證明概念
對於n個正數a1~an以及b1~bn,有排序關係,有
若a1≤a2≤···≤an,b1≤b2≤···≤bn,則
a1bn+a2b(n-1)+···+anb1≤(1/n)*(a1+a2+···+an)(b1+b2+···+bn)≤a1b1+a2b2+···+anbn,
若且唯若a1=a2=···=an,或b1=b2=···=bn時,等號成立。
該不等式即為契比雪夫(chebyshev)不等式。
證明過程
契比雪夫不等式
契比雪夫不等式
契比雪夫不等式
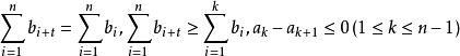
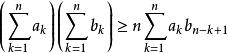
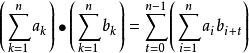
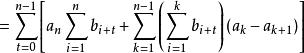
契比雪夫不等式Proof :定義則
由分部求和公式,
契比雪夫不等式
契比雪夫不等式
契比雪夫不等式
契比雪夫不等式
契比雪夫不等式同理可證

