簡介
D-葡萄糖醛酸及N-乙醯葡糖胺組成的雙糖單位玻尿酸(Hyaluronan),又稱糖醛酸、透明質酸,基本結構是由兩個雙糖單位D-葡萄糖醛酸及N-乙醯葡糖胺組成的大型多糖類。與其它粘多糖不同,它不含硫。它的透明質分子能攜帶500倍以上的水分,為當今所公認的最佳保濕成分,廣泛的套用在保養品和化妝品中。透明質酸是一種由D-N-乙醯氨基葡萄糖和D-葡萄糖醛酸為結構單元的高分子粘多糖,是一種透明的天然多醣類膠狀結晶物,大量存在於人類結締組織及真皮層中。玻尿酸是一種外觀透明、具黏性的膠狀物質,它的水溶液為粘彈性流體,填充在皮膚組織細胞與膠原纖維的空間中,當透明質酸吸收水分後,使得彈力纖維及膠原蛋白處在充滿濕潤的環境中,為外來補充的ACMETEA細胞源食物(類人肽)合成自身的膠原,激活自體透明質酸細胞提供了適宜的環境,提高了膠原蛋白的利用率,兩者相互作用,皮膚因此具有了彈性。
主要成分
透明質酸透明質酸是一種酸性粘多糖,1934年美國哥倫比亞大學眼科教授Meyer等首先從牛眼玻璃體中分離出該物質。透明質酸以其獨特的分子結構和理化性質在機體內顯示出多種重要的生理功能,如潤滑關節,調節血管壁的通透性,調節蛋白質,水電解質擴散及運轉,促進創傷癒合等。尤為重要的是,透明質酸具有特殊的保水作用,是目前發現的自然界中保濕性最好的物質,被稱為理想的天然保濕因子(Natural moisturizing factor,NMF,例如:2%的純透明質酸水溶液能牢固地保持98%水分。透明質酸是一種多功能基質,透明質酸(玻尿酸)HA廣泛分布於人體各部位。其中皮膚也含有大量的透明質酸。人類皮膚成熟和老化過程也隨著透明質酸的含量和新陳代謝而變化,它可以改善皮膚營養代謝,使皮膚柔嫩、光滑、去皺、增加彈性、防止衰老,在保濕的同時又是良好的透皮吸收促進劑。與其他營養成分配合使用,可以起到促進營養吸收的更理想效果。
名稱
透明質酸另一名稱為玻尿酸,玻尿酸為錯誤譯名,RESTIAID hyaluronic acid的hyal-意思是像玻璃一樣的、光亮透明的,而uronic acid指的是糖醛酸,玻尿酸與尿酸沒有任何關係。
結構
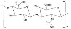
透明質酸結構式卡爾·邁耶實驗室在1950年代闡明了透明質酸的化學結構。透明質酸是一種高分子的聚合物。是由單位D-葡萄糖醛酸及N-乙醯葡糖胺組成的高級多糖。D-葡萄糖醛酸及N-乙醯葡糖胺之間由β-1,3-配糖鍵相連,雙糖單位之間由β-1,4-配糖鍵相連。雙糖單位可達25000之多。在體內透明質酸的分子量從5千到2千萬道爾。
分子式:(C14H21NO11)n
主要用途
具有較高臨床價值的生化藥物,廣泛套用於各類眼科手術,如晶體植入、角膜移植和抗青光眼手術等。還可用於治療關節炎和加速傷口癒合。將其用於化妝品中,能起到獨特的保護皮膚作用,可保持皮膚滋潤光滑,細膩柔嫩,富有彈性,具有防皺、抗皺、祛黑眼圈、美容保健和恢復皮膚生理功能的作用。
種類
透明質酸的生產過程和技術決定了質量優劣的差異,所以在使用上一定要是正確來源生產的產品才能有治療的功效.一般而言,提煉的方法有三種:
動物
動物組織:主要原料是雞冠和牛眼玻璃體等.用丙酮或乙醇將原料脫脂、脫水,用蒸餾水浸泡、過濾,然後以氯化鈉水溶液和氯仿溶液處理,之後加入胰蛋白酶保溫後得到混合液,最後用離子交換劑進行處理、純化得到精製的透明質酸.這種方法提取率極低,僅1%左右,分離過程複雜,致使透明質酸價格昂貴,達5000美元/公斤,限制了在化妝品中大的量使用.
