電漿中的輸運過程
正文
電漿通常不處於熱力學平衡態,輸運過程(或稱弛豫過程)是一種重要的基本過程。例如,對於磁約束的準穩態力學平衡系統,其狀態的演化一般主要由輸運過程所決定;即使是很快的過程,如波動、不穩定性或激波等,輸運過程所引起的耗散效應有時也是十分重要的。發展簡史 電漿輸運過程的理論研究是從20世紀初開始的。有人採用查普曼-恩斯庫格展開的方法計算了電漿的輸運係數。還有人運用了矩方程方法。Л.Д.朗道導出了描寫庫侖碰撞的朗道碰撞項。S.錢德拉塞卡和L.施皮策等人運用福克-普朗克方程研究了庫侖碰撞效應。錢德拉塞卡引入了試探粒子方法。
除了以上這些有關經典輸運過程的工作外,從50年代起,人們開始注意影響輸運過程的一些其他的重要因素,如複雜磁場位形的影響,集體效應引起的反常輸運等。例如,所謂新經典理論研究了環形電漿中的輸運過程。反常輸運現象方面,早期最著名的是玻姆擴散(1949),近年來在反常輸運方面做了大量的工作,有了相當的進展,但仍有很多問題是不清楚的。
輸運方程和輸運係數 輸運過程本質上是動力論過程,但解動力論方程一般是十分困難的。通常是採用巨觀的電磁流體方程討論問題,在輸運問題中這些方程也稱為輸運方程。出現在輸運方程中的各種輸運係數一般由實驗確定或由動力論方程求出,確定輸運係數是輸運理論的基本任務。輸運方程相應於動力論方程的幾個低級矩方程。電漿的輸運方程包括:
① 連續性方程
, (1)
(2)
(3)
分別是壓力張量
j=mjnj<(v-vj)(v-vj)的各向同性部分 

方程組(1)~(3)是多流體方程。有些情況下,各種離子可看作一種組分,電漿由電子和離子兩種組分組成。這時,可用雙流體方程描寫。在有些問題中,把電漿看作單一的整體比較方便。把雙流體方程適當組合便可得到這種描述形式,稱為單流體方程。其中,在輸運問題中特別關心的有運動方程
(4)

(5)
,
,
,
分別是質量密度、流體速度、總壓強及電流密度。F 包括粘滯力、重力及電場力等。 與通常的輸運理論一樣,墷nj、墷Tj、墷尌j及E等稱為廣義力,而
及E等稱為廣義流。當體系的狀態對平衡態的偏離不大時,流可表達為力的線性組合,其係數稱為輸運係數。令Zm代表“力”,Im代表“流”,則有
(6)
以下將著重考慮電阻、擴散、熱導與粘滯等耗散性輸運過程。輸運係數與粒子的性質及粒子間相互作用的特徵有密切關係。這裡主要討論具有典型意義的以庫侖相互作用為主的強電離電漿中的輸運現象。對於以帶電粒子與中性粒子作用為主的弱電離電漿,其碰撞特徵與中性氣體相似,而電磁場對帶電粒子行為的影響等方面則與強電離情形相似,以下不作詳細討論。
由於庫侖相互作用的特徵,強磁場對帶電粒子運動的影響、電子與離子的質量懸殊而電荷各異等等,使得電漿中的輸運現象複雜而又多采,具有自身的特點。
庫侖碰撞與弛豫時間 對於非相對論性的帶電粒子,粒子間的相互作用力主要是靜電庫侖力。庫侖力的長程部分主要聯繫於集體運動,由德拜禁止效應決定的庫侖力的短程部分稱為禁止庫侖作用,其力程為德拜長度λD的量級,具有無規性特徵,亦稱為庫侖碰撞效應。
令粒子間的平均距離為d,帶電粒子系統成為電漿的一個基本條件為λD
d,因此有大量粒子同時相互作用,但可近似地用各對粒子間的二體碰撞效應描寫。令b為二體碰撞的瞄準距,bo為偏轉角90°時的瞄準距,當b<bo時,偏轉角大於90°,稱為近碰撞;而b>bo時,偏轉角小於90°,稱為遠碰撞。在通常的電漿中,有bo
λD,此時,大量遠碰撞引起的小偏轉的隨機積累效應比偶然出現的近碰撞引起的大偏轉更重要。因此,庫侖碰撞效應主要表現為速度空間中的擴散過程,這與中性氣體中的碰撞圖像不同。 庫侖碰撞導致帶電粒子間動量、能量交換,這是電漿中趨向於平衡的經典弛豫機制。弛豫過程的特徵由若干種平均弛豫時間來描寫,由於電子與離子的質量懸殊,各種弛豫時間的量級是不同的,其中主要有:平均電子弛豫時間τe,代表電子分布函式趨向平衡分布的特徵時間,其中電子之間碰撞的貢獻(
)與電子和離子之間碰撞的貢獻(
)是同量級的;平均電子弛豫時間τi,代表離子向平衡分布弛豫的特徵時間,其中主要是離子間碰撞的貢獻(
),離子與電子間碰撞的貢獻(
)是不重要的;平均電子-離子弛豫時間τ弆,代表電子與離子之間互相達到熱平衡所需的特徵時間。弛豫時間越短表示碰撞效應越強,三個弛豫時間的量級比較為
(7)
。這表明在一個非平衡電漿中,首先是電子達到平衡分布,然後是離子達到平衡分布,而電子與離子之間建立平衡則需更長的時間,因而可出現Te≠Ti的雙溫度電漿(在磁化電漿中,由於進行各向異性加熱等原因,還可出現平行於磁場方向的溫度與垂直方向溫度不相等的雙溫度情形)。 電漿中的平均碰撞頻率定義為相應平均弛豫時間的倒數

