電漿動力論
正文
電漿非平衡態的統計理論。電漿是自然界存在十分廣泛的一種物質狀態。它很容易受外界干擾,經常處於非熱動平衡狀態。對它的現象、規律的研究比較嚴格的是電漿動力論。電漿參量 電漿是由自由電子、各種自由離子組成的,它們之間的相互作用是庫侖力。庫侖力是一種長程力,許多帶電粒子之間可以同時產生長程的相互作用,因此在電漿中,除了粒子之間庫侖碰撞以外,還要用平均自洽電磁場描述這種長程相互作用。它表現為電磁場和粒子的集體波動。它的特徵時間是電漿頻率ωp,粒子之間碰撞的特徵時間是庫侖碰撞頻率v。二者之比
(λD是電漿的德拜長度,n是粒子數密度)。g叫電漿參量,它的倒數表示德拜球中的粒子數。g 是一個決定電漿性質的重要參量。g
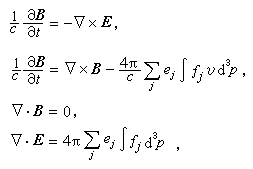
1表示由平均自洽場形成的波動在電漿運動變化過程中占重要地位。自然界中很多的電漿都屬於這一種情況。 動力論方程組 電漿是電子和離子處在自由狀態下的多粒子體系,完整的描述是多粒子分布函式 D(r1…rn;p1,…,pN;t)在6N 維相空間中隨時間的變化。BBGKY〔H.H.博戈留博夫(1946)、M.玻恩和 H.S.格林(1949)、J.G.柯克伍德(1946)、J.伊翁(1935)〕證明了在g
1情況下,對D所滿足的方程按g的方次作展開,在g0近似下,它簡化為(單)粒子分布函式f(r,p,t)的方程,f·d3r·d3p表示在相空間小體積元中粒子數:
。

在g1近似下,在符拉索夫方程右端,要增加一項由粒子之間碰撞產生的粒子在動量空間中的慢化和擴散項
(下標c表示碰撞),它具有常見的福克-普朗克方程的形式(見統計物理學),增加了這一項的方程,在電漿動力論中因慢化和擴散係數具體形式的差別,或叫巴萊斯庫-勒納方程,或叫朗道方程。這就是電漿動力論方程組。動力論方程的每一項的物理意義都很清楚。在六維相空間中每一點的粒子密度的變化是由三種因素產生的:①普通空間粒子流vf的散度,②動量空間流Af(A是帶電粒子在洛倫茲力作用下的加速度)的散度,③庫侖碰撞產生的粒子在動量空間的慢化和擴散。到目前為止的實踐表明,這套方程組可以作為電漿動力論的比較好的描述框架。 碰撞項的性質比較簡單。它和描述稀薄氣體動力學的玻耳茲曼碰撞項具有類似性質,滿足玻耳茲曼H 定理(見統計物理學),這就保證了在它的作用下,粒子速度分布單調地趨向於熱動平衡態的麥克斯韋分布。利用電子計算機對這一項作數值模擬計算,研究粒子速度分布趨向熱動平衡的弛豫過程,原則上也沒有多大困難。
電漿動力論的複雜性主要表現在符拉索夫方程上。這是一個非線性演化方程。非線性表面在

電磁流體方程組 六維相空間分布函式f(r,p,t)所滿足的符拉索夫方程是一個難於處理的方程,在實際套用中常常需要簡化。其中一種常用的辦法是對 f取動量矩
,得到電磁雙流體(電子、離子)方程組,把它作為研究電漿動力論的一種近似。對符拉索夫方程取動量的零次矩得密度守恆方程,一次矩得動量守恆方程,二次矩得能量守恆方程。因為這裡還包括f的高次矩,所以這三個矩方程是不封閉的。在一般氣體動力論中,是用恩斯庫格-查普曼方法處理高次矩的。在那裡粒子之間的碰撞起主要作用(碰撞自由程很短),f近似局部熱動平衡分布。可以把f在局部熱動平衡基礎上,對磁撞自由程作展開,得到f的近似解。由f的近似解計算三次矩,就得到流體力學方程的各種輸運項(粘滯性、熱傳導等),使流體力學方程組成為完備的封閉方程組。這條途徑初看起來在電漿中似乎是不能用的,因為這裡粒子之間的碰撞往往不占主導地位。但是實際上,當電漿作集體運動時,主要物理量仍然是電子、離子密度、流速,所以電磁雙流體方程組仍不失為一個比較容易處理的研究出發點。 有一點應當注意,在取動量矩時,已忽略電漿中電子、離子的細緻粒子分布,所以電磁雙流體方程組不能反映在電漿中很重要的波與粒子之間的相互作用,也不能反映在磁場中有限拉莫爾半徑所產生的效應。流體力學方程組仍然是一套非線性方程組。對於流體力學方程所描述的層流流動,已經發展了多種計算方法,這裡也可借用。對於湍流流動,問題複雜多了。電漿中的運動形態比一般流體要豐富得多,並且它非常容易在外界環境作用下發展為湍流狀態。所以利用流體方程組研究電漿動力論雖然比符拉索夫方程簡單多了。但仍是一個複雜的課題。