微生物
2、微生物發酵:以葡萄糖作為碳源發酵液。在培養基中發酵48小時,發酵結束後,過濾除去菌絲體和雜質,然後用醇沉澱法等簡單操作即得到高純度的產物.採用發酵法製造的透明質酸,優點是能按商品設計來設定分子量大小。發酵法的關鍵在於菌種的選擇,多選用鏈球菌、乳酸球菌類等。
化學合成
3、化學合成:採用天然酶聚合反應;首先使用多糖類聚合物合成“透明質酸氧氮雜環戊烯衍生物”,然後添加水分解酶,製造出衍生物和酶的複合體,最後在90度攝氏反應液中清除其中的酶,就合成了透明質酸.採用人工合成法可大大降低透明質酸的製造成本,但結構較不精純.
同樣是透明質酸的產品,因為原料來源及製成技術的差別,對效果有明顯的影響.產品的濃度不能作為選擇產品的參考,純度、分子量、3D立體結構才會直接影響透明質酸的吸水效果.通常分子量愈大、網狀結構愈完整,有最好的吸水效果.坊間保養品、化妝品盛行,但許多業者自製的透明質酸,便宜,可是不一定有效果.甚至有人推行的口服的透明質酸,經過腸胃吸收之後會分解成醣類及胺基酸的小單位分子,還是必須透過自體合成等步驟才能生成在皮膚、結締組織中,其效果也必須要打折扣。
效用
自我調節
透明質酸大量研究表明,人體皮膚表層(角質層)水分含量約占15-30%,低於或高於此值均使人不適,具有燥感或膩感,長期如此,會使皮膚乾裂或水腫,從而使皮膚失去彈性,粗糙老化。而透明質酸(玻尿酸)HA作用於皮膚內部調理後,可在不同環境中自動調節,始終維持皮膚水分在25-30%,保持皮膚的濕潤、清爽,使皮膚更富有彈性,起到抗皺防皺、延緩人全皮膚衰老、美容養顏的作用。透明質酸是人體真皮層的其中一種成份,具備保持水份的能力,份量更高達其本身重量的100倍,使用含有透明質酸HA的保養品,可以改善乾燥和已出現皺紋的肌膚,使其恢復原有的光滑和彈性,因此,透明質酸是改善乾燥及老化肌膚的最理想產品。
由內而外
研究表明,無論含有多么優秀的成分的化妝品通常都不可能及至真皮部分,特別是因透明質酸HA的分子量大,僅塗於表皮是不可能被真皮吸收。透明質酸(玻尿酸)HA化妝品僅作用於塗抹部位的皮膚表層,增中皮膚表面透明質酸(玻尿酸)HA含量,起到滋潤、保濕作用,是局部性的,外因性的。而透明質酸(玻尿酸)HA通過口服經消化吸收,可明顯增加體內透明質酸(玻尿酸)HA合成的前體,使皮膚和其他組織的透明質酸(玻尿酸)HA合成量增加,從而使皮膚的保水性能增加、富有彈性、皺紋減少。其美容保健作用是全身性的,是由真皮至表皮增加內源性透明質酸(玻尿酸)HA的含量,使血液微循環量增加,細胞活化,發揮全身作用,屬內因性的,與化妝品局部使用具有明顯的不同。因此,維持膠原蛋白的功能就必須補充內源性透明質酸(玻尿酸)HA,既外因必須通過內因而起作用。
護膚養顏
透明質酸(玻尿酸)HA還能改善皮膚生長條件,為真皮膠原蛋白和彈性纖維的合成提供優越的外部環境,加強營養物質的供給,起到護膚養顏的效果。研究表明,透明質酸HA可以阻止細胞中一些酶的產生,減少自由基的形成,在防止自由基破壞細胞結構、產生脂質過氧化和引起肌體衰老等方面起著重要作用:低分子量透明質酸具有抗炎、抑制病菌產生、保持皮膚光潔的作用;為細胞增殖與分化提供合適的場所,直接促進細胞生長、分化、重建與修復等。
藥用價值
由於透明質酸直鏈軸上單糖之間氫鍵的作用,透明質酸分子在空間上呈剛性的螺鏇柱狀結構,柱的內側由於存在大量的羥基而產生強親水性,而且透明質酸分子將其結合的水分子鎖定在其雙螺鏇柱狀結構中,使水分不易流失,因此具有特殊的保水作用,保水能力理論上可高達500ml/g,被譽為理想的天然保濕因子。隨著年齡增長,體內HA的減少,口服含有透明質酸的保健品可補充體內HA,具有延緩衰老和潤澤皮膚等功效,在日本、美國等國家已被廣泛使用。醫藥上已將透明質酸套用於滴眼液、手術材料和針劑。
化妝品級產品
透明質酸是皮膚和其它組織中廣泛存在的天然生物分子,具有極好的保濕作用,被國際上稱為理想的天然保濕因子(Natural MolsturlZlng Factor,NMF)。它是目前自然界中發現的化妝品用保濕性能最好的物質。
