歷史
最早提出母函式的人是法國數學家LaplaceP.S.在其1812年出版的《機率的分析理論》中明確提出“生成函式的計算”,書中對生成函式思想奠基人——Euler L在18世紀對自然數的分解與合成的研究做了延伸與發展。生成函式的理論由此基本建立。
普通型母函式
母函式就是一列用來展示一串數字的掛衣架。
——赫伯特·唯爾夫 。
定義:
母函式對於任意數列 即用如下方法與一個函式聯繫起來:
母函式則稱G(x)是數列的生成函式(generating function)
其一般形式為:
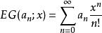
母函式指數型母函式
母函式序列 的指數型母函式為:
母函式母函式的套用
生成函式的套用簡單來說在於研究未知(通項)數列規律,用這種方法在給出遞推式的情況下求出數列的通項,生成函式是推導Fibonacci數列的通項公式方法之一,另外組合數學中的Catalan數也可以通過生成函式的方法得到 。
生成函式是說,構造這么一個多項式函式g(x),使得x的n次方係數為f(n)。 如:序列{0,1,2,3,4,5...n}的生成函式為:g(x)=0+x+2x^2+3x^3+4x^4+...+nx^n
生成函式最絕妙的是,某些生成函式可以化簡為一個很簡單的函式。也就是說,不一定每個生成函式都是用一長串多項式來表示的。比如,這個函式f(n)=1 (n當然是屬於自然數的),它的生成函式就應該是g(x)=1+x+x^2+x^3+x^4+...(每一項都是一,即使n=0時也有x^0係數為1,所以有常數項)。再仔細一看,這就是一個有無窮多項的等比數列求和嘛。如果-1<x<1,那么g(x)就等於1/(1-x)了。在研究生成函式時,我們都假設級數收斂,因為生成函式的x沒有實際意義,我們可以任意取值。於是,我們就說,f(n)=1的生成函式是g(x)=1/(1-x)。
我們舉一個例子說明,一些具有實際意義的組合問題也可以用像這樣簡單的一個函式全部表示出來。
考慮這個問題:從只有4個MM的二班選n個MM出來有多少種選法。學過簡單的排列與組合的同學都知道,答案就是C(4,n)。也就是說。從n=0開始,問題的答案分別是1,4,6,4,1,0,0,0,...(從4個MM中選出4個以上的人來方案數當然為0嘍)。那么它的生成函式g(x)就應該是g(x)=1+4x+6x^2+4x^3+x^4。這不就是……二項式展開嗎?於是,g(x)=(1+x)^4。
你或許應該知道,(1+x)^k=C(k,0)x^0+C(k,1)x^1+...+C(k,k)x^k;但你或許不知道,即使k為負數和小數的時候,也有類似的結論:(1+x)^k=C(k,0)x^0+C(k,1)x^1+...+C(k,k)x^k+C(k,k+1)x^(k+1)+C(k,k+2)x^(k+2)+...(一直加到無窮;式子看著很彆扭,自己寫到草稿紙上吧,畢竟這裡輸入數學式子很麻煩)。其中,廣義的組合數C(k,i)就等於k(k-1)(k-2)…(k-i+1)/i!,比如C(4,6)=4*3*2*1*0*(-1)/6!=0,再比如C(-1.4,2)=(-1.4)*(-2.4)/2!=1.68。後面這個就叫做牛頓二項式定理。當k為整數時,所有i>k時的C(k,i)中分子都要“越過”0這一項,因此後面C(k,k+1),C(k,k+2)之類的都為0了,與我們的經典二項式定理結論相同;不同的是,牛頓二項式定理中的指數k可以是任意實數。