電漿中線性波 在周圍環境條件作用下,電漿中發生複雜的運動過程,諸如能量的吸收和發射,各種運動形態之間的轉化,各種輸運過程(粒子擴散、電流傳導、能量傳輸、……)等。在這些過程中,如果粒子之間的碰撞起主要作用,通常叫正常過程(例如正常擴散、正常電導、……),如果其有集體運動性質的波動起主導作用,就叫作反常過程。這個名詞習慣上的沿用,實際上在電漿中,常常遇到的是反常輸運。
自從50年代末期以來,對於基本上處於比較均勻、平穩的狀態,只有微弱擾動的電漿,從符拉索夫方程或電磁流體力學方程出發,作了系統的研究。這是一些可以把非線性項作為微擾處理的簡單情況。
在這種情況下,作為零級近似,先不考慮非線性項,方程退化為線性方程組。線性方程組具有一系列特徵振盪,這就是電漿中的波。電漿由許多物理量描述(電子、離子密度、速度、電場、磁場),在振盪過程中,按照這些物理量相對運動狀態的不同,可以把電漿中的波分為多種不同類型的分支。在沒有外加磁場的電漿中,最常見的波有三種:①離子不動,電子作縱向振盪的電漿波;②離子不動,電磁場和電子作橫向振盪的電磁波;③離子和電子一起振盪的離子聲波。在有外加磁場的電漿中,波的類型更多達數十種。電漿中波的類型的豐富是所有物理學分支中少見的。
要形成振盪,一個必不可少的條件是對於偏離平衡分布的微小擾動要有恢復力。常見的是一般氣體中的聲波,恢復力是壓力。對於一般氣體,粒子之間碰撞頻率比聲波振盪頻率大得多,在聲波振盪過程中,碰撞使媒質處於局部熱動平衡狀態。高密度點壓力大,壓力排開高密度,形成振盪。對於電漿振盪,粒子分布不處於局部熱動平衡狀態,恢復力一般不是壓力,而是平均自洽場產生的電磁力。電子在作電漿振盪時,在電子密度加大的地點,由於靜電斥力,電子彼此排開;而在密度稀疏的地點,離子的正電荷吸引周圍電子,這種靜電力是形成電漿振盪的恢復力。離子聲波的情況也類似。所以離子聲波的振盪機制是不同於普通聲波的。
電漿中波和粒子相互作用 電漿中各種類型波不同於普通聲波的一個表現是具有朗道阻尼。這是一種典型的波與粒子無規運動之間的相互作用。
令k表示波矢,每一類波(α)有其特徵頻率ωα(k)。
是波的相速度。運動速度
的粒子叫與波共振粒子。這種粒子和波一起前進,好像“騎”在波上一樣,從而與波可以有比較強的能量交換。速度大于波相速的粒子,推動波前進,把它的一部分能量交給波,促使波振幅增長;對於速度略小於相速的粒子,波推動它前進,使它加速。總起來說,要看那種粒子數多,決定波是隨時間衰減還是增長。這種現象叫做朗道衰減或增長。在電漿現象中,經常遇到束流轟擊電漿情況。在束流粒子推動下,電漿中和它共振的波不斷增長,電漿失穩。束流不穩是電漿的一類重要的不穩定現象。 電漿中波和波相互作用 在電漿中,除了波與粒子之間的相互作用外,通過非線性項,還有波與波之間的相互作用。當幾個波之間有共振關係時,它們之間的相互作用最強。所謂共振就是指這幾個波的波矢和頻率同時匹配〔例如三個波k1,ω1(k1);k2,ω2(k2);k3,ω3(k3)滿足k1k2+k3,ω1=ω2+ω3匹配關係〕。在電漿物理中,經常出現在一束強波(抽運波)作用下,電漿失穩的現象。抽運波激發和它共振的波,這種現象叫參量激發。例如用一束強雷射照射在電漿上,雷射可以被電漿吸收,衰變成和它共振的電漿波和離子聲波(衰變不穩),雷射也可以發生散射,產生離子聲波或電漿波(誘導布里淵散射或誘導喇曼散射)。這類參量激發現象在物理學的許多分支中,在許多工程技術問題中,都是常見的重要現象。
