複變函數逼近
正文
在複平面的某個閉集 F上用較為簡單的函式(例如多項式或有理函式)來近似地表示較為複雜的函式(例如ƒ(z∈A(F),A(F)表示所有在F上連續,在F的內部F0上解析的函式類)。複變函數逼近的歷史最早可以追溯到1885年的龍格定理:設 F的余集F0是含有∞的區域且ƒ(z)在F上解析,則有ƒ∈P(F),P(F)表示所有在F上能被多項式逼近的函式ƒ構成的類,即任給ε>0,存在多項式P, 使
。這裡要求ƒ在F上解析的條件是很強的,因此以後有不少工作就從事於減弱這個要求。此外還研究用有理函式、亞純函式、全純函式的逼近以及研究這些逼近的速度,這就是通常函式逼近論中的各種定性及定量問題,各種空間中的逼近等等。由於複平面上集合F 的複雜性以及函式類的多樣性,給研究帶來了種種困難。早期J.L.沃爾什、М.Α.拉夫連季耶夫、M.B.克爾德什、M.M.傑爾巴強、A.Л.沙吉尼揚、C.H.梅爾捷良以及近期的A.Γ.維圖什金、A.A.貢恰爾、B.K.賈德克及他們的學生們都作出重要的貢獻。目前__PLACE_0_HOLDER__已發展成為函式論中的一個重要分支。 緊集K上的多項式逼近 最主要的結果是在 1951年由梅爾捷良得到的,從此結束了1885年由龍格開始,經過沃爾什(K是約當曲線或約當弧),拉夫連季耶夫(K0=空集Ø),克爾德什(K是閉區域)等一段漫長的歷史。梅爾捷良的結果如下:要使A(K)=P(K)的充要條件是K0是區域。事實上,梅爾捷良得到更為一般的有理函式逼近的結果,並且還得到了逼近速度的估計式。
緊集K上的有理函式逼近 當緊集K的余集Kc不是區域時,自然會提出有理函式的逼近問題。當Kc是由有限多個連通分支組成時,正如梅爾捷良指出的那樣,有理函式逼近總是成立的。但當Kc是由無限多個連通分支組成時,情況就複雜多了。1938年A.羅思指出,存在函式ƒ0∈A(K),但ƒ0唘R(K)(R(K)表示所有在K上能被有理函式逼近的函式ƒ構成的類,即任給ε>0,存在有理函式R,使
)。因此有興趣的是尋找加在K上的充要條件,使得A(K)=R(K)。1959年維圖什金對於無內點的K,徹底解決了這個問題。但是對於一般的K,只是在1967年才給出了完美的解決。為了敘述這個重要的結果,先定義1962年Ε.∏.多爾任科引進解析容量的概念:設E是有界集,C(E,1)是所有在全平面上連續,其模不大於1,在∞處取值為0,且在E的一個緊子集的余集上解析的函式所構成的集合,則定義E的解析容量為
,其中r(E,ƒ)為ƒ∈C(E,1)在∞處的留數。維圖什金的結果為:A(K)=R(K)的充要條件為下列兩者之一: ① 對任意有界開集G,有α(G\Kc)=α(G\K);
② 對K的邊界дK上任意點z,有
,
此外還研究按K的面積平均逼近,以及區域邊界上的積分平均逼近等問題。
閉集F上的亞純函式逼近 設G是區域,用M (G)記在G內亞純的函式類。設F嶅G,在F上用M (G)中的函式逼近A(F)中的函式問題比用有理函式進行逼近更為廣泛,但又與它密切相關。1976年羅思證明,ƒ∈A(F)在F上能被M (G)中函式逼近的充要條件是對於任何一個緊子集K嶅F,有
(
為ƒ 在其定義域的子集K上的限制)。由此可以得到很多特殊情況下的結果,例如ƒ在F上全純(即解析)時,ƒ 就可以在F上被M (G)中函式逼近。 閉集F上的全純函式逼近 設G是區域,用Hol(G)記在G內全純(解析)的函式類。設F嶅G,用G*記G加一個理想點“∞”以後的單點緊化區域:
。1968年H.Y.阿拉克良得到,ƒ∈A(F)可以通過Hol(G)中函式在F上逼近的充要條件為:①G*\F是連通集;②G*\F在∞處局部連通,即對∞的每一個鄰域U,存在一個連通集Z嶅U,使得 ∞為Z的內點。這個結果在研究解析函式的邊界性質和函式值分布理論中有很重要的作用。 相切逼近 粗糙地說,就是可以以任意快的速度實現逼近。設G是區域,閉集F嶅G,ƒ∈A(F)。若對F上任意正連續函式ε(z),存在g∈Hol(G),使得|ƒ(z)-g(z)|<ε(z)(z∈F),則稱ƒ在F上有相切逼近,此時稱F是G內的卡萊曼集。關於亞純函式逼近也有類似的定義。最早卡萊曼對G是整個複平面,證得整個實軸是卡萊曼集。後來克爾德什與拉夫連季耶夫對於G是整個複平面,給出了一般的沒有內點的閉集F是卡萊曼集的充要條件:存在一個正值函式r(t)↑+∞(t→+∞),使得對於F的余集Fc上的任何一點ζ,可以用一條位於F∪{|z-ζ|<r|ζ|}外的曲線將ζ與無窮遠點連結起來。Α.Б.涅爾謝相對於一般的G與F給出了F是卡萊曼集充要條件。