我們再舉一個例子說明一些更複雜的生成函式。n=x1+x2+x3+...+xk有多少個非負整數解?這道題是學排列與組合的經典例題了。把每組解的每個數都加1,就變成n+k=x1+x2+x3+...+xk的正整數解的個數了。教材上或許會出現這么一個難聽的名字叫“隔板法”:把n+k個東西排成一排,在n+k-1個空格中插入k-1個“隔板”。答案我們總是知道的,就是C(n+k-1,k-1)。它就等於C(n+k-1,n)。它關於n的生成函式是g(x)=1/(1-x)^k。這個生成函式是怎么來的呢?其實,它就是(1-x)的-k次方。把(1-x)^(-k)按照剛才的牛頓二項式展開,我們就得到了x^n的係數恰好是C(n+k-1,n),因為C(-k,n)*(-x)^n=[(-1)^n*C(n+k-1,n)]*[(-1)^n*x^n]=C(n+k-1,n)x^n。這裡看暈了不要緊,後文有另一種方法可以推導出一模一樣的公式。事實上,我們有一個純組合數學的更簡單的解釋方法。因為我們剛才的幾何級數1+x+x^2+x^3+x^4+...=1/(1-x),那么(1+x+x^2+x^3+x^4+...)^k就等於1/(1-x)^k。仔細想想k個(1+x+x^2+x^3+x^4+...)相乘是什麼意思。(1+x+x^2+x^3+x^4+...)^k的展開式中,n次項的係數就是我們的答案,因為它的這個係數是由原式完全展開後k個指數加起來恰好等於n的項合併起來得到的。
我們引用《組合數學》上最經典的一個例題:
我們要從蘋果、香蕉、橘子和梨中拿一些水果出來,要求蘋果只能拿偶數個,香蕉的個數要是5的倍數,橘子最多拿4個,梨要么不拿,要么只能拿一個。問按這樣的要求拿n個水果的方案數。
結合剛才的k個(1+x+x^2+x^3+x^4+...)相乘,我們也可以算出這個問題的生成函式。
引用內容
g(x)=(1+x^2+x^4+...)(1+x^5+x^10+..)(1+x+x^2+x^3+x^4)(1+x)
=[1/(1-x^2)]*[1/(1-x^5)]*[(1-x^5)/(1-x)]*(1+x) (前兩個分別是公比為2和5的幾何級數,
第三個嘛,(1+x+x^2+x^3+x^4)*(1-x)不就是1-x^5了嗎)
=1/(1-x)^2 (約分,把一大半都約掉了)
=(1-x)^(-2)=C(1,0)+C(2,1)x+C(3,2)x^2+C(4,3)x^3... (參見剛才對1/(1-x)^k的展開)
=1+2x+3x^2+4x^3+5x^4+....
於是,拿n個水果有n+1種方法。我們利用生成函式,完全使用代數手段得到了答案!
如果你對1/(1-x)^k的展開還不熟悉,我們這裡再介紹一個更加簡單和精妙的手段來解釋1/(1-x)^2=1+2x+3x^2+4x^3+5x^4+....。
1/(1-x)=1+x+x^2+x^3+x^4+...是前面說過的。我們對這個式子等號兩邊同時求導數。於是,1/(1-x)^2=1+2x+3x^2+4x^3+5x^4+....。一步就得到了我們所需要的東西!不斷地再求導數,我們同樣可以得到剛才用複雜的牛頓二項式定理得到的那個結論。生成函式還有很多其它的處理手段,比如等式兩邊同時乘以、除以常數(相當於等式右邊每一項乘以、除以常數),等式兩邊同時乘以、除以一個x(相當於等式右邊的係數“移一位”),以及求微分積分等。神奇的生成函式啊。
我們用兩種方法得到了這樣一個公式:1/(1-x)^n=1+C(n,1)x^1+C(n+1,2)x^2+C(n+2,3)x^3+...+C(n+k-1,k)x^k+...。這個公式非常有用,是把一個生成函式還原為數列的武器。而且還是核武器。
接下來我們要演示如何使用生成函式求出Fibonacci數列的通項公式。
Fibonacci數列是這樣一個遞推數列:f(n)=f(n-1)+f(n-2)。我們需要求出它的生成函式g(x)。
g(x)=x+x^2+2x^3+3x^4+5x^5+8x^6+13x^7+...
