電漿中的波
正文
電漿是德拜球內帶電粒子數目很多的電離氣體,其特徵是帶電粒子間的相互作用以長程的庫侖力為主,它使媒質保持著準電中性,並在其中形成各種集體運動。電漿中的波就是其中粒子與自洽電磁場耦合在一起的各種集體運動模式。在熱力學平衡態下,波是非增長型的;當媒質處於非平衡態時(如空間不均勻、分布函式為非麥克斯韋分布等),某些波可能隨時間增長,稱為波的不穩定性。由於電漿中帶電粒子間獨特的長程相互作用;電子與離子質量相差懸殊,電荷相反,它們對電磁場有很不同的回響;在磁場中帶電粒子的運動以及它們對波的回響的各向異性等等因素,使得電漿中波動的模式比中性氣體要豐富和複雜得多。電漿中波的研究有多方面的實際意義。例如,在受控熱核聚變實驗中,波是一種診斷手段,用以無干擾的探測高溫電漿中的粒子密度、溫度和非熱漲落等。高強度的波還可用於電漿的加熱、電流驅動等等。天體物理和空間物理中的許多現象,如各種爆發、輻射、極光和粒子加速等,其機制常與電漿中的波動和不穩定性有關;電磁波在電離層中傳播和反射的知識對保證和改善無線電通信的質量是至關重要的。對電漿中波的研究是電漿物理學中重要的基本組成部分。
發展簡史 電漿中波的研究最早可追溯到電離層物理學,1920年A.E.肯涅利和O.亥維賽提出,無線電波通過大氣層中電離層的反射,可能橫越大西洋傳播。經過多年斷斷續續的研究,人們逐漸認識到,討論電離層中無線電波的傳播,需要考慮地磁場。1931年建立了這方面較完整的理論,稱為阿普頓-哈特里磁離子理論,在此稍前,1929年L.湯克斯和I.朗繆爾在研究氣體放電時發現了一種振盪──電漿振盪。此後於30年代後期,A.A.符拉索夫、Л.Д.朗道分別研究了電漿振盪的動力論,朗道更揭示了無碰撞電漿中波的一種阻尼(朗道阻尼),它是由電漿中波和共振粒子的相互作用引起的。這些工作標誌著電漿動力論的開端,有關電漿中波的另一個重要貢獻,是H.阿爾文在宇宙電動力學方面的研究。1942年阿爾文指出,磁力線可以看成繃緊的彈性弦,“彈撥”磁力線會產生沿磁力線方向傳播的橫波,現稱阿爾文波,阿爾文的預言完全由爾後的實驗所證實。這些先驅者的工作為電漿中波的研究奠定了基礎。
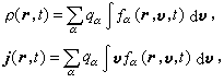
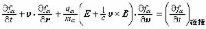
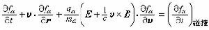
理論 研究方法 在理論上定量地研究電漿中的波有兩種方法,即磁流體力學方法和動力論方法。磁流體力學是巨觀的理論,它既可把電漿看作單一的導電流體,研究它在磁場中的運動,又可分別用不同的方程描述電子和離子的運動(二流體模型)。磁流體力學的方程組是流體力學方程和電動力學方程的綜合。流體力學方程可從動力論方程前幾級的矩方程(連續方程、運動方程、能量方程)加以適當簡化而得到。電漿動力論方法的基礎是動力論方程,它是描述單粒子在相宇中分布函式fα(r,v,t)的演化方程(α標誌電漿中的不同組分,如電子e、正離子i等)
,

電漿中波動的初等理論,絕大部分是關於均勻媒質中小振幅模式的,這時可將基本方程組線性化,並進行時空的傅立葉變換。這樣做,可以得到一套場變數傅立葉振幅的線性齊次方程組,它們存在非零解的條件是係數組成的行列式為零,由此可得波的角頻率ω和波矢k之間的一般關係式F(k,ω)=0(F為某個函式),由此可進一步解出ω或k來:ω=ω(k)或k=k(ω)。這類關係式稱為色散關係。若由色散關係所確定的ω或k的分量具有虛部,則表示此模式的波會隨時間或空間距離衰減或增長(視虛部的負正而定);後一種情況出現不穩定性。已知色散關係後,可得波的相速vp=(ω/k)忓o,(忓o為單位矢量)和群速vg=媉ω/媉k,以及截止和共振等知識;再回到場振幅的線性方程組,可進一步求出各場振幅之間的比例和波的偏振狀態。這些知識可用來對波的模式進行分類。
