概念
如果一個數列的第n項an與該數列的其他一項或多項之間存在對應關係的,這個關係就稱為該數列的遞推公式。例如斐波納契數列的遞推公式為a=a+a
等差數列遞推公式:a=d(n-1)+a(d為公差 a為首項)
等比數列遞推公式:b=q(n-1)*b (q為公比 b為首項)
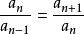
由遞推公式寫出數列的方法:
1. 根據遞推公式寫出數列的前幾項,依次代入計算即可;
2.若知道的是末項,通常將所給公式整理成用後面的項表示前面的項的形式。
遞推列
亦稱遞歸列。由前面的項能推出後面的項的數列。指對所有n>p,滿足形如a=f(a,a,…,a)的關係式的序列{a},其中f為某個函式。p是某個固定的正整數,a,a,…,a為已知數。p稱為這個遞推列的階數.上述關係式稱為遞推公式,給定a,a,…,a,可以從它得到所有a。形如a+ca+ca+…+ca=0(c,c,…,c是常數)的遞推公式稱為線性遞推公式,相應的序列稱為線性遞推列。最簡單的遞推列是一階遞推列,即滿足a=f(a)的序列{a}.它又稱疊代列。等差數列與等比數列都是線性的疊代列。
等比數列
等比數列是指從第二項起,每一項與它的前一項的比值等於同一個常數的一種數列,常用G、P表示。這個常數叫做等比數列的公比,公比通常用字母q表示(q≠0),等比數列a≠ 0。其中{a}中的每一項均不為0。註:q=1 時,a為常數列。
等比公式
遞推公式(1)定義式:
(2)通項公式(等比數列通項公式通過定義式疊乘而來):
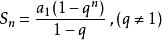
(3)求和公式:
遞推公式
遞推公式
遞推公式
遞推公式
遞推公式
遞推公式求和公式用文字來描述就是:Sn=首項(1-公比的n次方)/1-公比(公比≠1)如果公比q=1,則等比數列中每項都相等,其通項公式為,任意兩項,的關係為;在運用等比數列的前n項和時,一定要注意 討 論公比 q 是否為1 .
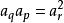
(4)從等比數列的定義、通項公式、前n項和公式可以推出:
遞推公式(5)等比中項:
遞推公式
遞推公式
遞推公式若,那么為等比中項。
另外,一個各項均為正數的等比數列各項取同底數後構成一個等差數列;反之,以任一個正數C為底,用一個等差數列的各項做指數構造冪Can,則是等比數列。在這個意義下,我們說:一個正項等比數列與等差數列是“同構”的。
等比中項定義:從第二項起,每一項(有窮數列的末項除外)都是它的前一項與後一項的等比中項。
遞推公式
遞推公式等比中項公式:或者。
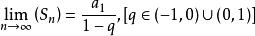
(6)無窮遞縮等比數列各項和公式:
遞推公式無窮遞縮等比數列各項和公式:公比的絕對值小於1的無窮等比數列,當n無限增大時的極限叫做這個無窮等比數列各項的和。
等差數列
從第二項起,每一項都等於前一項加上同一個數d的有限數列或無限數列。又叫算術數列.這個數d稱為等差數列的公差。
等差數列從第二項開始每一項是前項和後項的算術平均數。
如果等差數列的公差是正數,則該等差數列是遞增數列;如果等差數列的公差是負數,則該數列是遞減數列;如果等差數列的公差等於零,則該數列是常數列。
對於一個數列a,a,…,a,…,如果它的相鄰兩項之差a-a,a-a,…,a-a,…構成公差不為零的等差數列,則稱數列{a}為二階等差數列。
運用遞歸的方法可以依次定義各階等差數列:對於數列{a},如果{a-a}是r階等差數列,則稱數列{an}是r+1階等差數列.二階或二階以上的等差數列稱為高階等差數列。
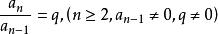
r階等差數列的通項公式可以用一個關於項數n的r次多項式來表示,反之,通項公式為項數n的r次多項式的數列必為r階等差數列。