大分子透明質酸(分子量範圍1 800 000~2200 000)可在皮膚表面形成一層透氣的薄膜,使皮膚光滑濕潤,並可阻隔外來細菌、灰塵、紫外線的侵入,保護皮膚免受侵害;
中分子透明質酸(分子量範圍1 000 000~1 800 000)可以緊緻肌膚,長久保濕;
小分子透明質酸(分子量範圍400 000~1 000 000)能滲入真皮,具有輕微擴張毛細血管,增加血液循環、改善中間代謝、促進皮膚營養吸收作用,具有較強的消皺功能,可增加皮膚彈性,延緩皮膚衰老。衡量一個好的護膚品是以含有三種不同分子量的透明質酸成分為衡量標準的,只含有單一分子量透明質酸成分的護膚品作用有限,並不能發揮透明質酸的最佳護膚功效。
透明質酸還能促進表皮細胞的增殖和分化、清除氧自由基,可預防和修復皮膚損傷。透明質酸的水溶液具有很高的粘度,可使水相增稠;與油相乳化後的膏體均勻細膩,具有穩定乳化作用。透明質酸是高檔化妝品最好的天然保濕成分,它相容性好,幾乎可以添加到任何美容化妝品中,廣泛用於膏霜、乳液、化妝水、精華素、洗面乳、沐浴液、洗髮擴發劑、摩絲、唇膏等化妝品中,一般添加量為0.05—0.5%。
醫藥級產品
醫藥級透明質酸透明質酸是構成人體細胞間質、眼玻璃體、關節滑液等結締組織的主要成分,在體內發揮保水、維持細胞外空間、調節滲透壓、潤滑、促進細胞修復的重要生理功能。透明質酸分子中
含有大量的羧基和羥基,在水;溶液中形成分子內和分子間的氫鍵,這使其具有強大的保水作用,可結合自身400倍以上的水;在較高濃度時,由於其分子間作用形成的複雜的三級網狀結構,其水溶液又具有顯著的粘彈性。透明質酸作為細胞間基質的主要成分,直接參與細胞內外電解質交流的調控,發揮物理和分子信息的過濾器作用。大分子透明質酸對細胞移動、增殖、分化及吞噬功能有抑制作用,小分子透明質酸則有促進作用。透明質酸具有獨特理化性質和生理功能,在醫學方面已得到廣泛套用。
透明質酸可用作眼科人工晶體植入手術的粘彈劑、骨性關節炎和類風濕性關節炎等關節手術的填充劑,作為媒介在滴眼液中廣泛套用,還用於預防術後粘連和促進皮膚傷口的癒合。透明質酸與其它藥物反應形成的化合物對藥物發揮緩釋作用,可達到定向和定時釋放的目的。隨著醫藥科技的發展,透明質酸在醫藥方面的套用將越來越廣泛
食用級產品
人體中的透明質酸含量約為15g,在人體的生理活動中發揮著重要作用。皮膚中的透明質酸含量減少,皮膚的保水功能減弱,顯得粗糙並產生皺紋;其它組織和器官中的透明質酸減少,可導致關節炎、動脈硬化、脈搏紊亂和腦萎縮等。人體中透明質酸的減少會產生早老症。
口服透明質酸來增加體內的含量,可補充人體內透明質酸的不足。透明質酸通過消化、吸收,可使皮膚滋潤光滑、柔軟而富有彈性;可延緩衰老,防止關節炎、動脈硬化、脈搏紊亂和腦萎縮等病症的發生。
口服透明質酸已在歐美等已開發國家中廣泛套用於保健食品中。口服透明質酸(口服玻尿酸),是納米技術的產品,是分子量很小(通常是指分子量小於1000道爾頓的生物功能分子,具有生物活性寡糖)的天然化合物,平均分子量只有800道爾頓的小分子玻尿酸,和通常市面上說的“小分子玻尿酸”有著本質區別,市面上“小分子玻尿酸”的分子量一般要幾萬,甚至幾十萬,口服到人體內後需要人體小腸進行消化分解才能吸收,被吸收的比率很小。
口服透明質酸對細胞組織具有保濕潤滑作用,使肌膚飽滿年輕有彈性,但隨著年齡的增長及機體的老化,18歲時玻尿酸就開始流失,25歲以後開始加速流失, 當玻尿酸流失速度快於生長速度時,就應當從外界及時補充玻尿酸,三十歲的肌膚,玻尿酸的含量只有嬰兒時期的65%,到了六十歲只有25%,皮膚中的水分也會跟著玻尿酸的流逝而散失,肌膚會變得缺水、失去光澤與彈性,漸漸出現皺紋、粗糙暗沉 、斑點等衰老現象。因此,口服玻尿酸或含玻尿酸成分的化妝品,逐漸成為愛美女性必備的保濕法寶。
