概述
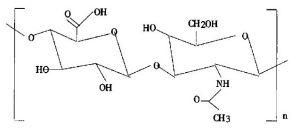
玻尿酸保濕液化學結構
玻尿酸結構式玻尿酸的結構主要由雙糖體(disaccharide),乙醯氨基葡糖N-acetyl-D-glucosamine以及葡糖醛酸D-glucuronicacid,藉由β-1-3鍵結所鏈結而成。由葡萄醛酸-N-乙酸氨基葡萄糖為雙糖分子單位組成的直鏈高分子多醣,平均分子量介於10萬到1000萬Dalton之間,原本就在人體的皮膚組織中,填充在細胞與膠原纖維的空間中。
分子式:(C14H20NNaO11)n
主要功能
皮膚中的作用2、玻尿酸本身帶有負電荷,在動物體存在於大部分的軟結締組織中。在動物體其主要功能乃保護及潤滑細胞,調節細胞在此粘彈性基質上的移動,穩定膠原網狀結構及保護它免於受到機械性的破壞。因為玻尿酸為天然性潤滑以及吸震高分子,在肌腱、肌腱鞘及粘滑膜表面作為潤滑劑。
3、玻尿酸HA廣泛分布於人體的結締組織中,在眼玻璃體、關節腔中幾乎以純態形式存在。存在於皮膚中的玻尿酸HA,對人體表皮的新陳代謝起到重要的作用。人體中玻尿酸HA的破壞或失調,均可造成疾病。皮膚中玻尿酸HA含量的減少及破壞,可造成皮膚失水中,起皺而失去彈性,使人表皮衰老,因而玻尿酸HA又被稱為抗衰老因子。
4、玻尿酸HA是人皮膚表皮及真皮的主要基質成分之一,其生理功能是能使水分進入細胞間隙,並與蛋白質結合而形成蛋白凝膠,將細胞粘在一起,發揮正常的細胞代謝作用,起到保持細胞水分,保護細胞不受病原菌的侵害,加快恢復皮膚組織,提高創口癒合再生能力,減少疤痕,增強免疫力等作用。同時玻尿酸是增殖細胞和遷移細胞胞外基質的主要成分,尤其在胚胎組織中是如此。因為玻尿酸的自身的特性,能使細胞保持彼此分離,使細胞易於運動遷移和增殖並阻止細胞分化。在發育過程中,玻尿酸的作用似乎是防止細胞在增殖夠數或遷移到位之前過早進行分化。
5、在醫藥方面,玻尿酸HA用於非甾體消炎藥,關節炎治療,眼科,心外科手術的輔助藥品,在治療燙傷、燒傷、凍傷、人造皮膚等方面,有著獨到的作用。玻尿酸是一種多功能基質,透明質酸(玻尿酸)HA廣泛分布於人體各部位。其中皮膚也含有大量的透明質酸。人類皮膚成熟和老化過程也隨著透明質酸的含量和新陳代謝而變化,它可以改善皮膚營養代謝,使皮膚柔嫩、光滑、去皺、增加彈性、防止衰老,在保濕的同時又是良好的透皮吸收促進劑。與其他營養成分配合使用,可以起到促進營養吸收的更理想效果。
提煉方法
動物組織
主要原料是雞冠和牛眼玻璃體等。用丙酮或乙醇將原料脫脂、脫水,用蒸餾水浸泡、過濾,然後以氯化鈉水溶液和氯仿溶液處理,之後加入胰蛋白酶保溫後得到混合液,最後用離子交換劑進行處理、純化得到精製的玻尿酸。這種方法提取率極低,僅1%左右,分離過程複雜,致使玻尿酸價格昂貴,達5000美元/公斤,限制了在化妝品中大的量使用。
微生物發酵
以葡萄糖作為碳源發酵液。在培養基中發酵48小時,發酵結束後,過濾除去菌絲體和雜質,然後用醇沉澱法等簡單操作即得到高純度的產物。採用發酵法製造的玻尿酸,優點是能按商品設計來設定分子量大小。發酵法的關鍵在於菌種的選擇,多選用鏈球菌、乳酸球菌類等。
化學合成
採用天然酶聚合反應;首先使用多糖類聚合物合成“透明質酸氧氮雜環戊烯衍生物”,然後添加水分解酶,製造出衍生物和酶的複合體,最後在90度攝氏反應液中清除其中的酶,就合成了玻尿酸。採用人工合成法可大大降低透明質酸的製造成本,但結構較不精純。
