方程式
靜止流體平衡方程式如右圖:
它表達了處於靜止(或相對靜止)狀態的流體中任一點上壓強與作用於流體的質量力之間的普遍關係。
X、Y、Z分別為作用於x,y,z方向的質量力。
這個方程式是1755年歐拉提出的,故也稱為歐拉平衡方程。
推導過程
設一個靜止的流體中任一點A處得坐標是(x,y,z),劃出以A為中心的微小平行六面體作為隔離體。六面體各邊分別於直角坐標軸平行,其邊長分別為dx,dy,dz。
對作用於與這個流體微小六面體上的外力進行分析
(1)作用於六面體上的表面力。
設六面體中心點A的靜水壓強為p。那么,根據流體連續性的假設,它應是坐標的連續函式,即p=p(x,y,z)。於是根據靜水壓強p在A附近的變化,沿x方向作用在邊界面中心A1和A2點上的壓強p1,p2,可以表示為:
流體平衡方程
流體平衡方程因此,作用在x方向兩邊界面上的靜水總壓力為:
同理,對於其他和y、z軸相平行的面上的力,也可以寫出相應的表達式。
(2)作用於六面體的質量力。
設作用於單位質量流體上的質量力在x方向的分量為X,則作用於六面體上的質量力在x方向的分力為X·ρdxdydz,其中ρ為流體的密度,ρdxdydz為六面體的質量。當然,沿y、z方向也同樣有質量力Y·ρdxdydz,Z·ρdxdydz。
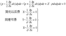
根據流體的平衡條件,這兩種作用力必須平衡。則各力在軸上的投影之和應為零,即:
流體平衡方程流體內任一點壓強
在給定質量力的作用下,對上公式積分,便可得到靜止流體中壓強p的具體分布規律。如果已知流體表面或內部任意點處得力函式U和壓強P0,則上式積分以後得:p=P0+ρ(U-U0)
這就是在具有力函式U的某一質量力作用下,靜止流體內任一點p的表達式。
帕斯卡定律
在上式中,可以看出,當p0值有所增減時,則在所研究的平衡流體中,各處的壓強p也相應地有同等數值的增減。由此可得:在處於平衡狀態的不可壓縮的流體中,作用在其邊界面上的壓強,將等值、均勻地傳遞到流體的所有各點,這就是帕斯卡定律。

