向量
在數學中,向量(也稱為歐幾里得向量、幾何向量、矢量),指具有大小(magnitude)和方向的量。它可以形象化地表示為帶箭頭的線段。箭頭所指:代表向量的方向;線段長度:代表向量的大小。與向量對應的只有大小,沒有方向的量叫做數量(物理學中稱標量)。
向量的記法:印刷體記作粗體的字母(如a、b、u、v),書寫時在字母頂上加一小箭頭“→”。 如果給定向量的起點(A)和終點(B),可將向量記作AB(並於頂上加→)。在空間直角坐標系中,也能把向量以數對形式表示,例如Oxy平面中(2,3)是一向量。
在物理學和工程學中,幾何向量更常被稱為矢量。許多物理量都是矢量,比如一個物體的位移,球撞向牆而對其施加的力等等。與之相對的是標量,即只有大小而沒有方向的量。一些與向量有關的定義亦與物理概念有密切的聯繫,例如向量勢對應於物理中的勢能。
幾何向量的概念線上性代數中經由抽象化,得到更一般的向量概念。此處向量定義為向量空間的元素,要注意這些抽象意義上的向量不一定以數對表示,大小和方向的概念亦不一定適用。因此,平日閱讀時需按照語境來區分文中所說的"向量"是哪一種概念。不過,依然可以找出一個向量空間的基來設定坐標系,也可以透過選取恰當的定義,在向量空間上介定範數和內積,這允許我們把抽象意義上的向量類比為具體的幾何向量。
向量的模
非零向量向量AB的大小,也就是向量AB的長度(或稱模),記作。
非零向量平面向量(x,y),模長是:。
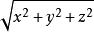
非零向量空間向量(x,y,z),其中x,y,z分別是三軸上的坐標,模長是:。
零向量
長度為零的向量是零向量, 也即模等於零的向量,記作0。
注意零向量的方向是無法確定的。但我們規定:零向量的方向與任一向量平行,與任意向量共線,與任意向量垂直。零向量的方向不確定,但模的大小確定。零向量與任意向量的數量積為0。
定義
非零向量是指長度不為零的向量。
性質
一般地,設a≠ 0,b≠ 0,a與b的夾角為θ,數量積a·b的符號與a、b夾角的取值範圍具有以下充要條件:
①θ為銳角 a·b> 0且a、b不同向;
②θ為直角 a·b= 0;
③θ為鈍角 a·b< 0且a、b不反向。
在涉及到兩個向量夾角的問題中應注意正確使用,否則極易出錯。
相關拓展
一個非零向量的單位向量有幾個?
與它平行的單位向量有2個,與它同向的單位向量有1個。
教材沒有定義過“一個非零向量的單位向量”到底是指哪一種含義。這類問題要明確意義,具體情況具體分析。
說某個非零向量的單位向量:只有一個,就是和它同方向的單位向量
說與某個非零向量共線的單位向量:有兩個,一個同方向,一個反方向
說單位向量有多少個?有無數個,任意方向都有一個單位向量.