適用範圍
尾紋、抬頭紋、眉間紋、頸紋等,而一次治療就可以看到明顯效果,讓你遠離衰老。
玻尿酸的美容功效二:玻尿酸塑形。玻尿酸有非常好的塑形效果,是目前最完美的面部輪廓及形體塑形方法,它可以實現隆鼻,豐唇,豐下巴,豐太陽穴,豐胸等功效,安全性高。
玻尿酸的美容功效三:保濕好效果佳。玻尿酸有非常好的鎖定肌膚水分,並可以更好的吸收外界水分,使肌膚持續不斷的保持濕潤,緊緻的肌膚狀態,從而保持皮膚年輕。
副作用
偶爾出現蕁麻疹、皮症瘙癢感,應停藥,適當處理。注射玻尿酸隆鼻後可能會產生暫時性的輕微發紅、腫脹、瘙癢現象,通常在幾天后消失,這些也是所有手術的基本症狀。對於簡單的鼻根部高度隆起,透明質酸注射或許有一定效果,且術後有吸收但對於較複雜的鼻外形修整不通過自體軟骨或者假體的塑形肯定是不行的。
剛注射完玻尿酸後,有些人會有皮膚紅腫的現象,但大部分人過一陣子就會消失。在玻尿酸隆乳副作用方面,有些人在施打後會有皮膚表面凹凸不平的現象,有些則是皮膚表面顏色變淡,這些情況會維持數月之久。
這些令人不甚喜悅的玻尿酸的副作用在經過一段時間後由於玻尿酸被逐漸吸收後,皮膚表面不好看的情況也會漸漸改善,並不會在皮膚上留下任何痕跡。所以由此看玻尿酸的副作用是沒有的。
規避風險一:紅腫、起泡
起泡是因為對注射針劑排異,出現對抗起泡現象。如果是正品注射針劑異是暫時性的,可以通過配套修復因子溶解注射針劑。
解決方式:服用玻尿酸配套修ACMETEA細胞源食物(類人肽)溶解注射針劑,修復受損細胞,抑制增生。
規避風險二:乾澀、暗淡、生斑等
起因是受術後修復細胞不能正常啟動,損傷細胞停滯了,所以術後乾澀、暗淡、生斑等造成本副作用現象。
解決方式:通過使用配套細胞源食物(類人肽)營養穩定細胞結構,激發的膠原蛋白纖維細胞新生。
規避風險三:塌陷、凹凸不平、皮層壞死
這種情況是屬於較嚴重的玻尿酸副作用,有兩個可能性,玻尿酸深淺不同的技術問題,二是因為受術者自身體內細胞再生的營養不足和膠原再生混亂,以致術後修復失控,而塌陷、不規律增生和部分細胞嚴重缺乏營養的導致皮層壞死產生的凹凸不平,所以不可本末倒置,重視內服才有的結果。
解決方式:注重術前20天,術後3個月晚個一次配套細胞源食物(類人肽),每次12克。
規避風險四:面部表情僵硬
手術過程碰觸到神經,也可能損傷了面部神經。
解決方式:配套細胞源食物(類人肽)細胞生長因子,修復受損神經。
規避風險五:沒有效果
這種情況是為常見的,在此首先聲明不是手術引起的,主要原因是受術者體內膠原營養不足,新生細胞營養再生率不高而沒有法體現效果。玻尿酸填充在皮膚組織細胞與膠原纖維的空間中,當玻尿酸吸收水分後,使得彈力纖維及膠原蛋白處在充滿濕潤的環境中,為膠原蛋白合成提供了適宜的環境,提高了膠原蛋白的利用率,兩者相互作用,相互依存,當膠原蛋白不足時,會加快玻尿酸的存活率,皮膚因此具有了彈性。
解決方式:細胞源食物(類人肽)特有的玻尿酸修復因子和膠原纖維修復因子,將兩者完善結合。
除皺注意事項
1、做好充沛的心理準備。可選擇信賴的醫療單位或醫生做手術,消弭你對玻尿酸注射的恐驚心理,要布滿決計和安全感,要鎮靜自若、自動自動的協作醫生去實現美好的希望。玻尿酸注射千萬不要盲目投醫,以免構成不良結果。
2、玻尿酸注射前要充分了解關聯知識,反省關聯書籍,最好是訪問一下已經做過玻尿酸注射的人,最好是看到玻尿酸注射的全過程。