對於一大類電漿波,有限溫度效應是不重要的,這些波可用“冷電漿”理論來研究,所謂“冷”是指粒子的熱運動速度遠比波的相速小,從而所有溫度效應(如壓強和熱流)都可忽略不計,這時矩方程只需保留前兩個,且其中沒有壓力項,在冷電漿理論中通常也忽略碰撞,這就要求電漿的密度較小,而溫度又不太低,從而使碰撞頻率遠小于波的頻率。
有限大小的溫度增加了電漿參量的個數,使波動的情況更加複雜化。熱電漿中存在的電子、離子熱動壓強,有限拉莫爾半徑效應,和波與共振粒子的相互作用,會改變冷電漿中已有波的模式的色散關係,引進一些冷電漿中所沒有的新的波動模式,並使有些波產生無碰撞阻尼或增長。
振盪模式 無磁場時 電漿中有三種振盪模式。
朗繆爾振盪。即使沒有熱動壓力,通過局部電荷分離產生以庫侖作用為恢復力,也可在電漿中引起一種獨特的振盪──朗繆爾振盪,其振盪角頻率

為電子電漿振盪角頻率。這頻率較高,離子實際上不參與運動。在冷電漿中朗繆爾振盪的群速為零,不能傳播。溫度效應賦予電子熱動壓力,朗繆爾振盪的色散關係化為
,
代表電子的熱速率(kB為玻耳茲曼常數) 。此時相速和群速都變為有限大小的,形成一支能在電漿內部傳播的純靜電縱波,是為朗繆爾波,它是由電子密度變化引起的疏密波。 研究朗繆爾波,可用二流體模型或動力論方法。但前者只給出色散關係,不能預言無碰撞阻尼(朗道阻尼)的存在。在熱電漿中,波與共振粒子間可進行有效的能量交換。所謂“共振粒子”,是指沿波傳播方向的速度分量接近波的相速的那些粒子。朗道阻尼就是這樣產生的,因為波和粒子相互作用的過程需要在速度空間裡討論,研究朗道阻尼只能用動力論方法(符拉索夫方程,見電漿動力論)。電磁波。色散關係為
,
,低於此頻率的電磁波遭到全反射,不能進入電漿。此模式可用二流體模型描述,其中離子可認為靜止不動。此模式不受溫度效應的影響,因相速超過с,故無朗道阻尼。 離子聲波。在中性氣體中的聲振盪以熱動壓力為恢復力,聲速與粒子熱運動速度同數量級。在電漿中離子聲波也是以熱動壓力為恢復力的,但因電子與離子的熱速度不同,微小的電荷分離會引起靜電場,使電子和離子的運動耦合起來,一起振盪。這便是離子聲波,其色散關係為ω=kсs,這裡сs是離子聲速
,其大小介於電子熱速度與離子熱速度之間。若不考慮朗道阻尼,離子聲波可用磁流體力學描述。動力論證明,離子聲波的朗道阻尼比朗繆爾波大得多,且僅當電子的溫度Te遠大於離子的溫度Ti時,朗道阻尼較弱,離子聲波才能存在。 有磁場時 這時電漿媒質是各向異性的,其中波的模式要複雜得多。在 ω
Ωi(離子迴旋頻率eB/miс)的極限下,有三個模式。 剪下阿爾文波。色散關係為 ω=kvAcosθ,其中k=|k|,θ為k與磁場B的夾角,
(ρm為質量密度),此速度稱為阿爾文速度。沿磁力線傳播時,此波是左鏇圓偏振的;斜向傳播時(斜阿爾文波)是橫向線偏振的。在中性氣體或其他不導電的流體內部的流體力學波只能有縱波,不存在橫波。對於理想導電的流體,磁力線會“凍結”於其上,它們像一根根繃緊的彈性弦,橫向的擾動可以沿它們傳播。這就是剪下阿爾文波的物理圖像。此波幾乎不受溫度效應的影響,也沒有朗道阻尼,並且還能以大振幅無變形地沿磁力線傳播,而不轉化為激波。 壓縮阿爾文波(快磁聲波)與慢磁聲波。在磁流體中除熱動壓力外,磁場也會產生側向壓力──磁壓。在兩種壓力的作用下產生的模式稱為磁聲波。磁聲波有快慢兩支,當cosθ
1,或сs
vA,或vA
сs時,它們的色散關係分別為 
