正交系
正文
互相正交的函式系的簡稱。平面上兩個向量α=(α1,α2)和b=(b1,b2)的正交性可用內積
刻畫。對[α,b)]上平方可積函式ƒ(x)和g(x),可用
定義內積,而且用〈ƒ,g〉=0定義正交性。在這個定義下,上面許多幾何事實可以移植到該函式空間。由此便產生了正交系的概念:設
都異於零且兩兩正交,則稱{φk(x)}是【α,b】上的正交函式系。又,若
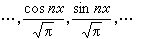
,則稱正交系{φk(x)}是就範的。正交系在分析學中有著重要地位。在許多數學分支,例如,微分方程、積分方程、計算方法、實函式、複函數與泛函分析中常會遇到它們。 正交系的例子 最早出現且也是最重要的正交系是[-π,π]上就範正交的三角函式系:

。它的出現與弦振動問題有著密切聯繫。對它的深入研究曾對整個分析學的發展起過很大的促進作用。除三角函式系外,正交多項式系、哈爾系、拉德馬赫爾系和沃爾什系也是有較大理論和套用價值的正交系。哈爾系、拉德馬赫爾系和沃爾什系都是 【0,1】上就範正交系。 哈爾系
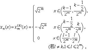
是由匈牙利數學家 A.哈爾於1910年提出的,定義如下: 
若
,那么 
(x)等於左、右極限的算術平均。 拉德馬赫爾系
是德國數學家H.拉德馬赫爾於1922年提出的,定義如下: 
是由美國數學家J.L.沃爾什於1923年提出的,定義如下: 

)。 正交系的完備性 平面上任意兩個正交的單位向量{ e1,e2} 都是一組基,即任一平面向量α可表示為

的形式。【α,b】上平方可積函式空間L2【α,b】中的函式是否也可用正交系作類似的表示呢?回答是有時可以,有時不可以。 這取決於正交系的完備性。 設{φn(x)}是[α,b)]上就範正交系,
,稱
為ƒ(x) 關於正交系{φn(x)}的傅立葉係數。假如
僅當 ƒ(x)呏0時才成立,則稱 {φn(x)}是完備的。前面所說的三角函式系、哈爾系、沃爾什系都是完備的,拉德馬赫爾系不是完備的。若{φn(x)}是完備的就範正交系,那么對於一切ƒ(x)∈L2【α,b】有展開式
。此式的含義是其部分和序列
在L2【α,b)】中收斂於ƒ(x)。反之,若上式對一切ƒ(x)∈L2【α,b】成立,則{φn(x)}必須是完備的。 抽象空間的正交系 一般地,設 H是希爾伯特空間,則當內積〈x,y〉=0時,稱元素x和y是正交的。正交系是指異於零且相互正交的元素系。同樣可以定義就範、傅立葉係數和完備性等概念。當正交系最多只有可列個元素時,可以證明,就範正交系{xn}的完備性是一切元素y∈H有展開式
的充要條件。通常稱此展開式為按{xn}的正交展開或傅立葉展開。