3、實施玻尿酸注射前,注射部位不能帶有任何的細菌)病灶:如毛囊炎、癤腫、痤瘡、急性眼炎、鼻竇炎、鼻炎、鼻前庭癤等。
4、玻尿酸注射的前一天最好洗澡,玻尿酸注射當天上手術台前要用肥皂洗去面部的污垢和油脂,儘量減少細菌的數量。玻尿酸注射前身體有別的疾病,構成抵擋力低下,也隨意招致玻尿酸注射發作感染和影響傷口的癒合。
5、婦女月經時期不能做玻尿酸注射,以免構成術後感染。
6、玻尿酸應無菌操作,限一次使用,perfectha透明質酸凝膠破損後禁止使用。
7、關節炎症明顯時不宜注射,等炎症消除後再注射Perfectha透明質酸凝膠。
8、關節積液時,酌情穿刺排液,Perfectha透明質酸凝膠漏於關節腔外會引起疼痛,故必須確實注入關節腔內。
9、有時會引起疼痛,注射Perfectha透明質酸凝膠後,局部安靜處置。
10、玻尿酸遇殺菌消毒劑苯扎氯胺、季按鹽等,會產生沉澱,用時應充分注意。
11、孕婦及哺乳期婦女慎用,肝功能損害者慎用,Perfectha透明質酸凝膠過敏者慎用。
12、玻尿酸手術提前20天口服玻尿酸配套ACMETEA細胞源食物(類人肽),每一天兩次,每一次12克,充分做好的術前準備。術後修復60天口服玻尿酸配套細胞源食物(類人肽),每一天兩次,每一次12克,一個療程兩個月,可根據個人需要延長使用時間。
注射隆鼻術
一般而言,要隆鼻最好還是接受手術,才能一勞永逸。但偶而在門診中,我們發現有些人不敢接受手術,或者無法接受手術後的恢復期,或者他想先看看隆鼻後整個臉會變得如何,就可以考慮使用注射填充物來達到隆鼻的目的。
注射填充物來達到隆鼻的好處,當然如上述,是無恢復期,而且效果立刻呈現,不足、不滿意可以隨時修改、補打,可塑性高,滿意度也高。其中,最熱門的是注射玻尿酸來隆鼻,缺點是它的效果只持續8-12個月(有大分子玻尿酸,可以維持2年)。其他如膠原蛋白也不錯,可惜效果只有6個月。至於,最近剛通過衛生署核准的長效型填充物(AQUAMID),更可以維持5-7年,甚至更久。
注射填充物來隆鼻可以使鼻背加高、增厚鼻翼、鼻頭變大、拉長鼻柱及改善輕微的朝天鼻。注射玻尿酸非常地簡單,沒有特殊的術前、術後要注意的事項,不須要禁食,注射後也可以立刻洗臉。不過,注射後還是會有些微瘀血,1周后會消失。
注射填充物隆鼻並不能解決所有鼻子的缺點,無法取代手術。但是,東方人普遍鼻子比較低、比較小,注射填充物來隆鼻,不失為侵襲性低的好方法。
如果自身嚴重缺乏營養,會出現術後皮膚細胞再生失敗,發生永遠性損傷,這是做微整形大的風險。也是整形醫生大的擔憂。玻尿酸前後必須口服大量ACMETEA細胞源食物(類人肽),正確採用玻尿酸美容內外結合的治療技術,才可以安全、可靠、作用持久。
隆鼻影響因素
一、注射隆鼻所選材料
注射隆鼻的材料不同,目前常使用的注射隆鼻材料主要包含玻尿酸,自體脂肪、愛貝芙等。隆鼻效果的保持時間也會有所不同。這些材料都是經實踐檢驗安全的隆鼻材料,注射到鼻子內不會對人有危害,所以注射是相當安全的隆鼻方法。
二、注射隆鼻操作醫師
醫生的審美觀是注射隆鼻後效果的一個關鍵因素。因為注射隆鼻通常採用將隆鼻材料分開劑量進行注射的方式,一個鼻樑可能要分三、四個點進行注射。
醫生必須要在打進去的材料在還沒有變硬之前,捏出你想要的形狀,進行塑形後,注射進入的粘液狀物體會逐漸變硬,這個時候隆出來的鼻子是最為自然美觀的。因此醫師的專業技術也是影響其效果的一個重要因素。
