfield.Ann.Phys..1910,33:1105–1115.
AlbertEinsteinandOttoStern,.—.Ann.Phys..1913,40:551.
Forward,R..Extractingelectricalenergyfromthevacuumbycohesionofchargedfoliatedconductors.Phys.Rev.B.1984,30:1700.
Forward,R..MassModificationExperimentDefinition.ForwardUnlimited.February1996.PL-TR-96-3004.
BernardHaisch,AlfonsoRuedaandYorkDobyns.Inertialmassandthequantumvacuumfields.AnnalenderPhysik.2001,10:393-414.
Loudon,R..TheQuantumTheoryofLight.ThirdEdition.Oxford:ClarendonPress.September2000.ISBN0-19-850176-5.
Milonni,PeterW..TheQuantumVacuum:anIntroductiontoQuantumElectrodynamics.NewYork:Academic.1994.ISBN0-12-498080-5.
Nernst,W..—.Verh.DeutschPhys.Ges..1916,18:83.
AlfonsoRuedaandBernardHaisch.GravityandtheQuantumVacuumInertiaHypothesis.AnnalenderPhysik.2005,14:479-498.
Sciama,D.W.SimonSaundersandHenryR.Brown,eds..ThePhilosophyofVacuum.Oxford:ClarendonPress.1991.ISBN0-19-824449-5
Wegerif,Boudewijn.ZeroPointEnergy-FactorFiction.Indybay.February11,2002[2007-04-03]..

