基本介紹
反插值
反插值
反插值
反插值
反插值
反插值
反插值
反插值
反插值
反插值
反插值反插值(inverse interpolation)是一種插值法,指利用插值函式反求滿足某條件之自變數的近似值。設給定函式在個不同點上的值,欲求使之的近似值,這裡是含的區間[α,β]中之某個值。反插值就是求的反函式在c處的近似值 。
方法步驟
反插值
反插值
反插值
反插值
反插值
反插值
反插值
反插值
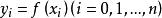
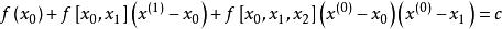
反插值求的反函式在c處的近似值通常可由的 牛頓插值公式,近似代替,再令,求出的近似,一般用逐次逼近法,先取使得滿足,即
反插值
反插值
反插值
反插值
反插值
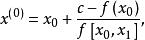
反插值再求,使它滿足,這裡及為的一階與二階均差。由上式得到
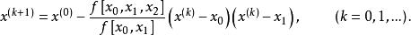
反插值然後用疊代公式
反插值
反插值
反插值
反插值
反插值
反插值
反插值
反插值疊代至與在所要求精度下相等為止。也可直接利用反函式以為節點的牛頓插值多項式,用近似。
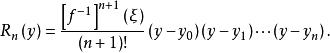
反插值及餘項
反插值假設函式以表格形式給出如下:
反插值 | 反插值 | 反插值 | 反插值 | 反插值 | 反插值 |
反插值 | 反插值 | 反插值 | 反插值 | 反插值 | 反插值 |
反插值
反插值反插值就是要以函式的值來求自變數的的值。
反插值
反插值
反插值
反插值
反插值
反插值設函式在含的區間上嚴格單調,則由高等數學知識可知,與是一一對應的,即存在反函式,此時反插值問題有唯一解存在 。
反插值
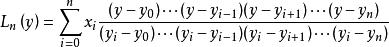
反插值一般情況下,可用 拉格朗日插值多項式或 牛頓插值多項式,只須將與的位置互換即可。如用拉格朗日插值多項式對上表作反插值有
反插值反插值的餘項為
反插值
反插值
反插值
反插值
反插值
反插值
反插值
反插值
反插值
反插值 