定義
矩量母函式
矩量母函式
矩量母函式
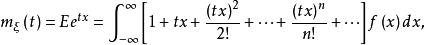
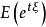
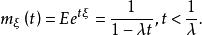
矩量母函式定義1(矩量母函式)設 為隨機變數,若存在某正實數 ,使得對於區間 中任一實數t,數學期望 均存在,則稱
矩量母函式
矩量母函式為隨機變數 或其分布的 矩量母函式(moment generating function),簡記為mgf.
矩量母函式另外,稱矩量母函式的對數為累積量生成函式。
與特徵函式的聯繫
矩量母函式
矩量母函式定義2(特徵函式)設 為隨機變數,稱復隨機變數 的數學期望
矩量母函式
矩量母函式為 的特徵函式,其中t為實數。
特徵函式具有以下性質:
(1)如果兩個隨機變數具有相同的特徵函式,那么它們具有相同的機率分布; 反之, 如果兩個隨機變數具有相同的機率分布, 它們的特徵函式也相同(顯然)。
(2)獨立隨機變數和的特徵函式等於每個隨機變數特徵函式的乘積。
矩量母函式綜合定義1和定義2,可得隨機變數 的特徵函式與其mgf之間存在如下關係:
矩量母函式對比特徵函式的性質,隨機變數的mgf也具有如下常用性質:
(1)如果兩個隨機變數具有相同的mgf,那么它們具有相同的機率分布; 反之, 如果兩個隨機變數具有相同的機率分布, 它們的mgf也相同。(即在mgf存在的情況下,隨機變數的mgf與其機率分布相互唯一確定。)
(2)獨立隨機變數和的mgf等於每個隨機變數mgf的乘積。
性質
矩量母函式以連續隨機變數為例,離散型隨機變數可做相同變換。
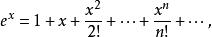
(1)由泰勒級數
矩量母函式有
矩量母函式即
矩量母函式
矩量母函式
矩量母函式其中, 是隨機變數 的i階中心矩。
(2)m(-t)是雙側拉普拉斯變換(Laplace Transform)。
(3)不管機率分布是不是連續,矩量母函式都可以用黎曼-斯蒂爾切斯積分給出:
矩量母函式其中,F(x)是累積分布函式(Cumulative Distribution Function, 簡稱CDF)。
套用
常見分布的mgf
矩量母函式對於隨機變數,有如下結論:
矩量母函式
矩量母函式
矩量母函式(1)若,則的mgf為
矩量母函式
矩量母函式(2)若,則的mgf為
矩量母函式
矩量母函式
矩量母函式
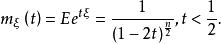
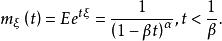
矩量母函式(3)若服從參數為的指數分布,則的mgf為
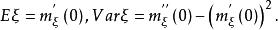
矩量母函式求隨機變數的矩
矩量母函式
矩量母函式
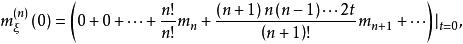
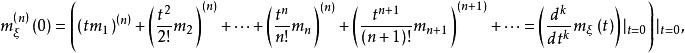
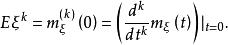
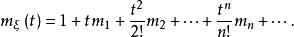
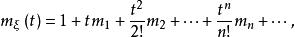
矩量母函式設隨機變數 的矩量母函式存在,則 的各階矩存在且可由矩量母函式表示。具體地, 的k階矩為矩量母函式在0點的k階導數值,即對任意正整數k,有
矩量母函式特別地,有
矩量母函式證明:由泰勒級數
矩量母函式有
矩量母函式
矩量母函式
矩量母函式
矩量母函式即其中,是隨機變數的i階中心矩。上式左右兩邊同時對t求n階導,得到
矩量母函式故
矩量母函式即
矩量母函式證畢。