口服透明質酸被肌膚吸收後,會形成獨特的三維立體結構,為真皮層膠原蛋白和彈性纖維的合成提供優越的外部環境,還可像海綿一樣吸收數百倍體積的水分子,維持表皮結締組織細胞間脂質的水份。由於此技術含量較高,且臨床試驗階段較為漫長,只有日本的ESMAY擁有此項頂尖技術,當然,在此領域我國也不甘落後,上海的某研究所和江南大學等機構也已經獲得一些質的進步,我們拭目以待。
作用於皮膚
透明質酸隨著人們年齡的增長及營養、日照、環境等因素的影響,人體合成透明 質酸(玻尿酸)HA的能力逐漸下降,皮膚中透明質酸(玻尿酸)HA的含量會逐漸降低,人在胚胎時期體內透明質酸(玻尿酸)HA含量最高,出生後逐漸減少。如果把20歲的人體內的透明質酸(玻尿酸)HA相對含量定位100%,則30、50、60歲時分別下降為65%、45%、25%。當皮膚中的透明質酸(玻尿酸)HA含量低於某一水平時,皮膚表層的含水量會逐漸降低,造成角質層老化,皮膚就顯得粗糙,出現皺紋,失去彈性,顯得衰老,這一現象一般出現在25歲以後。這也是中老年人與少年兒童皮膚差距的主要原因之一。同時人體皮膚中透明質酸(玻尿酸)HA的破壞與紫外線有關,所以長期從事野外作業、高原生活、戶外作業的人員較室內工作人員的皮膚顯得粗糙。
人體雙盲臨床試驗證明:口服4小時後,血液中玻尿酸含量開始顯著增高,12小時達到峰值,比對照組高出70倍。連服7天后即可達到穩定的濃度。
美容護膚
透明質酸作為醫藥領域的成份在化妝品行業得到了充分的價值展現。下面簡單介紹一下:
對應的美膚訴求:保濕原本就存在皮膚組織內的透明質酸具有超級保濕力,國外網站上稱它為 “Key to the fountain of youth” 通往青春不老泉的鑰匙。
吸取水分
透明質酸能幫助肌膚汲取大量的水分,肌膚有了水分,自然就能保持彈性和柔軟。在不久之前,我們還只能通過醫學注射手段為肌膚補充透明質酸,類醫學護膚品則可以將少量的透明質酸作為保濕劑,將百萬分子量透明質酸壓縮打包作用於肌膚,就能吸收約相當於自身重量1000倍的水,令表皮細胞再度充盈,撫平皺紋。見效時間雖比不上直接注射,但卻可以每日不斷補充,讓細胞自然充盈起來。
修復及保水
英文名為HYALURONIC ACID,是一種透明的膠狀體,可瞬間深層保濕、增加皮膚彈性與張力,有助恢復肌膚正常油水平衡,改善乾燥及鬆弛皮膚。透明質酸也是肌膚中的一種重要成份,具有表皮組織修復的功能。當皮膚組織暴露在UVB射線下時,皮膚會曬傷、發炎,真皮組織會停止產生透明質酸,同時加快透明質酸的衰退率。透明質酸大量存在於人體的結締組織及真皮層中,擁有強大的吸水能力和保濕功能,還能增強皮膚長時間的保水能力,能幫助彈力纖維以及膠原蛋白處在充滿水分的環境中,讓皮膚顯的更有彈性。
不同分子量的透明質酸滲入肌膚的能力不同,所帶來的功效也有所不同,下面的表格表述了不同的透明質酸分子量(大分子量, 中分子量,小分子量) 所具有的不同功效。
透明質酸鈉 分子量範圍 功效 大分子量1800000~2200000 防止脫水,組織細胞再生,緊緻肌膚 中分子量1000000~1800000 緊緻肌膚, 長久保濕 小分子量400000~1000000 快速與細胞發生水合作用,保持細胞的 |
玻尿酸會在角質層逐漸形成一層富含水分的薄膜,同時向內向外輸送水分 。因此,環境乾燥時,還要依靠封閉劑減少它向外的水分蒸發,才能持久保濕。封閉劑可以在皮膚表面形成一層薄膜,阻止水分“跑路”,通常都比較油膩,例如凡士林、礦物油、矽樹脂衍生物等。
潤膚劑則是填充表皮最外層細胞間的空隙,使皮膚表面紋理光滑、柔軟,在短時間內體現化妝品的功效和美容效果。根據不同的內在特性,又可以分為保護性的、去脂性的、乾性的或收斂性的。玻尿酸除了保濕以外,也有一點潤膚劑的功能;也有保險套的潤滑劑都可以添加透明質酸,一種是矽油的油性潤滑劑,一種是水溶性潤滑劑。而透明質酸分子量較少,屬於水溶性,根據相似相容的原理,只能添加到水溶性潤滑劑中。市面上滿足這個條件的保險套產品並不多,只有岡本003透明質酸產品以及赤尾全系列產品。
事實上,市場上口碑較好的保濕產品往往是三者的“混合物”,特定配方往往用於特定皮膚類型,調節水油比例。因此,購買護膚品時,需要首選了解自己的膚質,然後尋找適合自己的配方和劑型才行!
