定義
線性型又稱線性函式或線性齊次,是域F上的線性空間V到域F上的一個線性映射。如果f是從V到F的映射,對V的向量 x,y,F的元素a,b滿足f(a x+b y)=af( x)+bf( y),那么f就稱為V上的線性型或線性映射。
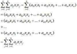
若 e1, e2,……, en是V的一組基,則V的每一個向量x都可以表示成x=x1 e1+x2 e2+……xn en,式中xi在F域中,i=1,2,……,n。因此對於V上的線性型f有f( x)=x1f( e1)+x2f( e2)+……+xnf( en)或記成f(x1,x2,……,xn)=a1x1+a2x2+……+anxn,式中f( ei)=ai,i=1,2,……,n。
線性關係
兩個變數之間存在一次方函式關係,就稱它們之間存線上性關係。正比例關係是線性關係中的特例,反比例關係不是線性關係。更通俗一點講,如果把這兩個變數分別作為點的橫坐標與縱坐標,其圖象是平面上的一條直線,則這兩個變數之間的關係就是線性關係。即如果可以用一個二元一次方程來表達兩個變數之間關係的話,這兩個變數之間的關係稱為線性關係,因而,二元一次方程也稱為線性方程。推而廣之,含有n個變數的一次方程,也稱為n元線性方程,不過這已經與直線沒有什麼關係了。
數學中 Y=k*X (k為常數),Y和X就是線性關係。
線性映射
線性變換參考圖線性空間V到自身的映射通常稱為V上的一個變換。
同時具有以下定義:
線性空間V上的一個變換A稱為線性變換,如果對於V中任意的元素α,β和數域P中任意k,都有
A(α+β)=A(α)+A(β)
A (kα)=kA(α)
線性代數研究的一個對象,即向量空間到自身的保運算的映射。例如,對任意線性空間V,位似是V上的線性變換,平移則不是V上的線性變換。對線性變換的討論可藉助矩陣實現。σ關於不同基的矩陣是相似的。Kerσ={a∈V|σ(a)=θ}(式中θ指零向量)稱為σ的核,Imσ={σ(a)|a∈V}稱為σ的象,是刻畫σ的兩個重要概念。
對於歐幾里得空間,若σ關於標準正交基的矩陣是正交(對稱)矩陣,則稱σ為正交(對稱)變換。正交變換具有保內積、保長、保角等性質,對稱變換具有性質:〈σ(a),β〉=〈a,σ(β)〉。
在數學中,線性映射(也叫做線性變換或線性運算元)是在兩個向量空間之間的函式,它保持向量加法和標量乘法的運算。術語“線性變換”特別常用,尤其是對從向量空間到自身的線性映射(自同態)。
在抽象代數中,線性映射是向量空間的同態,或在給定的域上的向量空間所構成的範疇中的態射。
例題
線性型
線性型
線性型
線性型
線性型
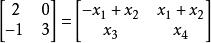
線性型在中,求在基,,,下的坐標。
線性型線上性空間中,滿足線性型關係。設所求坐標為:
線性型則
線性型即,
線性型所以,。

