基本介紹
拉蓋爾定理
拉蓋爾定理
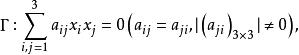
拉蓋爾定理在笛卡兒齊次坐標下,我們把和都稱為圓點;過圓點或J的直線叫做迷向直線。可以證明圓點與笛卡兒齊次坐標系的選取無關。
之所以把I,J稱為圓點,是因為每個圓都通過這兩個點。事實上,我們有如下結論。
定理1 非退化的二階曲線是圓的充分必要條件是該二次曲線通過兩個圓點。
證明: 必要性。在齊次笛卡兒坐標系下,圓的方程是
拉蓋爾定理
拉蓋爾定理圓點或J顯然滿足此方程 。
充分性。設二階曲線
拉蓋爾定理
拉蓋爾定理
拉蓋爾定理將圓點或J分別代入二階曲線的方程,得
拉蓋爾定理和
拉蓋爾定理
拉蓋爾定理
拉蓋爾定理由此得。於是的方程為
拉蓋爾定理下面是重要的定理——拉蓋爾(Laguerre)定理,這個定理將兩直線的夾角與交比聯繫起來,從而為利用射影幾何知識解決歐氏幾何問題提供支持。
拉蓋爾定理
拉蓋爾定理
拉蓋爾定理拉蓋爾定理 設兩條非迷向直線的夾角為,這兩條直線與過它們交點的兩條迷向直線的交比滿足。
推論 兩條非迷向直線垂直的充分必要條件是這兩條直線與過它們的交點的兩條迷向直線調和共徑 。
拉蓋爾定理的證明
拉蓋爾定理
拉蓋爾定理
拉蓋爾定理
拉蓋爾定理
拉蓋爾定理
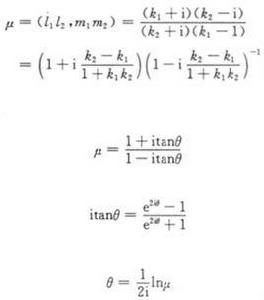
拉蓋爾定理設這兩條非迷向直線為,過這兩條直線交點的兩條迷向直線分別為。直線的斜率分別設為。因為過圓點J與過圓點I的迷向直線方程分別為(其中b,c為複數),所以直線的斜率分別為-i,i。於是有
拉蓋爾定理
拉蓋爾定理
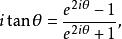
拉蓋爾定理因為,代人上式得
拉蓋爾定理因為
拉蓋爾定理
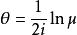
拉蓋爾定理於是,即
拉蓋爾定理