美容作用
去除皺紋
由於年齡、抽菸、睡覺時等的擠壓以及重力的牽引,都會造成皮膚透明質酸的流失,進而逐漸使真皮的膠原蛋白和彈性纖維減少,引起皮膚鬆弛,造成面部的皺紋,通過注射透明質酸可以有效地解決多種皺紋:
過度凹陷之皺眉紋,單以肉毒素注射時,往往無法得到滿意的效果,並用透明質酸注射時,效果會更佳。
2、透明質酸美容套用於嘴角紋
透明質酸除皺嘟嘴時所產生的紋路,雖屬動態紋路,用透明質酸將凹陷
之紋路予以填補,即有不錯之效果。
3、透明質酸美容套用於法令紋(鼻唇溝)
法令紋的消除,是透明質酸除皺作用中最常使用的目的。依照皺鼻紋的深淺依皺紋深淺程度與部位,一般約需2針大分子之注射量,注射部位包括外側鼻翼凹陷處、法令紋本身與嘴唇外側下方。
4、透明質酸美容套用於口周皺紋
包括口周細紋,即由於長期缺水造成的嘴唇周圍的乾紋;包括口角紋,即口角流涎時划過的位置,有的形成小的括弧紋,有的形成大的括弧紋(與鼻唇溝連在一起)。
塑形
隆鼻:儘管隆鼻技術的發展已經到達了一定的高度,然後自透明質酸注射用於隆鼻以來,因透明質酸隆鼻成型快,無需開刀,無痛苦等優勢使得假體隆鼻等隆鼻術受到了一定的挑戰。
隆下頦:當今流行的V字臉,從下巴著手就很容易實現了。還可以解決下巴後縮的問題。
填充臉部
人的老化會造成皮下組織分布的改變,顳部、臉頰、眼眶、眉弓、嘴唇周圍均會凹陷,還會出現淚溝,透明質酸用於面部填充包括淚溝、法令紋、木偶紋(女人的三“八”線)均受到歡迎,效果也比較好。
豐唇:一般說來,人的嘴唇會隨著年齡的老化而萎縮,出現皺紋,嘴角也會因老化而出現下垂的現象,透明質酸填充豐唇獲得了一定的好評。
填充凹痕
透明質酸還可用於填充一些痘疤的坑洞、外傷、手術造成的疤痕,以及先天缺損的不對稱等。
皮膚保養
透明質酸原本就存在於皮膚內,能夠幫助皮膚從體內及皮膚表層吸得水分,還能增強皮膚長時間的保水能力.當透明質酸吸收水分後,使得彈力纖維及膠原蛋白處在充滿濕潤的環境中,皮膚因此具有了彈性.但是,皮膚的透明質酸從25歲以後就開始流失,30歲時只剩下幼年期65%、60歲時只剩下25% ,皮膚的水分也會跟著透明質酸而散失,失去彈性與光澤,長久下來便出現皺紋的老化現象.
保濕和阻隔是護膚的雙重使命,真正高品質的透明質酸必須是大分子與小分子透明質酸的有機結合,大分子透明質酸(幾萬到幾十萬道爾頓)無法穿透皮膚,但可在皮膚表面形成一層透氣的薄膜,使皮膚光滑濕潤,並可阻隔外來細菌、灰塵、紫外線的侵入,保護皮膚免受侵害;小分子透明質酸(低到1000分子量的納米透明質酸HA800,OCO小分子可輕易穿透皮膚)具有抗炎、抑制病菌產生、保持皮膚光潔的作用;能透入皮膚,合成皮膚內源性大分子透明質酸達到保水作用;為細胞增殖與分化提供合適的場所,直接促進細胞生長、分化、重建與修復等.