注射除皺
隨著年齡地不斷增長,人的皮膚隨著體內的玻尿酸的含量和新陳代謝的變化而變化。想要改善皮膚營養代謝,注射玻尿酸是最好的方法,玻尿酸可以使皮膚柔嫩、光滑、去皺、增加彈性、防止衰老。
注射方法
玻尿酸除皺以注射的方式打到皮下組織,使用範圍不受限於部位或動靜態的紋路,可做不同的臉部雕塑,亦可用來填補凹洞。玻尿酸除皺以皮下填充注射處理皮膚老化造成的皺紋,或凹紋與凹疤,注入後的玻尿酸會與體內原有的玻尿酸融合,具有撫平皺紋、抗老化功效,安全性高。玻尿酸除皺不留痕跡的特性,使其被人們喻為午休美容的養顏餐。
適應症
玻尿酸適應消除面部靜態紋(包括眼部細紋、眼尾紋、淚溝、眼袋、法令紋等)、豐唇、修飾唇形、下巴修飾、鼻型增高、鼻型改造、豐頰、填補凹洞等。
注射豐唇
玻尿酸,原本是膠原蛋白的衍生物,是支撐肌膚彈性的必要成分之一,由於其低敏性和無排異性,目前是好萊塢及各界名流中流行的一種注射豐唇填充物,同時也用於抵禦皺紋的注射美容產品。
適應人群:唇部需要輕度到中度擴張的人。
手術時間:大約15分鐘。
效果維持時間:能持續4-8個月,需要多次注射才能保持唇型。
恢復時間:玻尿酸注射豐唇後,不會影響正常生活,手感自然柔軟。
永久豐唇首選新時代整形醫院,專業豐唇技術;玻尿酸豐唇,自體脂肪豐唇,完美唇形,見效快,讓您更加美麗動人。
辨別真假
目前市面上出售的容易與玻尿酸混淆的微整形注射填充材料,一般有五種,包括:奧美定(或英捷爾法樂)、矽膠油、石蠟油、纖維素、膠原蛋白。有一種簡單識別奧美定的方法——有些含有奧美定的“玻尿酸“絕大多數是在美容院銷售和一些無資質的整形醫生自帶到美容院給美容院的客人注射,一個在美容院注射針劑,顳部是在針劑注射後表現的是浮腫狀態,這就是奧美定的表現,現在滿街都是假的玻尿酸和膠原蛋白,不法分子用低價格博得了一些低消費能力的求美者青睞,結果受騙上當。所以需要很好的鑑別。鑑別的步驟:
第一步:從針管中擠出一滴膠狀物質,放置在白紙上。如果有油浸潤暈擴散,那么這個東西肯定不是玻尿酸,它一定是矽膠油,或者石蠟油之類的東西。這個材料,它是法律明確禁止使用的東西。
第二步:如果是形成水浸潤暈擴散,他可能是玻尿酸、奧美定(或英捷爾法樂)、纖維素或膠原蛋白。這時,需要進一步鑑別。鑑別方法是:取一滴玻尿酸放在左側手掌上,然後用右手示指指腹反覆觸摸,幾分鐘後待水份大部分揮發掉後,經過手指觸感或肉眼觀察,可見剩下的殘留中有沙粒狀晶體顆粒存在,除此以外沒有任何其它東西,那這個就是交聯的玻尿酸,基本可以確認是真正玻尿酸,可以使用。
第三種鑑別方法:把擠出的產品,放在平面玻璃板上,次日再觀察。結果,經過一夜的水分揮發,玻璃板上殘留的有型成分進行分析。如果這些殘留的都是有型成分,像“冰砂”粒子顆粒堆積起來的樣子,那一定是玻尿酸。如果是“鍋巴狀不不透明結痂,一般是奧美定;‘如果是一層軟的淡黃色軟膜,一般是纖維素。如果是不揮發的油脂一定是矽膠油或石蠟油,如果最後什麼都不存留,很可能是非交聯玻尿酸。
第四種鑑別方法:對於固體成分是否是玻尿酸進行鑑別,你可以採用酶解實驗方法。程式是:在45度恆溫水浴箱中,將固體顆粒放入盛有透明質酸酶的容器中,一般2個小時左右,固體顆粒就可以降解掉。如果不降解,那肯定不是玻尿酸。(這就是滷水點豆腐,一物降一物,對應的酶,溶解對應的化合物)
常見問答
問:玻尿酸治療效果消失後會否另情況更差?
