定義
定義一
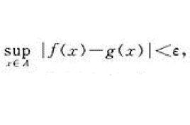
如果用函式列f1,f2,…,fn,…逼近函式Φ,取fi與Φ之差的模的上確界
一致逼近作為fi與Φ的離差之測度,就稱這種逼近是一致逼近,上式中Ω為在其內進行逼近的數集.
若fi(i=1,2,…,n,…)和Φ皆連續,而Ω為緊集,則上確界的符號可改為極大值符號 。
定義二
① 對於任意的f(x)∈[a,b],在範數
一致逼近的意義下定義兩個函式的距離:
一致逼近
一致逼近② 若一個函式序列 在如上定義的距離的意義下滿足
一致逼近則稱fn(x)在[a,b]上一致收斂於f(x).
一致逼近通常也稱在度量||·|| 下的逼近問題為一致逼近問題.
最佳一致逼近
最佳一致逼近多項式
定義 設Pn∈Hn,f(x)∈C[a,b],稱
一致逼近為Pn(X)對於f(x)的偏差,稱
一致逼近為Pn(x)對f(x)的最小偏差,或稱最佳逼近.
一致逼近定義 設f(x)∈C[a,b],若∃ ∈Hn使得
一致逼近
一致逼近則稱 是f(x)在[a,b]上的最佳一致逼近多項式或最小偏差逼近多項式,簡稱最佳逼近多項式.
最佳一致逼近多項式的存在性和唯一性
一致逼近定理1 (Borel,1995)對於任何f(x)∈C[a,b],在Hn中存在多項式 ,使得
一致逼近定理2 設f(x)∈C[a,b],p(x)∈Hn,則p(x)為f(x)的最佳一致逼近多項式的充分必要條件是,f(x)一p(x)在[a,b]上存在一個至少由n+2個點組成的交錯點組。
由該定理可知,若f(x)∈C[a,b],則在以Hn存在唯一的最佳一致逼近多項式,且最佳一致逼近多項式是f(x)的一個拉格朗日插值多項式 。
實際求出最佳一致逼近多項式p(x)往往比較困難。一般利用下述定理求取最佳一致逼近多項式。
一致逼近定理3 設f(x)在[a,b]上n+1階可導,且 在[a,b]上不變號,若p(x)∈Hn是f(x)的最佳一致逼近多項式,則端點a與b屬於f(x)一p(x)的交錯點組 。

