簡介
完全正交系
完全正交系是一種特殊的正交系,該系的正交補中只有零元素。
完備正交系設是內積空間H中的規範正交系,如果F ={0},則稱F是H中的完全正交系。
定義
完備正交系如果對每個x∈H,F使帕塞瓦爾等式成立,就稱F是完備正交系。
性質
在希爾伯特空間中,下列三條等價:
1.F是完全正交系。
2.F是完備正交系。
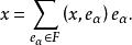
完備正交系3.對每個x∈H,都能展開為傅立葉級數
規範正交系
設M是內積空間X的一個不含零子集,若M中向量兩兩正交,則稱M為X中的正交系,又若M中向量的範數都為1,則稱M為X中的規範正交系。
完備正交系元素的正交性在內積空間和Hilbert空間中扮演著十分重要的角色。在n維歐氏空間,選定n個相互正交的向量,則形成n維空間中的一組正交基,也就是說在空間中建立了一組坐標系,空間中的任何一個元素都可以由這組坐標的線性組合表示出來。
