概述
琴生不等式
琴生不等式
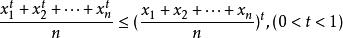
琴生不等式1.若是區間上的凹函式,則對任意的,有不等式:
琴生不等式有若且唯若時等號成立。
琴生不等式
琴生不等式
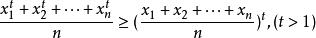
琴生不等式2.若是區間上的凸函式
琴生不等式
琴生不等式,則對任意的
,有不等式:
琴生不等式有若且唯若時等號成立。
3.其加權形式為:
琴生不等式
琴生不等式
琴生不等式
琴生不等式若是區間上的凸函式,則對任意的,且,有
琴生不等式
琴生不等式
琴生不等式
琴生不等式
琴生不等式若是區間上的凹函式,則對任意的,且,有
琴生不等式
琴生不等式
琴生不等式
琴生不等式
琴生不等式備註:對於函式凹凸性與上凸、下凸的記憶法:凸=上凸=,形如;凹=下凸=,形如.
套用
有了這個結論以後,使用琴生不等式就非常方便了,
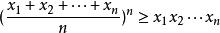
如今我們可以非常容易的證明一般情況的平均不等式
比如
琴生不等式i).
琴生不等式ii).
琴生不等式iii).
琴生不等式其中前面兩個取就可以了
琴生不等式後面一個取就可以了。
琴生不等式
琴生不等式舉一個簡單的例子:在中為凸函式(國外教材定義;若為凹函式,則國內教材定義),如圖所示:
同時,值得注意的是,上凸、下凸、凹、凸的含義是不同的。如圖:
涉及機率密度函式的形式
假設Ω是實線的可測子集, f( x)是一個非負函式
琴生不等式在機率語言中, f是機率密度函式。
然後Jensen的不等式變成了關於凸積分的下面的陳述:
如果 g是任何實值可測函式且φ在 g的範圍內是凸的,那么:
琴生不等式如果 g( x)= x,那么這種不等式的形式可以簡化為一個常用的特例:
琴生不等式例如:隨機變數的偶數矩
如果 g( x)= x,並且 X是一個隨機變數,那么 g是凸的
琴生不等式所以
琴生不等式
琴生不等式特別是,如果有的甚至瞬間 2N的 X是有限的, X具有有限的均值。這個論證的延伸表明 X具有每個階的有限矩劃分 ñ。
替代有限形式
令Ω= { x,... x},並且以μ為Ω上的計數度量,則一般形式簡化為關於和的聲明:
琴生不等式,
條件是 λi≥0和
琴生不等式還有一個無限的離散形式。
統計物理學
當凸函式是指數函式時,Jensen不等式在統計物理學中特別重要,給出:
琴生不等式,
其中期望值是關於隨機變數X中的一些機率分布。
這種情況下的證明非常簡單(參見Chandler,第5.5節)。理想的不平等直接來自書寫
{\ displaystyle \ operatorname {E} \ left [e ^ {X} \ rightname = {E ^ {\ operatorname {E} [X]} \ operatorname {E} \ [X]} \右]}
然後套用不等式 ë≥1 + X至最終指數。
資訊理論
如果 p( X)是用於真正的機率分布X和 q( X)是另一種分布,然後施加Jensen不等式隨機變數 ÿ( X)= q( X)/ p( X)和函式 φ( ÿ)= -log( y)給出
琴生不等式因此:
琴生不等式一個稱為吉布斯不平等的結果。
它表明,當代碼是基於真實機率 p而不是任何其他分布 q分配時,平均訊息長度被最小化。即非負的量被稱為相對熵的 q從 p。
由於-log( X)為嚴格凸函式 X> 0,它遵循:當等號成立 p( X)等於 q( X)幾乎無處不在。
Rao-Blackwell定理
主要文章:Rao-Blackwell定理
琴生不等式如果 L是一個凸函式,一個亞西格瑪代數,然後,從Jensen不等式的條件版本中,我們可以得到
所以如果δ( X)是給定一個可觀測量向量 X的未觀測參數θ的估計量;如果 T( X)是θ的充分統計量;那么可以通過計算獲得改進的估計量,即具有較小的預期損失 L的意義
,相對於θ的期望值δ在所有可能的觀察值向量 X上都可以與觀察到的相同的 T( X)值相匹配。
這個結果被稱為Rao-Blackwell定理。

