簡介
埃德蒙·尼古拉斯·拉蓋爾(Edmond NicolasLaguerre,1834.4.9-1886.8.14)法國數學家。生於巴勒迪克,卒於同地。畢業於巴黎理工科大學,19歲即發表論文《焦點論》。1854年任炮兵軍官,10年後回母校任教。1883-1886年兼任法蘭西學院數學物理學教授。
主要貢獻
法國數學家拉蓋爾提出拉蓋爾多項式,拉蓋爾多項式為拉蓋爾方程的標準解。
拉蓋爾, 這是一個二階線性微分方程。
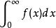
拉蓋爾這個方程只有當n非負時,才有非奇異解。拉蓋爾多項式可用在高斯積分法中,計算形如 的積分。
這些多項式(通常用L0, L1等表示)構成一個多項式序列。這個多項式序列可以用羅德里格公式遞推得到。
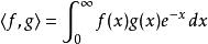
拉蓋爾在按照下式定義的內積構成的內積空間中,拉蓋爾多項式是正交多項式。
拉蓋爾.,
拉蓋爾多項式構成一個Sheffer序列。
拉蓋爾多項式在量子力學中有重要套用。氫原子薛丁格方程的解的徑向部分,就是拉蓋爾多項式 。
物理學家通常採用另外一種拉蓋爾多項式的定義形式,即在上面的形式的基礎上乘上一個n!。

