定義
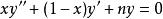
在數學中,拉蓋爾多項式定義為拉蓋爾方程的標準解。下列為拉蓋爾方程:
拉蓋爾多項式
拉蓋爾多項式
拉蓋爾多項式此方程只有當n為非負時才有非平凡解。 是拉蓋爾方程的正則奇點。在 及其鄰域上為有限的級數解是
拉蓋爾多項式級數的收斂半徑為無限大。
拉蓋爾多項式
拉蓋爾多項式如n為整數,解y(x)退化為n次多項式。用適當的常數乘這些多項式,使最高次冪項成為 就叫作拉蓋爾多項式,記作 ,
拉蓋爾多項式由羅德里格公式推導出公式 ,如下:
拉蓋爾多項式它可以用遞推關係表達,如下:
拉蓋爾多項式
拉蓋爾多項式
拉蓋爾多項式拉蓋爾多項式的遞推關係也可以表現為 :
拉蓋爾多項式
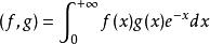
拉蓋爾多項式此多項式是區間 上函式全體按照如下定義內積時的標準正交多項式:
拉蓋爾多項式廣義
定義
拉蓋爾多項式
拉蓋爾多項式
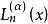
拉蓋爾多項式稱在 上伴隨核函式 的標準正交多項式為廣義拉蓋爾多項式,記為 。廣義拉蓋爾多項式也可以由如下的羅德里格公式給出:
拉蓋爾多項式
拉蓋爾多項式當 時,廣義拉蓋爾多項式退化為標準拉蓋爾多項式。
廣義拉蓋爾多項式有如下解析表達式:
拉蓋爾多項式廣義拉蓋爾多項式有如下遞推關係 :
拉蓋爾多項式
拉蓋爾多項式性質
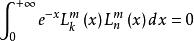
拉蓋爾多項式正交性:
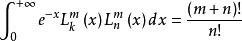
平方積分:
拉蓋爾多項式相關恆等式
關於一般拉蓋爾多項式和拉蓋爾多項式,可以得到以下兩個恆等式 :
拉蓋爾多項式
拉蓋爾多項式
拉蓋爾多項式
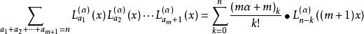
拉蓋爾多項式定理1:設 是一般拉蓋爾多項式,那么, 及 ,當 時,有恆等式
拉蓋爾多項式
拉蓋爾多項式其中, 。
拉蓋爾多項式
拉蓋爾多項式
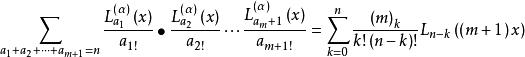
拉蓋爾多項式定理2:設 是拉蓋爾多項式,那么, 及 ,有恆等式
拉蓋爾多項式
