基礎知識
先介紹平面曲線的有關概念。
單連通區域
單連通區域
單連通區域
單連通區域
單連通區域
單連通區域
單連通區域
單連通區域
單連通區域
單連通區域
單連通區域
單連通區域
單連通區域定義1 設平面曲線 ,其中 是實的 連續 函式,那么曲線C就稱為 連續曲線, 分別稱為C的 起點與 終點,若在 上, 都連續且對每一個t,有 ,那么曲線C稱為 光滑曲 線。由幾段依次相接的光滑曲線所組成的曲線稱為 逐段光滑曲線。對於滿足 的 與 ,當 且 成立時,點 稱為曲線C的 重點。沒有重點的連續曲線C稱為 簡單曲線或 若爾當(Jardan)曲線。若簡單曲線C的起點與終點重合,即 ,那么曲線C稱為 簡單閉曲線。如圖1所示。
圖1(a)
圖1(b)任意一條簡單閉曲線C把整個複平面唯一地分成三個互不相交的點集,其中除去C以外,一個是有界區域,稱為C的 內部,另一個是無界區域,稱為C的 外部,C為它們的公共邊界,簡單閉曲線的這一性質,其幾何直觀意義是很清楚的。
定義2 複平面上的一個區域D,如果在其中任作一條簡單閉曲線,而曲線的內部總屬於D,就稱D為 單連通區域(圖2(a));一個區域如果不是單連通區域,就稱為 多連通區域(圖2(b))。
一條簡單閉曲線的內部是單連通區域(圖2(a)),單連通區域D具有這樣的特徵:屬於D的任何一條簡單閉曲線,在D內可以經過連續的變形而縮成一點,而多連通區域就不具備這個特徵。
圖2(a)
圖2(b)單連通區域的一些性質
單連通區域
單連通區域
單連通區域我們現在將概述單連通區域的一些性質,這些性質闡明它在全純函式理論中起著重要作用。在這些性質中,(a)和(b)稱為的內拓撲性質;(c)和(d)涉及嵌入s 內的方式;性質(e)到(h)按特徵來說是分析性的;(i)是關於環的代數陳述。
單連通區域定理1 對於一個平面區域,下面九個條件中的每一個蘊涵著其餘的各個條件:
單連通區域(a) 同胚於開單位圓盤U;
單連通區域(b)是單連通的;
單連通區域
單連通區域
單連通區域(c)對內每一條閉路徑和對每一個;
單連通區域(d)是連通的;
單連通區域
單連通區域(e)每一個能用多項式在的緊子集上一致逼近;
單連通區域
單連通區域
單連通區域(f)對每一個和在內每一條閉路徑,
單連通區域
單連通區域
單連通區域
單連通區域(g)每一個對應一個,使得;
單連通區域
單連通區域
單連通區域(h)如果且,則存在一個,使得
單連通區域
單連通區域
單連通區域
單連通區域
單連通區域(i)如果且,則存在一個,使得。
單連通區域
單連通區域
單連通區域
單連通區域
單連通區域
單連通區域定理2 如果,此處為平面內任意開集,且在內沒有零點,則在內調和。
單連通區域內的柯西積分定理
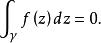
單連通區域定理3 設在z平面上的單連通區域D內解析,C為D內任意一條圍線,則
單連通區域
單連通區域
單連通區域推論1 設在單連通區域D內解析,C為D內任意一條閉曲線(C不必為簡單閉曲線),則。
證明: 由於閉曲線C總可以看成區域D內有限條周線銜接而成。因此,由復積分的曲線可加性及定理2即可得結論。
單連通區域
單連通區域
單連通區域
單連通區域
單連通區域
單連通區域
單連通區域推論2 設函式在單連通區域D內解析,則在D內的積分與路徑無關,即對D內任意兩點以及D內任意兩條以為起點,為終點的路徑和,總有
單連通區域
