簡介
拉格朗日方程:對於完整系統用廣義坐標表示的動力方程,通常系指第二類拉格朗日方程,是法國數學家J.-L.拉格朗日首先導出的。
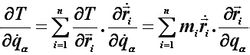
通常可寫成:

式中T為系統用各廣義坐標qj和各廣義速度q'j所表示的動能;Qj為對應於qj的廣義力;N(=3n-k)為這完整系統的自由度;n為系統的質點數;k為完整約束方程個數。

從虛位移原理可以得到受理想約束的質點系不含約束力的平衡方程,而動靜法(達朗貝爾原理)則將列寫平衡方程的靜力學方法套用於建立質點系的動力學方程,將這兩者結合起來,便可得到不含約束力的質點系動力學方程,這就是動力學普遍方程。而拉格朗日方程則是動力學普遍方程在廣義坐標下的具體表現形式。

通常,我們將牛頓定律及建立在此基礎上的力學理論稱為牛頓力學(也稱矢量力學),將拉格朗日方程及建立在此基礎上的理論稱為拉格朗日力學。拉格朗日力學通過位形空間描述力學系統的運動,它適合於研究受約束質點系的運動。拉格朗日力學在解決微幅振動問題和剛體動力學的一些問題的過程中起了重要的作用。拉格朗日方程可以用來建立不含約束力的動力學方程,也可以用來在給定系統運動規律的情況下求解作用在系統上的主動力。如果要想求約束力,可以將拉格朗日方程與動靜法或動量定理(或質心運動定理)聯用。
套用
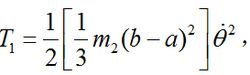
拉格朗日方程①圖1是一個半徑為a、質量為m的圓盤,它的中心用鉸鏈與質量為m的直桿相連。此桿的另一端用鉸鏈固接在半徑為b的空心圓筒的中心O;桿長l=b-a。圓盤繞O點擺動。桿的動能為

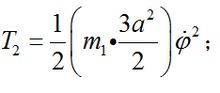
圓盤轉動角關係為bθ=a(θ+φ),圓盤繞O點轉動動能為

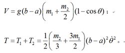
系統以B點為標準的勢能V和系統的動能T為:

代入


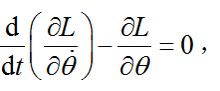
形式
拉格朗日方程式中L=T-U為拉格朗日函式,它等於系統的動勢T與位勢U之差。上式與變分問題中的歐拉方程形式相同,由此可導出哈密頓原理。