非卡拉西奧多里區域G的逼近 若區域G的邊界不等於閉區域強的余集強c的邊界,則稱G為非卡拉西奧多里區域。這類區域最典型的有帶有割線的約當區域或等價於相切於一點的兩個圓周所圍成的“月形區域”。對於這種區域ƒ(強)≠P(強),因此可以提出加權逼近問題:對ƒ∈A(強),
是否成立,其中h(z)是定義在強上的某個正函式,稱e-h(z)為權函式,而下確界是對於所有多項式取的;或按面積平均逼近的問題: 
目前還有很多工作研究多項式在無界曲線和無界區域上的逼近問題,更一般地,研究函式系
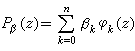
的線性組合和其他函式系在無界曲線和無界區域上的逼近問題,其中{λn}可以是複數序列。 定性理論 Α.Η.柯爾莫哥洛夫得到了複數域上最佳逼近多項式的特徵性質:設φk(z)(k=0,1,2,…,n),ƒ(z)都是緊集 K上的連續函式,要使
是{φk(z)}的線性組合在K上為ƒ 的最佳逼近元的充要條件是對於任何的多項式
,有
,
定量理論 象通常函式逼近論中一樣由正定理和逆定理兩部分組成,反映了函式的結構性質與最佳逼近值趨向於零的速度之間的關係。設K是緊集,l=дK是其邊界。又設Kc是單連通區域,函式z=ψ(w)將|w|>1共形映射到Kc,ψ(∞)=∞,ψ′(∞)>0,而w=φ(z)是其反函式。設ψ(w)在│w│≥1上連續,在│w│=1上絕對連續,且ГR是在映射z=ψ(w)下│w│=R>1的像,稱它為等勢線。記
是z∈l到
之間的距離。最早,С.Η.伯恩斯坦、W.E.休厄爾在補充假設了ƒ(z)在ГR(R>1)內解析的條件下,得到
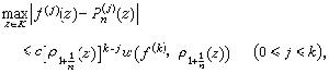
趨向於零的速度至少為1/Rn,其中Pn是n次多項式。後來,梅爾捷良,С.Я.阿爾佩爾在關於邊界 l的光滑性作出種種假設下,對ƒ∈A(K) 研究了ρn(ƒ;K)→0的速度。1972年 T.科瓦里對逐段光滑邊界研究了 ρn(ƒ;K)。 近年有不少工作研究|ƒ(z- ρn(z)|的點態估計,代替了通常函式逼近論中的階1/n,這裡用
來刻畫。賈德克及其學生們在這個方向上得到一系列結果。他們的區域是很廣泛的(只要區域K的邊界上任意二點之間的弧長與弦長之比有界就行)。這裡敘述Β.И.別雷的結果:設l是│w│=1經過q擬共形變換而得到的閉曲線。若ƒ∈A(K)且
在K上連續,則對任何自然數n≥k,存在n次多項式Pn(z),使 
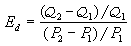
複變函數插值 這裡典型的問題是:給了兩個複數序列{zi},{wi},其中zi互不相同,研究在什麼條件下存在ƒ(z)(有一定的分析性質),使 ƒ(zi)=wi(i=1,2,…)。這裡{zi}經常位於複平面上的某個區域G 中(G也可以是全平面)。對於函式ƒ(z)除了解析性以外,還可以要求滿足一些其他的條件。例如,設G是|z|<1,|zi|<1,可以要求ƒ(z∈hp,0<p ≤∞(見hp空間)。R.奈望林納在h∞中考慮這個問題,給出了加在{wi}上的一個充要條件,但是這個條件很不實用。1958年L.卡爾森解決了這個問題,用求極值的方法給出了一個容易判別的充要條件:
。
1974年傑爾巴強提出重插值問題,他設{zi}中可以有相同的,且用 sk表示 zk在 {z1, z2,…, zk}中出現的次數,則可以問,要使在hp(0<p ≤+∞)中存在函式ƒ(z),滿足
的充要條件是什麼?傑爾巴強及其阿爾美尼亞的同事們用雙正交函式系的方法在假設
的條件下(這也是必要條件)得到的充要條件是 
他們還在上半平面hp空間研究這一類問題,這與不完備函式系的完備化,不完備函式系閉包中基函式等一系列問題有關。
複變函數插值中另一類問題是:在區域強上給定點列{zi},設函式ƒ(z)在G內解析,強上連續,n次多項式Pn(z)滿足Pn(zi)=ƒ(zi),1≤i≤n+1,問Pn(z)在強上是否一致收斂到ƒ(z)。一般說來,這是不成立的。對函式ƒ(z)和{zi}進一步加什麼條件才可能成立,這方面也有一些研究工作。
此外還可以在全平面上研究這一類問題,且要使函式ƒ(z)為有窮級整函式或其他類型函式。這方面A.Ф.列昂季耶夫做了很多工作,並在研究狄里克雷級數及其他一些問題中有大量套用。
如果將ƒ(zi)看作泛函,則A.O.蓋爾豐德研究了一般泛函的存在問題,其中也包括所謂阿貝爾-貢恰洛夫問題,即求函式ƒ(z),滿足
。蓋爾豐德還套用牛頓級數解決了希爾伯特一個有關超越數的問題。 