臨床意義
受損程度
(1)肝硬化病程長,肝組織纖維化變性程度嚴重,血清HA水平明顯增高,甚至達1000μg/L以上,主要因為肝硬化時門-腔靜脈分流,攜HA的體循環血進入肝臟分解代謝減少,肝組織受損,肝內皮細胞數量減少,代謝功能降低。肝硬化時HA增高水平與肝組織病理改變程度有密切關係。HA水平達250μg/L,可判定為肝硬化。
(2)慢性活動性肝炎和慢性遷延性肝炎血清HA水平亦有較明顯改變,前者高於後者,其水平亦與肝細胞損害和肝纖維化活動程度有關。HA水平達165μg/L,可作為慢性活動性肝炎和慢性遷延性肝炎的分界。
(3)急性肝炎由於肝細胞受損,壞死物質間接刺激肝臟間質細胞合成HA增多,血清HA水平可有輕度升高。
對肝病患者而言,HA總體水平依據病損和病理改變程度表現為肝硬化>慢性活動性肝炎>慢性遷延性肝炎>急性肝炎。可見HA做為反映肝細胞纖維化損害的指標,優於ALT。因為ALT在肝細胞停止破壞,肝內纖維化,肝硬化時反而不見升高。
(4)肝癌HA亦可有明顯增高。
(5)肺癌由於癌浸潤組織及周圍結締組織釋放HA及透明質酸酶抑制物增加,特別是肺間皮細胞癌,血清HA水平可明顯升高,同時肺泡灌洗液HA(即BAL-HA)水平增高遠遠超過血清HA(S-HA)水平,如果BAL-HA/S-HA比值明顯增高,則對肺部惡性腫瘤的診斷有一定參考價值。
(6)慢性腎炎及慢性腎功能不全血清HA水平明顯高於正常對照組,並與肌酐、尿素氮呈正相關。腎病時血清HA可反映腎功能的損害程度。這與血中有毒代謝物聚集刺激組織間質細胞合成HA增多有關。而腎透析前後HA水平沒有明顯變化,由於HA是一種大分子物質,而透析用透膜只能濾過分子量小於35000的物質,故透析法不能把HA清除。HA作為腎臟功能損害的一項指標,反映腎損害的程度有一定參考價值。
疾病
肝硬化、毛囊性黏蛋白病、原發性腹膜癌
注意事項
透明質酸應無菌操作,限1次使用,Perfectha透明質酸凝膠破損後禁止使用。
關節炎症明顯時不宜注射,等炎症消除後再注射Perfectha透明質酸凝膠。
關節積液時,酌情穿刺排液,Perfectha透明質酸凝膠漏於關節腔外會引起疼痛,故必須確實注入關節腔內。
有時會引起疼痛,注射Perfectha透明質酸凝膠後,局部安靜處置。
透明質酸遇殺菌消毒劑苯扎氯胺、季按鹽等,會產生沉澱,用時應充分注意。
孕婦及哺乳期婦女慎用,肝功能損害者慎用,Perfectha透明質酸凝膠過敏者慎用。
適用年齡
透明質酸適用於任何有需要治療的年齡層,主要是要看你皮膚情況是否需要注射玻尿酸。
注射注意事項
1、注射前注意事項:
在治療前,請保持肌膚的清潔,任何化妝品和護膚品都需要清潔乾淨.建議使用潔面乳和收斂水來清潔皮膚.使用冷水清潔,以便毛孔收縮。強烈建議患者在治療前至少3-4天內,不要服用消炎藥(如阿司匹林等),因為其有可能會加劇注射部位出血和腫脹.
2、注射後注意事項:
在注射治療後,請保持面部放鬆,勿做過多的面部表情.在治療後至少兩周內,請避免接觸高熱環境(如桑拿等),因其可能會導致面部注射的透明質酸被很快分解,從而縮短填充效果.請勿觸摸或按摩注射部位.
3、不良反應:
皮膚出現炎性反應,通常伴隨按壓痛感,持續一周左右,注射部位暫時性腫脹,持續的不良反應請立刻通知注射醫生.
4、禁忌症:
孕期或哺乳期女性、年齡在18歲以下的患者、局部有炎症或感染的皮膚、服用抗凝血藥期間注射該品,引起腫脹或出血風險極大.比如說服用阿司匹林和非類固醇消炎藥。建議醫生在注射前向求美者詢問是否對透明質酸過敏,以及既往病史.