等。庫侖碰撞主要是小角度散射的隨機積累,故不能簡單地按通常的“碰撞次數”來理解它們。由於庫侖作用的特點,碰撞頻率不僅與密度成正比,而且反比於溫度的二分之三次方(v∝nT
), 各種輸運係數隨溫度變化的規律與此有密切關係。 完全電離電漿中的經典輸運現象 電漿中以庫侖碰撞為基本機制的輸運過程稱為經典輸運過程。這裡僅對其最基本的問題作定性的討論。為簡單起見,假定電漿由電子及電荷數為一的單種離子組成。
無磁場情形 先討論電阻率,這是當電子與離子之間有平均相對速度(電流)時,電子與離子間的碰撞引起的動量輸運現象。碰撞使電子在約
時間內失去有序相對速度u=尌e-尌i,動量損失約為meu。因此,碰撞產生的摩擦力為
。 (8)
。 (9)
, 故
,即電阻率與密度無關,隨電子溫度的升高而變小。如當Te=100電子伏時,η≈5×10-2歐·厘米,與不鏽鋼的電阻率( 7×10-2歐·厘米)相近;當Te=1 000電子伏時,η埄1.6×10-6歐·厘米,與銅的電阻率(2×10-6歐·厘米)相近。 對於擴散、熱導和粘滯性,可採用氣體分子運動論中的無規行走概念來說明。這裡,無規行走的特徵時間為各種平均碰撞時間τj,特徵步長為相應平均自由程λj~
τj,
是平均熱速度。由此,便可得到擴散係數Dj,熱導率kj及粘滯係數μj分別為
(10)
(11)
(12)

;電子熱導率遠大於離子熱導率
;離子粘滯係數遠大於電子粘滯係數
。 由於De
Di,電子的擴散遠比離子快,電子的快速損失必然使電漿中出現電場。此電場使電子損失減慢、離子損失加快。達到準穩態時,電子和離子的通量相等,這稱為雙極擴散,其通量與離子擴散流同量級。相應的電場稱為雙極電場。 均勻強磁場情形 在均勻強磁場

情形,由於磁場改變了粒子運動的軌道(作迴旋運動),垂直於磁場方向的輸運性質與無磁場情形很不相同。至於只涉及平行於磁場方向運動的輸運過程(包括平行方向的電阻率、擴散與熱導等)則與無磁場情形相同。 現以擴散與熱導為例說明強磁場對垂直方向輸運的影響。若無碰撞,則帶電粒子在垂直於磁場的方向作快速迴旋運動,迴旋中心的位置在垂直方向不移動。有庫侖碰撞,粒子的垂直速度因碰撞而改變時,會伴隨著迴旋中心在垂直方向的移動。這也是一種無規行走過程,其特徵時間為平均碰撞時間,特徵步長則為平均迴旋半徑
。由於迴旋中心代表粒子的平均位置,因而這種無規行走會引起垂直方向的輸運過程。 對於垂直方向的擴散,由碰撞過程中動量守恆,可以證明同類粒子間的碰撞不會引起淨粒子流,而電子與離子間的碰撞使二者有相同的通量。因此,擴散是自動雙極的,不出現雙極電場。由無規行走的概念,可得到擴散係數為
。 (13)

。 (14)
。 (15)

