向量
在數學中,向量(也稱為歐幾里得向量、幾何向量、矢量),指具有大小(magnitude)和方向的量。它可以形象化地表示為帶箭頭的線段。箭頭所指:代表向量的方向;線段長度:代表向量的大小。與向量對應的只有大小,沒有方向的量叫做數量(物理學中稱標量)。
向量的記法:印刷體記作粗體的字母(如 a、b、u、v),書寫時在字母頂上加一小箭頭“→”。 如果給定向量的起點(A)和終點(B),可將向量記作AB(並於頂上加→)。在空間直角坐標系中,也能把向量以數對形式表示,例如Oxy平面中(2,3)是一向量。
在物理學和工程學中,幾何向量更常被稱為矢量。許多物理量都是矢量,比如一個物體的位移,球撞向牆而對其施加的力等等。與之相對的是標量,即只有大小而沒有方向的量。一些與向量有關的定義亦與物理概念有密切的聯繫,例如向量勢對應於物理中的勢能。
幾何向量的概念線上性代數中經由抽象化,得到更一般的向量概念。此處向量定義為向量空間的元素,要注意這些抽象意義上的向量不一定以數對表示,大小和方向的概念亦不一定適用。因此,平日閱讀時需按照語境來區分文中所說的"向量"是哪一種概念。不過,依然可以找出一個向量空間的基來設定坐標系,也可以透過選取恰當的定義,在向量空間上介定範數和內積,這允許我們把抽象意義上的向量類比為具體的幾何向量。
定義
單位向量是指模等於1的向量。由於是非零向量,單位向量具有確定的方向。
單位向量
單位向量一個非零向量除以它的模,可得所需單位向量。設原來的向量是 ,則與它方向相同的的單位向量 ;
單位向量一個單位向量的平面直角坐標繫上的坐標表示可以是:( n, k) ,則有 n²+ k²=1。其中k/n就是原向量在這個坐標系內的所在直線的斜率。這個向量是它所在直線的一個單位方向向量。不同的單位向量,是指它們的方向不同。對於任意一個非零向量 a,與它同方向的單位向量記作 。
性質
單位向量說來簡單,但是可以總結出一些性質,套用恰當,會給解題帶來方便。與單位向量有關的性質如下:
(1)單位向量的長度為1個單位,方向不受限制.
單位向量(2)起點為原點的單位向量,終點分布在單位圓上,常可設為 ,反之亦然。
單位向量(3)如果AB為非零向量,那么與AB共線的單位向量為
單位向量
單位向量(4)已知角BAC,如果向量 ,那么 是角BAC平分線的方向。
例題
單位向量
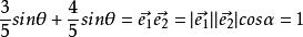
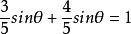
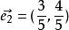
單位向量例1,已知 ,求 的值。
單位向量
單位向量
單位向量
單位向量
單位向量
單位向量
單位向量
單位向量
單位向量解答:設 、 ,則 ,所以 、 平行。所以 ,所以 、 ,所以 。
單位向量
單位向量
單位向量
單位向量
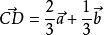
單位向量例2,在三角形ABC中,D在AB上,CD平分角ACB,若 、 , , 則 等於?
單位向量由上述性質(4)可得, 。