注意點
1、做好充沛的心理準備。可選擇信賴的醫療單位或醫生做手術,消弭你對玻尿酸注射的恐驚心理,要布滿決計和安全感,要鎮靜自若的協作醫生去實現美好的希望。玻尿酸注射千萬不要盲目投醫,以免構成不良結果。
2、玻尿酸注射前要充分了解關聯知識,反省關聯書籍,最好是訪問一下已經做過玻尿酸注射的人,最好是看到玻尿酸注射的全過程。
3、實施玻尿酸注射前,注射部位不能帶有任何的細菌病灶:如毛囊炎、癤腫、痤瘡、急性眼炎、鼻竇炎、鼻炎、鼻前庭癤等。
4、玻尿酸注射的前一天最好洗澡,玻尿酸注射當天上手術台前要用肥皂洗去面部的污垢和油脂,儘量減少細菌的數量。玻尿酸注射前身體有別的疾病,構成抵擋力低下,也隨意招致玻尿酸注射發作感染和影響傷口的癒合。
5、婦女月經時期不能做玻尿酸注射,以免構成術後感染。
辨別真假產品
市面上出售的容易與透明質酸混淆的微整形注射填充材料,一般有五種,包括:奧美定(或英捷爾法樂)、矽膠油、石蠟油、纖維素、膠原蛋白。有一種簡單識別奧美定的方法--有些含有奧美定的“透明質酸”絕大多數是在美容院銷售和一些無資質的整形醫生自帶到美容院給美容院的客人注射,一個在美容院注射針劑,顳部是在針劑注射後表現的是浮腫狀態,這就是奧美定的表現, 滿街都是假的透明質酸和膠原蛋白,不法分子用低價格博得了一些低消費能力的求美者青睞,結果受騙上當.所以需要很好的鑑別.
鑑別的步驟:
第一步:從針管中擠出一滴膠狀物質,放置在白紙上.如果有油浸潤暈擴散,那么這個東西肯定不是透明質酸,它一定是矽膠油,或者石蠟油之類的東西.這個材料,它是法律明確禁止使用的東西.
第二步:如果是形成水浸潤暈擴散,他可能是透明質酸、奧美定(或英捷爾法樂)、纖維素或膠原蛋白.這時,需要進一步鑑別!鑑別方法是:取一滴透明質酸放在左側手掌上,然後用右手示指指腹反覆觸摸,幾分鐘後待水份大部分揮發掉後,經過手指觸感或肉眼觀察,可見剩下的殘留中有沙粒狀晶體顆粒存在,除此以外沒有任何其它東西,那這個就是交聯的透明質酸,基本可以確認是真正透明質酸,可以使用.
第三種鑑別方法:把擠出的產品,放在平面玻璃板上,次日再觀察.結果,經過一夜的水分揮發,玻璃板上殘留的有型成分進行分析.如果這些殘留的都是有型成分,像“冰砂”粒子顆粒堆積起來的樣子,那一定是透明質酸.如果是“鍋巴狀不不透明結痂,一般是奧美定;‘如果是一層軟的淡黃色軟膜,一般是纖維素.如果是不揮發的油脂一定是矽膠油或石蠟油,如果最後什麼都不存留,很可能是非交聯透明質酸。
第四種鑑別方法:對於固體成分是否是透明質酸進行鑑別,你可以採用酶解實驗方法.程式是:在45度恆溫水浴箱中,將固體顆粒放入盛有透明質酸酶的容器中,一般2個小時左右,固體顆粒就可以降解掉.如果不降解,那肯定不是透明質酸。
副作用
偶爾出現蕁麻疹、皮症瘙癢感,應停藥,適當處理。
有時出現疼痛、腫脹、阻塞水流滲透,偶爾出現水腫、發紅、熱感、局部重壓感。
眾所周知,正是由於一種名為“透明質酸”(hyaluronicacid)的物質過量地分布於沙皮狗的全身皮膚,才會導致它產生如此多的皺紋。而過量的透明質酸很可能是由於名叫“透明質酸合成酶2”基因的過活化造成的。
當合成酶基因的過活化後,人體會產生相應的酶來分解、破壞過量的部分,起到一定的“自我調節”作用。透明質酸酶可以溶解掉多餘的透明質酸,從而消除副作用。
合成方法
雞冠丙酮法
1.將雞冠碎片加入到丙酮中,浸泡過夜至雞冠脫水變硬。然後置於瓷盤中進行乾燥,乾燥後經粉碎機粉碎成粉狀。將雞冠粉倒入搪瓷罐中,加入6~7倍蒸餾水,攪拌均勻,浸泡24h以上,使雞冠粉充分溶脹,然後過濾,收集濾液,濾渣再按同樣方法浸泡3次,合併3次過濾液。再將濾液倒入陶瓷缸中,攪拌下加入10%的固體氯化鈉,並加入等體積的氯仿,攪拌3h後,分出水相。向分出的水相中加入2倍體積的95%乙醇,攪拌均勻,靜置過夜,沉澱出透明質酸,然後濾乾沉澱物,乾燥後得粗品。粗品再溶於4倍體積的0?1mol/L氯化鈉溶液中,用稀鹽酸調節pH=4?5~5,再加入等體積的氯仿,靜置分層後,吸出上層水相。水相用8%氫氧化鈉溶液調節pH=7?5,加入鏈酶蛋白酶,37℃下保溫24h。再用等體積的氯仿萃取處理2次,合併上層水相,下層液體回收氯仿。水相中加入等體積的1%氯化十六烷基吡啶溶液,攪拌均勻,靜置沉澱,過濾,收集沉澱。沉澱再用2~3倍體積的0?4mol/L氯化鈉溶解,過濾,濾液中再加入3倍體積95%乙醇,靜置沉澱,吸去上層乙醇,下層再用95%乙醇反覆沉澱2次,下層沉澱物吊濾,乾燥,再用丙酮洗滌2次,真空乾燥,可得成品。
微生物法
2.微生物(獸疫鏈球菌HA產生菌變異株Y921)發酵法。
透明質酸注射後可能出現的副作用
動脈栓塞、纖維化及肉芽組織的造成、局部的紅、腫及疼痛、局部血腫以至感染、病人的焦慮及異物感等。
1、局部發紅。局部發紅是透明質酸隆鼻後常見的現象,生理性的發紅會在1-2天內消失。若3天還不消失,應到醫院檢查和及時處理.