等式兩邊同時乘以x,我們得到:
x*g(x)=x^2+x^3+2x^4+3x^5+5x^6+8x^7+...
就像我們前面說過的一樣,這相當於等式右邊的所有係數向右移動了一位。
我們兩式相加,我們得到:
g(x)+x*g(x)=x+2x^2+3x^3+5x^4+8x^5+...
把這最後一個式子和第一個式子好好對比一下。如果第一個式子的係數往左邊移動一位,然後把多餘的“1”去掉,就變成了最後一個式子了。由於遞推函式的性質,我們神奇地得到了:g(x)+x*g(x)=g(x)/x-1。也就是說,g(x)*x^2+g(x)*x-g(x)=-x。把左邊的g(x)提出來,我們有:g(x)(x^2+x-1)=-x。於是,我們得到了g(x)=x/(1-x-x^2)。
把x/(1-x-x^2)還原成通項公式。這不是我們剛才的1/(1-x)^n的形式,我們要把它變成這種形式。我們發現,1-x-x^2=[1-(1-√5)x/2]*[1-(1+√5)x/2] ((1-√5)/2和(1+√5)/2是怎么算出來的?顯然它們應該是x^2-x-1=0的兩個根)。那么x/(1-x-x^2)一定能表示成?/[1-(1-√5)x/2]+?/[1-(1+√5)x/2]的形式(再次抱歉,輸入數學公式很麻煩,將就看吧)。這是一定可以的,因為適當的?的取值可以讓兩個分式通分以後分子加起來恰好為一個x。?取值應該是多少呢?假設前面一個?是c1,後面那個是c2,那么通分以後分子為c1*[1-(1+√5)x/2]+c2*[1-(1-√5)x/2],它恰好等於x。我們得到這樣兩個式子:常數項c1+c2=0,以及一次項-c1*(1+√5)/2-c2*(1-√5)/2=1。這兩個式子足夠我們解出c1和c2的準確值。你就不用解了,我用的Mathematica 5.0。解出來c1=-1/√5,c2=1/√5。你不信的話你去解吧。把x/(1-x-x^2)變成了-(1/√5)/[1-(1-√5)x/2] + (1/√5)/[1-(1+√5)x/2]。我們已經知道了1/[1-(1-√5)x/2]的背後是以(1-√5)/2為公比的等比數列,1/[1-(1+√5)x/2]所表示的數列公比為(1+√5)/2。那么,各乘以一個常數,再相加,我們就得到了Fibonacci數列的通項公式:f(n)=-(1/√5)*[(1-√5)/2]^n + (1/√5)*[(1+√5)/2]^n。或許你會問,這么複雜的式子啊,還有根號,Fibonacci數列不都是整數嗎?神奇的是,這個充滿根號的式子對於任何一個自然數n得到的都是整數。熟悉用特徵方程解線性遞推方程的同學應該知道,以上過程實質上和找特徵根求解沒有區別。事實上,用上面所說的方法,我們可以求出任何一個線性齊次遞推方程的通項公式。什麼叫做線性齊次遞推呢?就是這樣的遞推方程:f(n)等於多少個f(n-1)加上多少個f(n-2)加上多少個f(n-3)等等。Fibonacci數列的遞推關係就是線性齊次遞推關係。
