簡介
哈密頓方程(一階) H即能量函式哈密頓力學是標準的“伽利略加速點運動幾何學”的一種力學。不幸的是,後人將其稱作是“新幾何力學”,這多多少少顯示了後人的數學知識和物理學思想的一種令人遺憾的欠缺。
哈密頓系統可以理解為時間R上的一個纖維叢E,其纖維Et,t∈R是位置空間。拉格朗日量則是E上的Jet叢(射流叢)J上的函式;取拉格朗日量的纖維內的勒讓德變換就產生了一個時間上的對偶叢的函式,其在t的纖維是餘切空間T*Et,它有一個自然的辛形式,而這個函式就是哈密頓量。
哈密頓力學任何辛流形上的光滑實值函式H可以用來定義一個哈密頓系統。函式H稱為哈密頓量或者能量函式。該辛流形則稱為相空間。哈密頓量在辛流形上導出一個特殊的向量場,稱為辛向量場。
該辛向量場,稱為哈密頓向量場,導出一個流形上的哈密頓流。該向量場的一個積分曲線是一個流形的變換的單參數族;該曲線的參數通常稱為時間。該時間的演變由辛同胚給出。根據劉維爾定理每個辛同胚保持相空間的體積形式不變。由哈密頓流到處的辛同胚的族通常稱為哈密頓系統的哈密頓力學。
哈密頓向量場也導出一個特殊的操作,泊松括弧。泊松括弧作用於辛流形上的函式,給了流形上的函式空間一個李代數的結構。
當余度量是退化的時,它不是可逆的。在這個情況下,這不是一個黎曼流形,因為它沒有一個度量。但是,哈密頓量依然存在。這個情況下,在流形Q的每一點q余度量是退化的,因此余度量的階小於流行Q的維度,因而是一個亞黎曼流形。
這種情況下的哈密頓量稱為亞黎曼哈密頓量。每個這樣的哈密頓量唯一的決定余度量,反過來也是一樣。這意味著每個亞黎曼流形由其亞黎曼哈密頓量唯一的決定,而其逆命題也為真:每個亞黎曼流形有唯一的亞黎曼哈密頓量。亞黎曼測地線的存在性由Chow-Rashevskii定理給出。
哈密爾頓系統可以幾種方式推廣。如果不僅簡單的利用辛流形上的光滑函式的結合代數,哈密爾頓系統可以用更一般的交換酉實泊松代數表述。一個狀態是一個(裝備了恰當的拓撲結構的)泊松代數上的連續線形泛函,使得對於代數中的每個元素A,A2映射到非負實數。
進一步的推廣由NAMBU動力學給出.
作為拉格朗日力學的重新表述
從拉格朗日力學開始,運動方程基於廣義坐標
哈密頓力學而相應的廣義速度為
哈密頓力學通過延伸記號的意義,我們將拉格朗日函式寫作
哈密頓力學其中帶下標的變數視為所有N個該類型的變數。哈密頓力學的目標是用廣義動量(也稱為共軛動量)變數取代廣義速度。這樣一來,就可能處理特定的系統,例如量子力學的某些方面,否則其表述會更複雜。
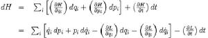
對於每個廣義速度,有一個對應的共軛動量,定義為:
哈密頓力學在直角坐標系中,廣義動量就是物理上的線性動量。在極坐標中,對應角速度的廣義動量就是物理上的角動量。對於廣義坐標的任意選取,可能不能找到共軛動量的直觀解釋。
在依賴於坐標的表述中不太明顯的一點是:不同的廣義坐標實際上無非就是同一辛流形的不同坐標表示。
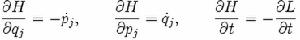
哈密頓量若定義廣義坐標的變換方程和t無關,可以證明H等於總能量E = T + V.