弱湍流 電漿中,更常見的有寬廣頻譜(Δk≈k)的波動。對於總能量比粒子的熱運動動能小得多的弱波情況,在60~70年代初發展了一套利用微擾論方法處理非線性相互作用的理論。假設各分波的相角具有隨機性分布,對波的相角可以作統計平均,得到一套電漿弱湍流動力方程組。這是一套描寫粒子(電子、離子)準粒子(電漿子、聲子、光子……)彼此之間通過二體碰撞發生相互作用的動力論方程組,具有福克-普朗克方程形式。三波共振條件ω1=ω2+ω3k1=k2+k3可以看作是準粒子在碰撞過程中的能量、動量守恆。
60年代以來,作了許多實驗檢驗這套線性-微擾理論。大體上說,這套理論在一些情況下能夠解釋一些現象,但是套用範圍是很局限的。
孤立子 微擾論的局限性可能有深刻的根源。近代關於非線性波的研究清楚地表明有些類型解(或者說運動形態)是不能夠從線性微擾得到的。孤立子解就是一類典型例子。所謂孤立子是指集中在空間有限區域,在獨自運動過程中不會散開的一類非線性波。自從1967年以來,陸續對一些比較簡單的非線性色散型波動方程(例如KdV方程,S-3方程,S-G方程……)發展了散射反演求解方法,對於在任意初始條件下解的性質有了清楚的了解。解分兩類,一類基本上是線性波,一類是孤立子解。這些方程雖然簡單,卻具有典型性。幾乎物理學的所有分支都要處理非線性波動方程(當然實際上遇到的方程常常要比上列方程複雜得多,不能簡單地套用散射反演法求解),所以近十幾年來都對孤立子現象作了大量研究工作。產生孤立子現象的物理實質是線性波的色散性和非線性項對波的凝聚作用的平衡。
非線性項在一些情況下對波有凝聚作用。這一點可以通過一個最簡單的非線性方程

非線性項相互作用,逐漸產生愈來愈高的高次諧波。對於上述方程,隨著時間的發展,會出現物理上無意義的u是x的多值函式的情況。當然在實際物理過程中,是不會出現這種情況的。
電漿動力論一類因素是波的耗損。一般地說,隨著波數k加大,耗損過程會愈來愈快的把波的能量傳給其他(在上列方程中未考慮的)自由度。耗損的機制很多,例如流體粘滯性、共振粒子的朗道阻尼等。由於耗損,大k值的波分量發展不起來,從而在普通空間中波不會變得非常陡,波陣面總會有一定的寬度。這時波後如果有外加推動力,不斷向波提供能量,補充在波陣面發生的損耗,就會形成衝擊波。
另一類阻止波凝聚的物理因素是波的色散。頻率ω(k)與k有關即不是常數的波叫色散波。一個有色散的波,由於它的各個k分波的傳播速度不同,在運行過程中,有在空間中散開的趨勢。非線性使波凝聚,色散使波散開,在有些情況下,二者可以互相平衡,於是波動集中在空間有限區域成為波包傳播,不再進一步凝聚,也不再進一步散開,形成孤立子。
電漿中有豐富的色散波,顯然可能存在著各種類型的孤立子。當前從理論分析上,數值模擬計算上以及實驗上研究得比較多的是離子聲孤立子和等離子波包絡孤立子。
在離子聲振動過程中,由於電子密度和離子密度振動不同步,發生電荷分離現象,這種現象使聲波具有色散性,這種色散性和振動的非線性形成了局部密度隆起以超聲速運動的離子聲孤立子。
高頻電漿波在振盪過程中,可以產生有質動力,把電漿排開,形成電漿局部凹陷,電漿波被俘獲在凹陷中,凹陷以亞聲速運動,這種孤立子叫等離子波包絡孤立子。
這些現象在電漿實驗中和數值模擬計算中,都已觀察到。
孤立子具有類似粒子的性質。它們之間互相碰撞可以發生散射、分裂、融合現象。它可以發射、吸收線性波,俘獲電子、離子並交換能量以及在外界作用下加速等。孤立子在電漿動力論中可能占有重要地位。當前對這些複雜現象的研究還處在初始階段。
總之,經過近30年的努力,電漿動力論已經取得了不少的進展,但總的說來,仍處在很不成熟的發展階段。
參考書目
N.A. Krall and A.W. Trivelpiece,Principles of plasma physics,McGraw-Hill,New York,1975.

