定義
平衡方程 力系平衡條件的數學形式。空間任意力系的平衡條件是,力系的主矢和主矩都等於零,即R=0,M=0。
數學表達
因
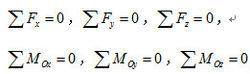
平衡方程故得出空間任意力系的6個平衡方程:
平衡方程式中F、F、F分別為各分力在x、y、z軸上的投影;M、M、M分別為各分力對通過O點的x、y、z軸的矩。從以上六式可解出6個來知量。其他力系均可看成是它的特殊情形。例如平面任意力系的平衡方程為:
平衡方程平面匯交力系的平衡方程為:
平衡方程對於流體、彈性體等變形體的平衡,也可套用上述平衡方程,但還不充分。
平衡方程是在解決工程實際問題中,通過對力的分析,建立起來的力的數學解析表達式,是工程實際中對受力情況的一種定量分析方法。
平衡方程 力系平衡條件的數學形式。空間任意力系的平衡條件是,力系的主矢和主矩都等於零,即R=0,M=0。
因
平衡方程故得出空間任意力系的6個平衡方程:
平衡方程式中F、F、F分別為各分力在x、y、z軸上的投影;M、M、M分別為各分力對通過O點的x、y、z軸的矩。從以上六式可解出6個來知量。其他力系均可看成是它的特殊情形。例如平面任意力系的平衡方程為:
平衡方程平面匯交力系的平衡方程為:
平衡方程對於流體、彈性體等變形體的平衡,也可套用上述平衡方程,但還不充分。
大氣壓力是隨高度的增加而降低的。當一空氣塊在保持靜力平衡狀態,水平方向上各面受力相互抵消的條件下,它在垂直方向上所受向上淨壓力(上、下壓力差)必為重力所...
流體平衡方程表達了處於靜止(或相對靜止)狀態的流體中任一點上壓強與作用於流體的質量力之間的普遍關係。
方程式 推導過程 流體內任一點壓強 帕斯卡定律質量平衡方程(mass equation equation
物質平衡方程是根據物質守恆原理,油藏開發任意時刻,從油藏采出的流體量加油藏地下剩餘的流體量必須與油藏原始的流體量相等的原則所建立的方程。
釋義 微元平衡方程 作用在殼體上微元上的內力分量和外載荷組成一平衡力系,根據平衡條件可得各內力分量與外載荷的關係式。 微元平衡方程 由圖(c...σφ、σθ和壓力p的方程,稱為微元平衡方程。此式由拉普拉斯首先導出,故又稱...
彈性力學平衡方程(equilibrium equation in e-lasticity)聯繫應力張量和外力的平衡條件
mbe是物料平衡方程的英文material balance equation的縮寫。
湍流動能平衡方程是描述湍流動能收支和隨時間變化的微分方程。 以上各項收支的代數和決定了湍流動能的增減。 湍流動能增加即湍流發展,湍流擴散能力增強,湍流動...
它的平衡方程比平面一般力系簡單,只有兩個獨立的平衡方程,即ΣFx=0 ΣMo=0前者為各力都與y軸平行,後者各力都與x軸平行。 平面平行力系的平衡方程也...
