特殊函式
正文
一些高級超越函式的總稱,不是代數函式的完全解析函式通稱為超越函式。高級超越函式是超越函式中不為初等函式的泛稱。特殊函式多半是從尋求某些數學物理方程的解得出的。它種類繁多,而且不斷有新的出現。常見的有:Γ 函式、B 函式、超幾何函式、勒讓德函式、貝塞爾函式等。一些正交多項式,如雅可比多項式、切比雪夫多項式、埃爾米特多項式、拉蓋爾多項式,等等,通常也列入特殊函式的內容中。特殊函式在物理學,工程技術,計算方法等方面有廣泛的套用。研究特殊函式常用的工具是解析函式理論,如圍道積分、冪級數展開等等。 L.歐拉、P.-S.拉普拉斯、J.-B.-J.傅立葉等人,都在這方面做過奠基工作。
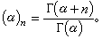
Γ函式 階乘n!僅對正整數n及0有意義,擴大到任意複數α,定義階乘函式為




n!=(1)n=г(n+1)。
當Re(z)>0時,


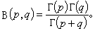
B函式 B函式可以用Γ函式來定義:




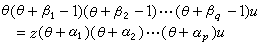
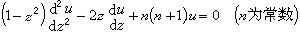
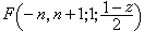
,則u=F(α,b);с;z)是高斯微分方程 




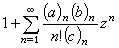
一函式F(z,t),如果通過形式運算(即不管這種運算是否合理)能夠展成t的冪級數

廣義超幾何函式及超幾何函式可以用來表示多種初等函式、高級超越函式以及它們之中的一些母函式,因而有廣泛套用。
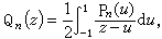
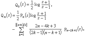
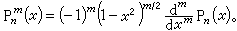
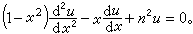
勒讓德函式 勒讓德微分方程









(cosθ)cosmφ,
(cosθ)sinmφ以及Pn(cosθ)構成2n+1個線性無關的n次球面調和函式,可以用來解在球面上滿足一定邊界條件的拉普拉斯方程 
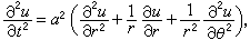
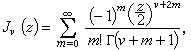
貝塞爾函式 在18世紀中葉歐拉研究圓鼓膜振動問題時,引進了極坐標形式的波動方程





設

(z)為兩個變數z,v的解析函式,滿足一對遞推公式 

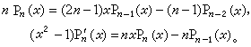
(z)為圓柱函式。J
(z)及Y
(z)均為圓柱函式。圓柱函式可以用來解在圓柱面上滿足一定邊界條件的拉普拉斯方程及波動方程。 設φ0(x),φ1(x),…,φn(x),…為在開區間(α,b))上有定義的實函式系,ω(x)為定義在(α,b))上的非負函式;如果對任何非負整數m≠n恆有

設v>-1,則J
(z)的零點均為實數,且有無窮個正零點及負零點,其階均為1。若以j1,j2,j3,…表示J
(z)的正零點按上升順序的排列,則當v固定時,{J
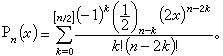
(jnx)}是在(0,1)上以x為權函式的正交系。 勒讓德多項式 Pn(x) 在18世紀後期勒讓德研究球體引力及行星繞日運動問題,從母函式





設
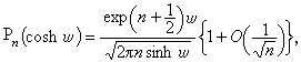
=α+iβ,α>0。當
固定,n→∞時, 
,其中A1,A2為絕對常數。當0≤θ≤π時, 
1980年前後,有幾位數學工作者,利用勒讓德多項式,討論一些數的無理性,擴大了這個古老多項式新的套用,引起人們的重視。
雅可比多項式P
(x) 定義






特殊情形 格根堡多項式
。
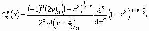
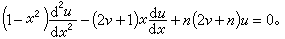
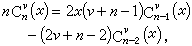
。 格根堡多項式C
(x) 定義
羅德里格斯公式

微分方程



;區間(-1,1);權函式
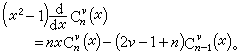
。 切比雪夫多項式Tn(x)
定義
。 羅德里格斯公式

微分方程
遞推公式
,

。 切比雪夫多項式在函式逼近及計算數學中用到。
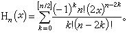
埃爾米特多項式 Hn(x)
定義
羅德里格斯公式
母函式
微分方程
遞推公式

正交性 區間(-∞,∞);權函式
。
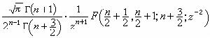
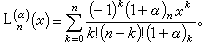
拉蓋爾多項式 L
(x)
定義
羅德里格斯公式
母函式
微分方程
遞推公式

以上所列舉的正交多項式都是經典的。在20世紀也引進了許多新的正交多項式,最引人注意的是與貝塞爾函式密切聯繫的貝塞爾多項式,其定義為
它在證明er的無理性時用到,這裡r為有理數。
參考書目
王竹溪、郭敦仁著:《特殊函式概論》,科學出版社,北京,1965。
小谷正雄、橋本英典著,錢瑞壯譯:《特殊函式》,上海科學技術出版社,上海,1962。(小谷正雄、橋本英典著:《特殊函式》,岩波,東京,1958。)
莫葉:關於Legendre多項式,《數學進展》,Vol.12,No.4,1983。
