拉格朗日插值多項式逼近
正文
拉格朗日插值多項式是一種最常見的多項式插值法,也是一種最常用的逼近工具。設ƒ(x)是定義在區間【α,b】上的函式,又設x1,x2,…,xn是【α,b】上的n個互不相同的點。早在1795年J.-L.拉格朗日就證明:如果在點xK處的函式值yK=ƒ(xK)(k=1,2,…,n)是已知的,則存在惟一的次數不高於n-1的代數多項式ln(ƒ,x)使得
。
,


為其結點組。若ƒ(x)是個次數不高於n-1的代數多項式,則ln(ƒ,x)=ƒ(x)。ln(ƒ,x)的幾何意義是有且僅有一條n-1次代數曲線通過平面上預先給定的 n個橫坐標互不相同的點。又稱
為拉格朗日插值的基本多項式。不論在理論上還是在實用上,拉格朗日插值多項式都是一種重要的逼近工具。假設ƒ(x)在 【α,b】上存在n階導數,則ln(ƒ,x)逼近ƒ(x)的偏差有這樣的表達式 
對於給定的結點組
記



在【α,b】上均勻分布是合理的。但事實並非這樣,即使對於函式ƒ(x)=|2x-α-b|,此時相應的ln(ƒ,x)也不能實現對ƒ(x)的逼近。至於選擇其他結點組,僅要求函式連續也未必可行。因為G.費伯曾經證明,對於【α,b】上的任意一列結點組
,n =1,2,…,都有【α,b】上的連續函式ƒ(x),使得相應的拉格朗日插值多項式序列
在【α,b】上不一致收斂於ƒ(x)。此外,還有 

其相應的勒貝格常數不超過
於是只要函式ƒ(x)合乎迪尼-李普希茨條件
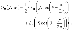
則它的拉格朗日插值多項式ln(ƒ,x)在n →∞時,在【-1,1】上就一致收斂於ƒ(x)。這裡 ω(ƒ,δ)是ƒ(x)的連續性模。用這種結點組的拉格朗日插值多項式逼近連續函式,其逼近度與最佳逼近值相比較,還有一個對數因子。如何修改插值多項式的構造以改善它的逼近性能,是人們所重視的問題。修改的辦法很多,常用的是由С.Η.伯恩斯坦所提出的線性求和法。例如,令 x=cosθ (0≤θ≤π),
定義
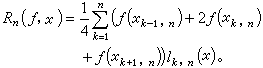
,定義 


代替有限區間上的一致逼近,也可以考慮積分平均逼近,以及無限區間上的逼近。代替切比雪夫多項式的零點,可以考慮用雅可比多項式的零點作結點。而在周期的情況下,代替代數多項式的插值逼近自然以三角多項式的插值逼近為宜。此時,用周期區間的均勻分布的結點組是較合適的,可以建立類似於傅立葉級數部分和逼近函式的結果。