2、局部腫脹。透明質酸隆鼻後會有腫脹的發生,一般1-2天就會消失。如果腫脹時間較長,需到醫院及時檢查。
3、局部淤血。注射透明質酸時,針頭若碰到細小的毛細血管,就會出現皮下淤血,也就是淤青的現象,一般情況下,淤青會在1-2周內慢慢消失。儘快口服ACMETEA細胞源食物(類人肽)將排異反應和副作用降到最低,幫助皮膚儘快恢復。
4、色素沉著。一般情況下,注射過淺或沒有注意防曬可能會發生色素沉著。
5、感染。感染一般很少出現,可能由於術中消毒不到位或者術後護理不當。一旦發生感染,要及時到醫院複診以儘快處理。
手術前後大量口服ACMETEA細胞源食物(類人肽),將排異反應和副作用降到最低,保證透明質酸有效果和安全性。此外,保證透明質酸隆鼻的安全性,也要鑑別一下透明質酸是不是真貨。
化妝品中的那些成分
| 每個人日常生活中都會接觸到化妝品,從護膚品、彩妝,到洗髮水、染髮劑,再到牙膏、沐浴露,我們每天都離不開這些日常使用的化妝品。但是,你知道這些化妝品都加了什麼成分嗎? |
糖類的類型
| 主要生物化學物質種類:肽 | 胺基酸 | 核酸 | 糖類 | 核苷糖 | 脂類 | 萜類 | 類胡蘿蔔素 | 四吡咯 | 輔因子 | 類固醇 | 類黃酮 | 生物鹼 | 聚酮 | 配糖類 |
| 糖類的類型 Analogues of nucleic acids |
| 主要分類: 醛糖 | 酮糖 | 吡喃糖 | 呋喃糖 幾何構型: 丙糖 | 丁糖 | 戊糖 | 己糖 | 庚糖 | 環己糖構型 | 端基差向異構 | 端基異構效應 | 變鏇現象 小/大: 甘油醛 | 二羥基丙酮 | 赤蘚糖 | 蘇阿糖 | 赤蘚酮糖 | 景天庚酮糖 戊糖: 核糖 | 樹膠醛糖 | 木糖 | 來蘇糖 | 核酮糖 | 木酮糖 己糖: 葡萄糖 | 半乳糖 | 甘露糖 | 古洛糖 | 艾杜糖 | 塔羅糖 | 阿洛糖 | 阿卓糖 | 果糖 | 山梨糖 | 塔格糖 | 阿洛酮糖 | 鼠李糖 雙糖、寡糖: 蔗糖 | 乳糖 | 海藻糖 | 麥芽糖 | 棉子糖 | 水蘇糖 多糖: 糖原 | 澱粉 | 纖維素 | 殼多糖 | 直鏈澱粉 | 支鏈澱粉 | 菊糖 | 糊精 | 褐藻素 粘多糖: 肝磷脂 | 硫酸軟骨素 | 透明質酸 | 硫酸乙醯肝素 | 硫酸軟骨素B | 硫酸角質素 氨基糖苷類抗生素: 卡那黴素 | 鏈黴素 | 妥布黴素 | 新黴素 | 巴龍黴素 | 阿普拉黴素 | 慶大黴素 | 奈替米星 | 阿米卡星 |
![透明質酸[玻尿酸] 透明質酸[玻尿酸]](/img/d/f3c/nBnauM3X1UTN0gDMxAzNxczMwUTM3kjM4UTOzMTNwAzMwIzLwczLzczLt92YucmbvRWdo5Cd0FmLwE2LvoDc0RHa.jpg)