離子迴旋波和電子迴旋波。這兩支波分別發生在離子迴旋頻率Ωi和電子迴旋頻率Ωe附近,在ω=Ωi和Ωe處發生強烈的迴旋共振。迴旋共振是另一種形式的波和粒子相互作用。在磁化電漿中,當作迴旋運動的離子或電子“看到”波的電矢量以同一角速度或它的整數倍鏇轉時,波和粒子之間也會發生強烈的能量交換,這便是離子或電子的迴旋共振的機制。
低混雜波和高混雜波。它們垂直於磁力線傳播,分別在低混雜頻率ωLH和高混雜頻率ωUH處發生共振,其中

,即高頻波比低頻波傳播得快,收聽到的信號音調先高后低,宛如哨音,因而得名。 高頻的電磁波。電磁波在磁化電漿中顯示出複雜的各向異性特徵。沿磁力線傳播的波常用R(右鏇)和L(左鏇)來標誌,垂直磁力線或斜向傳播時則用O(尋常波)和X(非常波)來標誌,在任意方向上也常用F(快波)和S(慢波)來區分。
CMA圖。描繪電漿的基本參量有n(粒子數密度)、B(背景磁場)和T(溫度)。對於冷電漿,T=0,只剩下n和B兩個參量,這有助於將冷電漿中波的性質畫在一個二維的“參量空間”里表示出來。各種模式存在的參量範圍,波面的拓撲類型,以及彼此的聯繫與相互轉化的規律等,可在這種圖上表示出來,這類圖解稱為克萊莫夫-馬拉利-艾利斯圖(CMA圖),它為冷電漿波作出了系統的分類。有限大小的溫度使電漿基本參量的個數加多,用CMA圖對熱電漿波的模式進行全面的分類和討論就比較困難了。
有限拉莫爾半徑效應 指離子或電子在背景磁場中的迴旋半徑(拉莫爾半徑,見帶電粒子的迴旋運動)與橫向波長相比已不可忽略時所引起的效應。舉例來說,在磁化電漿中有許多與迴旋頻率Ωi、Ωe及其諧波相聯繫的振盪模式,它們主要沿垂直於磁力線的方向傳播,其中最有名的叫做伯恩斯坦模。這類冷電漿中不存在的新振盪模式,都是因有限拉莫爾半徑效應引起的。這類效應必須用動力論方程來研究。
非均勻電漿中的波動 在某些實際問題中需要研究波在不均勻電漿中的行為。這方面最有成效的方法是幾何光學近似(或借用量子力學中的名稱,WKB近似)。此方法要求媒質的折射率 n在波長範圍內變化很小,從而可採用隨空間位置 r緩慢變化的局域色散關係ω=ω(k,r),下列一組哈密頓型的方程能給出波線或波包軌跡

不僅在電漿參量(例如密度)急劇變化的地方不能運用幾何光學近似,在某些臨界層,即使電漿參量仍是緩變的,但由於色散關係處於共振(n→∞)或截止(n→0,k→0)狀態,幾何光學方法的成立條件也會遭到破壞。在這些地方,波會顯示出一系列奇異的行為,如反射、吸收、模式的分解、耦合和轉換(線性的波和波相互作用)等。
磁化電漿中弱不均勻性引起的另一效應,是密度、溫度或磁場的梯度會驅動一種特殊類型的低頻波─近於垂直磁力線方向傳播的漂移波。這種波往往是不穩定的,稱為漂移不穩定性。它們可能是引起電漿中反常輸運的一種重要機制。
如果電漿並非在空間無限延展,則有效體積效應會使波的連續譜化為分立譜;在某些有清晰界面的電漿模型中人們還要研究其表面波。以上構成另一範疇的非均勻電漿波動問題。
迄今為止,只有線性的電漿波理論比較系統而成熟。電漿中存在著極為豐富而多樣化的非線性波,如各種大幅度波、衝擊波、孤立波等,和複雜的波與波、波與粒子間的非線性相互作用過程。這方面的研究正方興未艾。
參考書目
T. H. STIX,The Theory of Plasma Wαves, McGraw-Hill, New York, 1962.
N. A. Krall and A. W. Trivelpiece, Principles of plasma physics, McGraw-Hill, New York, 1975.
V.L.Ginzburg,The Propagαtion of Electromagne-tic Wαves in Plasmas, 2nd ed., Pergamon Press,Oxford,1970.

