切比雪夫不等式的提出
19世紀俄國數學家切比雪夫研究統計規律中,論證並用標準差表達了一個不等式,這個不等式具有普遍的意義,被稱作切比雪夫定理,其大意是:
任意一個數據集中,位於其平均數m個標準差範圍內的比例(或部分)總是至少為1-1/m ,其中m為大於1的任意正數。對於m=2,m=3和m=5有如下結果:
所有數據中,至少有3/4(或75%)的數據位於平均數2個標準差範圍內。
所有數據中,至少有8/9(或88.9%)的數據位於平均數3個標準差範圍內。
所有數據中,至少有24/25(或96%)的數據位於平均數5個標準差範圍內 。
內容
切比雪夫定理切比雪夫不等式可以使人們在隨機變數X的分布未知的情況下,對事件 機率作出估計。
定理
切比雪夫定理
切比雪夫定理
切比雪夫定理
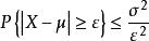
切比雪夫定理設隨機變數X具有數學期望 ,方差 則對任意正數ε,不等式 或 成立。
注意:套用切比雪夫不等式必須滿足E(X)和D(X)存在且有限這一條件。
切比雪夫定理
切比雪夫定理
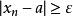
切比雪夫定理若對於任意的ε>O,當n很大時,事件“ ”的機率接近於1,則稱隨機變數序列{X}依機率收斂於a。正因為是機率,所以不排除小機率事件“”發生。所以,依機率收斂是不確定現象中關於收斂的一種說法,記為 。
切比雪夫定理
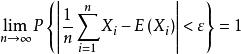
設X,X,…,X,…是相互獨立的隨機變數序列,數學期望E(X)和方差D(X)都存在(i=1,2,…),且D(X)<C(i=l,2,…),則對任意給定的ε>0,有
切比雪夫定理特別地:X,X,…,X,…是相互獨立的隨機變數序列,數學期望E(X)=μ和方差D(X)=σ (i=1,2,…),則對任意給定的ε>0,有
切比雪夫定理即
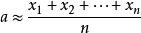
切比雪夫定理切比雪夫定理的這一推論,使我們關於算術平均值的法則有了理論根據.設測量某一物理量a,在條件不變的情況下重複測量n次,得到的結果X,X,…,X是不完全相同的,這些測量結果可看作是n個獨立隨機變數X,X,…,X的試驗數值,並且有同一數學期望a。於是,按大數定理j可知,當n足夠大時,下式成立,即
切比雪夫定理上式表明,n足夠大時,把n次測量結果的算術平均值作為a的近似值,所產生的誤差是很小的。

