英文]
Beta-function
[解釋]
由積分(第一類歐拉積分) 來定義的函式。它與Γ函式的關係:
B(p,q)=Γ(p)Γ(q)/Γ(p+q)
也可以由(2)從Γ函式來定義B函式,然後證明(1)式。B函式可用來計算一些定積分的值。例如,當 Re ( m ) >0, Re ( n ) >0時 有些積分可化為B函式,如 ( x - a ) p -1( b - x ) q -1 a x =( b - a ) p + q -1 B( p , q )( b > a , Re ( p )>0, Re ( q )>0
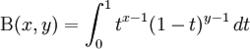
又稱第一類歐拉積分,積分定義式為
B函式此函式參數對稱,即
B(x,y)=B(y,x);
Beta函式其他表示方式:
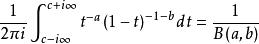
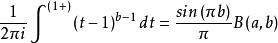
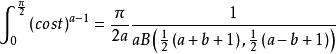
B函式
B函式
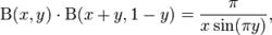
B函式關係式
B函式
B函式
B函式
B函式三維圖
Beta函式的三D圖
Beta函式3D圖