答:不會,美國密西根大學臨床報告證實玻尿酸可刺激骨膠原增生,持續改善皮膚。
問:持續注射會否對身體造成長期影響?
答:不會,玻尿酸和人體的透明質酸同度達99%以上;隨時會在體內逐漸分解。
問:玻尿酸治療需時多久?
答:整個治療過程只需30分鐘。
答:2至3星期後便可以。
問:治療效果可維持多久?
答:注射1次可達6個月或以上,經兩次注射後功效可達18個月
問:懷孕期間可以注射玻尿酸嗎?
答:不可。嬰兒出生後和停止餵哺母乳後便可以接受玻尿酸治療。
特點
⒈組織相容性高
⒉穩定性高
⒊不易產生過敏
⒋療程快速安全
⒌維持時間是9-18個月
不適宜人群
⒈哺乳中的婦女不可注射
⒉對藥劑成分過敏
⒊正在服用肌肉鬆弛症藥劑者
⒋孕婦
作用
原本玻尿酸只用於保濕作用,目前已列入除皺整形材料的行列,這種整形技術是利用細菌發酵所培養出來的非動物穩定性玻尿酸,藉由玻尿酸以填充物的方式注射進入真皮皺摺凹陷,或希望豐潤的部位,達到除皺紋與修飾臉部的效果,可以立即除皺和改變容貌。玻尿酸,原來就以膠狀形態存在於人體皮膚的真皮組織中,負責儲存水分、增加皮膚容積,讓皮膚看起來飽滿、豐盈、有彈性。但玻尿酸會隨著年齡增長而消失,使皮膚失去儲水的能力,逐漸變得暗沉、老化,並形成細小的皺紋。而拜生物科技進步之賜,從脊椎動物的結締組織,如雞冠、眼球、臍帶、軟骨等部位,可以萃取出玻尿酸。過去玻尿酸的來源多萃取自動物身上,現在則由人工合成,摒除過敏及感染等問題。
隨著科技的發展,目前玻尿酸已經不只是能注射填充使用了,已經研製出了外用玻尿酸。這種外用透明質酸中含有玻尿酸、SOD、細胞生長因子顆粒等美容成分。使用人群已經不再單單只是想除皺豐胸的人群,外用玻尿酸使用人群可以是皮膚暗黃、粗糙、無光澤、皺紋、臉上含有色斑等一些愛美人士。總得來說,外用玻尿酸雖然失去了傳統填充式玻尿酸豐胸的美容功效,但卻適用了更多人群。
18歲時玻尿酸就開始流失,30歲的肌膚,玻尿酸的含量只有嬰兒時期的65%,到了六十歲只有25%, 當玻尿酸流失速度快於生長速度時,就應當從外界及時補充玻尿酸,人體膠原蛋白的流失和玻尿酸的流失同時進行,40歲人體膠原蛋白流失達到50%。由於膠原蛋白和玻尿酸相互依存,所以在補充時同時補充才能相互作用,相互穩定。皮膚衰老的過程其實就是“玻尿酸和膠原蛋白”逐步減少的過程。補充玻尿酸的同時補充ACMETEA細胞源食物(類人肽)確保玻尿酸和膠原蛋白同時補充。
分類
根據成分可分為永久性玻尿酸、吸收性玻尿酸和其他特殊玻尿酸。
永久性玻尿酸:愛貝芙、雅得媚、Bio-Alcamid
吸收性玻尿酸:瑞蘭、斯諾美、Perfectha、TEOSYAL、微晶瓷
其他特殊玻尿酸:物光注射、ariafiller、塑然雅
根據維持時間可分為6個月~一年的玻尿酸、1~2年的玻尿酸、長期玻尿酸。
6個月~一年的玻尿酸:物光注射、ariafiller、塑然雅
1~2年的玻尿酸:瑞蘭、斯諾美、Perfectha、TEOSYAL、微晶瓷
長期玻尿酸:愛貝芙、雅得媚、Bio-Alcamid