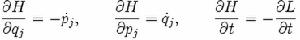
H的定義的每邊各產生一個微分:
哈密頓力學把前面共軛動量的定義代入這個方程併合並係數,我們得到哈密頓力學的運動方程,稱為哈密頓正則方程:
哈密頓正則方程哈密頓方程是一階微分方程,因而比拉格朗日方程容易解,因為那個是二階的。但是,導出運動方程的步驟比拉格朗日力學更繁瑣 - 從廣義坐標和拉格朗日量開始,必須先計算哈密爾頓量,用共軛動量來表達每個廣義坐標,然後將共軛動量代入哈密頓量。總之,用哈密頓力學來解決問題不比用拉格朗日力學簡單多少。最終,它們導致和拉格朗日力學和牛頓運動定律同樣的解。
哈密頓方法的主要優點在於它提供了經典力學理論的更深刻結果的基礎。
哈密頓系統的幾何
哈密頓系統可以理解為時間'上的一個纖維叢',其纖維'','∈'是位置空間。拉格朗日量則是'上的jet叢(射流叢)'上的函式;取拉格朗日量的纖維內的勒讓德變換就產生了一個時間上的對偶叢的函式,其在'的纖維是餘切空間'*'',它有一個自然的辛形式,而這個函式就是哈密頓量。
數學表述
哈密頓力學該辛向量場,稱為哈密頓向量場,導出一個流形上的哈密頓流。該向量場的一個積分曲線是一個流形的變換的單參數族;該曲線的參數通常稱為時間。該時間的演變由辛同胚給出。根據劉維爾定理每個辛同胚保持相空間的體積形式不變。由哈密頓流到處的辛同胚的族通常稱為哈密頓系統的哈密頓力學。
哈密頓向量場也導出一個特殊的操作,泊松括弧。泊松括弧作用於辛流形上的函式,給了流形上的函式空間一個李代數的結構。特別的有,給定一個函式'
:若我們有一個機率分布,ρ,則(因為相空間速度()有0散度,而機率是不變的)其傳達導數(convectivederivative)可以證明為0,所以
這稱為劉維爾定理。每個辛流形上的光滑函式'產生一個單參數辛同胚族,而若{','}=0,則'是守恆的,而該辛同胚是對稱變換。
哈密頓向量場的可積性是未解決的問題。通常,哈密頓系統是混沌的;測度,完備性,可積性和穩定性的概念沒有良好的定義。迄今為止,動力系統的研究主要是定性的,而非定量的科學
黎曼流形
哈密頓力學其中是纖維(組態空間中的點'上的餘切空間)上的余度量。該哈密頓量完全由動能項組成。
若考慮一個黎曼流形或一個偽黎曼流形,使得存在一個可逆,非退化的度量,則該余度量可以簡單的由該度量的逆給出。哈密頓-雅可比方程的解就是流形上的測地線。特別的有,這個情況下的哈密頓流就是測地流。這些解的存在性和解集的完備性在測地線條目中有詳細討論。
亞黎曼流形
當余度量是退化的時,它不是可逆的。在這個情況下,這不是一個黎曼流形,因為它沒有一個度量。但是,哈密頓量依然存在。這個情況下,在流形'的每一點'余度量是退化的,因此余度量的階小於流行'的維度,因而是一個亞黎曼流形。
這種情況下的哈密頓量稱為亞黎曼哈密頓量。每個這樣的哈密頓量唯一的決定余度量,反過來也是一樣。這意味著每個亞黎曼流形由其亞黎曼哈密頓量唯一的決定,而其逆命題也為真:每個亞黎曼流形有唯一的亞黎曼哈密頓量。亞黎曼測地線的存在性由Chow-Rashevskii定理給出。
連續實值海森堡群提供了亞黎曼流形的一個例子。對於海森堡群,哈密頓量為
沒有在哈密頓量中被涉及到。
泊松代數
哈密爾頓系統可以幾種方式推廣。如果不僅簡單的利用辛流形上的光滑函式的結合代數,哈密爾頓系統可以用更一般的交換酉實泊松代數表述。一個狀態是一個(裝備了恰當的拓撲結構的)泊松代數上的連續線形泛函,使得對於代數中的每個元素','2映射到非負實數。
進一步的推廣由Nambu動力學給出
參閱
物理學知識2
| 物理學(PHYSICS)是研究物質世界最基本的結構、最普遍的相互作用、最一般的運動規律及所使用的實驗手段和思維方法的自然科學,簡稱物理。物理學是人們對無生命自然界中物質的轉變的知識做出規律性的總結。 |