我們最後看一個例子。我們介紹硬幣兌換問題:我有1分、2分和5分面值的硬幣。請問湊出n分錢有多少種方法。想一下剛才的水果,我們不難得到這個問題的生成函式:g(x)=(1+x+x^2+x^3+...)(1+x^2+x^4+...)(1+x^5+x^10+..)=1/[(1-x)(1-x^2)(1-x^5)]。把它變成通項公式。我們的步驟同剛才的步驟完全相同。我們把(1-x)(1-x^2)(1-x^5)展開,得到1-x-x^2+x^3-x^5+x^6+x^7-x^8。我們求出-1+x+x^2-x^3+x^5-x^6-x^7+x^8=0的解,得到了以下8個解:-1,1,1,1,-(-1)^(1/5),(-1)^(2/5),-(-1)^(3/5),(-1)^(4/5)。解得(1-x)(1-x^2)(1-x^5)=(1+x)(1-x)^3(1+(-1)^(1/5) x)()()() (省略不寫了)。注意那個(1-x)^3。由於等根的出現,我們不得不把(1-x)^3所包含的(1-x)和(1-x)^2因子寫進一會兒的分母里,不然會導致解不出合適的c來。你可以看到很多虛數。不過沒關係,這些虛數同樣參與運算,就像剛才的根式一樣不會影響到最後結果的有理性。然後,我們像剛才一樣求出常數滿足1/(1-x)(1-x^2)(1-x^5)=c1/()+c2/(1-x)+c3/(1-x)^2+c4/(1-x)^3...+c8/()。
生成函式還有很多東西,例如:Catalan數列,指數生成函式等。
詳解
在數學中,某個序列的母函式是一種形式冪級數,其每一項的係數可以提供關於這個序列的信息。使用母函式解決問題的方法稱為母函式方法。
母函式可分為很多種,包括普通母函式、指數母函式、L級數、貝爾級數和狄利克雷級數。對每個序列都可以寫出以上每個類型的一個母函式。構造母函式的目的一般是為了解決某個特定的問題,因此選用何種母函式視乎序列本身的特性和問題的類型。
這裡先給出兩句話,不懂的可以等看完這篇文章再回過頭來看:“把組合問題的加法法則和冪級數的t的乘冪的相加對應起來”
“母函式的思想很簡單—就是把離散數列和冪級數一一對應起來,把離散數列間的相互結合關係對應成為冪級數間的運算關係,最後由冪級數形式來確定離散數列的構造. “
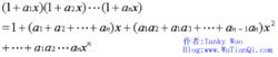
我們首先來看下這個多項式乘法:
母函式詳解由此可以看出:
1.x的係數是a1,a2,…an 的單個組合的全體。
2. x2的係數是a1,a2,…a2的兩個組合的全體。
………
n. xn的係數是a1,a2,….an的n個組合的全體(只有1個)。
由此得到:如有圖
母函式詳解母函式的定義:
對於序列a0,a1,a2,…構造一函式:
母函式詳解圖三
稱函式G(x)是序列a0,a1,a2,…的母函式
這裡先給出2個例子,等會再結合題目分析:第一種:
有1克、2克、3克、4克的砝碼各一 枚,能稱出哪幾種重量?每種重量各有幾種可能方案?
考慮用母函式來解決這個問題:
我們假設x表示砝碼,x的指數表示砝碼的重量,這樣:
1個1克的砝碼可以用函式1+x表示,
1個2克的砝碼可以用函式1+x∧2表示,
1個3克的砝碼可以用函式1+x∧3表示,
1個4克的砝碼可以用函式1+x∧4表示,
上面這四個式子懂嗎?
我們拿1+x^2來說,前面已經說過,x表示砝碼,x的指數表示砝碼的重量!即這裡就是一個質量為2的砝碼,那么前面的 1表示什麼?按照上面的理解,1其實應該寫為:1*x^0,即1代表重量為2的砝碼數量為0個。(理解!)