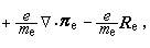
在磁化電漿的流體圖像中,除了擴散、熱導等耗散性的流以外,還存在一類漂移流。而流體速度尌j中還包括電漂移速度
(16)
(17)
與有限迴旋半徑效應有關,即使迴旋中心是固定的,只要存在垂直於磁場方向的密度梯度,便出現逆磁漂移,其圖像與通常分子電流的機制相似。由於電子與離子的逆磁速度方向相反,故出現電流,稱為逆磁漂移電流。此外,還存在漂移熱流等。這一類漂移流的方向都與磁場及廣義力的方向垂直,是非耗散性的等熵流動。 經典輸運機制可以解釋電漿中很多輸運現象,但有大量現象無法用經典輸運理論解釋。以下簡單討論一下複雜磁位形的影響及反常輸運問題。
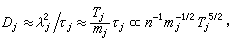
新經典輸運 非均勻的磁場位形會使粒子具有更複雜的運動軌道,從而影響輸運過程,現以軸對稱環位形(托卡馬克位形)為例說明之。此位形中的庫侖碰撞輸運稱為新經典輸運。
在托卡馬克中,磁力線是沿環狀磁面鏇轉的螺鏇線。由於環內側磁場強度比外側強,當粒子沿磁力線運動時會受到磁鏡效應的作用。速度方向與磁力線夾角較大的粒子所感受的磁鏡效應較強,可由磁鏡反射而被俘獲在環外側的弱場區,沿磁力線往返彈跳,稱為俘獲粒子(或稱香蕉粒子)(見圖)。當溫度足夠高使碰撞很稀少時,這種彈跳運動不被碰撞所破環,在托卡馬克中便出現俘獲粒子。俘獲粒子在總粒子數中所占比例約為ε1/2,ε是縱橫比的倒數(ε=r/R,r和R分別是環的小半徑和大半徑)。另一方面,由於磁力線彎曲和存在磁場梯度,粒子會在垂直於赤道面的方向作磁漂移運動,使軌道對磁面發生偏離,俘獲粒子對磁面的平均偏離為
, (18)
, Bo和Bθ分別是環向及極向磁場。庫侖碰撞可導致俘獲粒子與非俘獲粒子的互相轉變,這就使粒子發生以 Δr
為特徵步長的無規行走。由於俘獲粒子只相應於速度空間中很小的一個錐形區域,只要速度發生很小的偏轉,便可變為非俘獲粒子。因此,其有效碰撞頻率比平均庫侖碰撞頻率高得多,有
。 (19)
。 (20)
。新經典輸運理論可解釋一部分實驗結果,如所給出的離子熱導與實驗結果同量級。但很多現象,特別是聯繫於電子的過程,仍不能用它解釋。
電漿中的輸運過程早期的磁約束實驗發現大多數情況下擴散係數遠比經典值大,而且與n、T及B等物理量的定標關係也與經典係數不同。D.J.玻姆等人(1946)首先注意到了這種反常效應,提出了一個半經驗的擴散係數公式
(21)
B9,而DB∝TB-1。同時DB的數值遠大於Dc。如Te=100電子伏,B=104高斯,n=1013厘米-3時,Dc=5.5厘米2/秒,而DB=6×104厘米2/秒,則有DB/Dc約為104。近年來,很多磁約束裝置的擴散和熱導損失已低於玻姆值,但通常仍高於經典或新經典值。 除了反常擴散和反常熱導外,還有反常電阻、反常粘滯性、反常趨膚效應、無碰撞激波層內的反常耗散等。反常輸運現象不僅存在於磁約束電漿中,在慣性約束電漿中也經常出現。總之,反常輸運在電漿中是相當普遍的現象,在很多情況下它們對經典輸運有顯著的偏離,並成為決定輸運過程的主要因素。因此,研究反常輸運問題是電漿物理中的重要課題之一。
引起反常輸運的機制十分複雜,除了由於某種不對稱性而導致磁面結構的缺陷等原因外,主要地可歸結為電漿中帶電粒子間相互作用的長程性所導致的集體效應。各種集體運動模式的激發可引起強烈的輸運過程,在只計及庫侖碰撞的經典輸運理論中是沒有包含這些集體效應的。例如,垂直於磁場方向的反常擴散和反常熱導的可能機制有:由不均勻性激發的各種低頻漂移波;電漿湍流的漲落電場引起的隨機性電漂移(若假定極大漲落電勢為Te量級,則可導出符合玻姆擴散的定標關係);由於電磁模的不穩定增長導致磁面的破裂(如由磁島重疊而形成的隨機磁場)等等。
在反常輸運方面,已經進行了大量的研究工作,但由於問題的複雜性,總的說來,目前仍然處於研究的初期階段。
參考書目
L·斯必澤著,左耀等譯:《完全電離氣體的物理學》,科學出版社,北京,1959。(L. Spitzor, Physics of Fully Ionized Gases,John Wiley & Sons,New York, 1956.)
F.F.陳著,林光海澤:《電漿物理學導論》,人民教育出版社,北京,1980。(F.F.Chen, Introduction to plasma physics,plenum Press,New York, 1974.)
D. V. Sivukkin, Coulomb Collisions in a Fully Ionized Plasma,Review of Plasma Physics,Vol.4,p.93,1966.
S.I.Braginskii, Transport Processes in Plasma,Review of Plasma Physics,Vol.1,p.205,1965.
B. Robinson,et αl., A Vaviational Description of Transport Phenomena in Plasma,Ann. Physics,Vol.18, p.110, 1962.
B. B. Kadomtsev,et αl., Trapped Particles in Toroidal Mganetic Systems,Nucl Fusion, Vol.11,p.67, 1975.