不知道大家理解沒,我們這裡結合前面那句話:
“ 把組合問題的加法法則和冪級數的t的乘冪的相加對應起來“
1+x^2表示了兩種情況:1表示質量為2的砝碼取0個的情況,x表示質量為2的砝碼取1個的情況。這裡說下各項係數的意義:
在x前面的係數a表示相應質量的砝碼取a個,而1就表示相應砝碼取0個,這裡可不能簡單的認為相應砝碼取0個就該是0*x(想下為何?結合數學式子)。
所以,前面說的那句話的意義大家可以理解了吧?幾種砝碼的組合可以稱重的情況,可以用以上幾個函式的乘積表示:
(1+x)(1+x∧2)(1+x∧3)(1+x∧4)
= (1+x+x^2+x^3)(1+x^3+x^4+x^7)
=1+x+x^2+2x^3+2x^4+2x^5+2x^6+2x^7+x^8+x^9+x^10
從上面的函式知道: 可稱出從1克到10克,係數便是方案數。(!!!經典!!!)
例如右端有2x項,即稱出5克的方案有2:5=3+2=4+1;同樣,6=1+2+3=4+2;10=1+2+3+4。
故稱出6克的方案有2,稱出10克的方案有1 。
接著上面,接下來是第二種情況:求用1分、2分、3分的郵票貼出不同數值的方案數:
大家把這種情況和第一種比較有何區別?第一種每種是一個,而這裡每種是無限的。
母函式詳解以展開後的x為例,其係數為4,即4拆分成1、2、3之和的拆分數為4;
即 :4=1+1+1+1=1+1+2=1+3=2+2
這裡再引出兩個概念整數拆分和拆分數:
所謂 整數拆分即把整數分解成若干整數的和(相當於把n個無區別的球放到n個無標誌的盒子,盒子允許空,也允許放多於一個球)。
整數拆分成若干整數的和,辦法不一,不同拆分法的總數叫做 拆分數。
以上面的第二種情況每種種類個數無限為例, 給出 模板:
// Author: Tanky Woo
// 母函式詳解
母函式詳解#include <iostream>
using namespace std;
const int _max = 10001;
// c1是保存各項質量砝碼可以組合的數目
// c2是中間量,保存每一次的情況
int c1[_max], c2[_max];
int main()
{ //int n,i,j,k;
int nNum; //
int i, j, k;
while(cin >> nNum)
{
for(i=0; i<=nNum; ++i) // ---- ①
{
c1[i] = 1;
c2[i] = 0;
}
for(i=2; i<=nNum; ++i) // ----- ②
{
for(j=0; j<=nNum; ++j) // ----- ③
for(k=0; k+j<=nNum; k+=i) // ---- ④
{
c2[j+k] += c1[j];
}
for(j=0; j<=nNum; ++j) // ---- ⑤
{
c1[j] = c2[j];
c2[j] = 0;
}
}
cout << c1[nNum] << endl;
}
return 0;
}
我們來解釋下上面標誌的各個地方:
① 首先對c1初始化,由第一個表達式(1+x+x+..x)初始化,把質量從0到n的所有砝碼都初始化為1;
② i從2到n遍歷,這裡i就是指第i個表達式,上面給出的第二種母函式關係式里,每一個括弧括起來的就是一個表達式;
③ j 從0到n遍歷,這裡j就是(前面i個表達式累乘的表達式)里第j個變數。如(1+x)(1+x^2)(1+x^3),j先指示的是1和x的係數,i=2執行完之後變為
(1+x+x^2+x^3)(1+x^3),這時候j應該指示的是合併後的第一個括弧的四個變數的係數;
④ k表示的是第j個指數,所以k每次增i(因為第i個表達式的增量是i);
⑤ 把c2的值賦給c1,而把c2初始化為0,因為c2每次是從一個表達式中開始的 。
母函式的性質
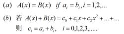
假設兩個序列{a}, {b},對應的母函式分別為A(x),B(x)
記序列{a}的母函式A(x)=Σax
記序列{b}的母函式B(x)=Σbx
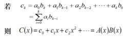
母函式性質一:
母函式性質二:
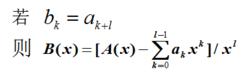
母函式性質三:
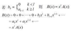
母函式性質四:
母函式性質五:
母函式性質六:
母函式性質七:
母函式
