人物簡介
切比雪夫(Chebishev,Pafnuti Lvovich)俄國數學家、力學家。早年接受親職教育,後畢業於莫斯科大學。1847年始任彼得堡大學副教授。2年後通過了博士論文《比較論》,升為教授。切比雪夫在許多數學領域都作出了卓越貢獻。他是函式構造理論的創始人,建立了用多項式逼近連續函式的理論,創立了新的數學分支。在數論方面,從本質上推進了素數分布問題的研究。他對有理逼近問題的研究在丟番圖近似理論的發展中起了重要作用。在機率論方面,他建立了證明極限定理的新方法—矩方法, 用簡單和初等的辦法證明了一般形式的大數定律。他的工作使機率論進入一個新的發展階段。在數學分析方面,他研究了由代數函式和對數函式表示的無理函式的可積性。解決了有限形式下橢圓積分的問題, 證明著名的微分二項式可積性條件的定理。他所建立的正交多項式一般理論是數學分析的重要研究方向。他還對內插法進行了深入的研究。
切比雪夫興趣廣泛,喜愛發明創造。他在機械原理甚至服裝裁剪等方面都有論著。
切比雪夫是彼得堡數學學派的創始人。他曾被選為多國家外籍科學院院士,獲得法國榮譽團勳章。1944年,蘇聯科學院設立了切比雪夫獎金。並出版了他的全集。
曼戈爾特函式
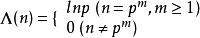
曼戈爾特函式是重要的數論函式之一。曼戈爾特函式Λ(n)定義為:
切比雪夫函式如Λ(1)=0,Λ(2)=ln 2,Λ(3)=ln 3,Λ(4)=ln 2等。
曼戈爾特函式有如下性質:
1.Λ(n)不是積性函式.
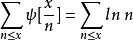
2.Λ(n)=μ(n)ln.
3.Λ(d)=ln n.
4.Λ(n)=O(x),Λ(n+1)=ln x+O(1).
5.設θ(x)=ln p,Ψ(x)=Λ(n),則
切比雪夫函式且當x→∞時,Ψ(x)~x,θ(x)~x並與π(x)~x/ln x相互等價。
素數定理
素數又被稱為質數,其含義就是除了數字一和本身之外不能被其他任何的數字除盡,根據算術基本定理,每一個比1大的整數,要么本身是一個質數,要么可以寫成一系列質數的乘積,最小的素數是2。而素數定理能夠準確的描述素數的分布,素數分布規律,以36N(N+1)為單位,隨著N的增大,素數的個數發波浪形式漸漸增多。素數定理可以給出第n個素數p(n)的漸近估計: 它也給出從整數中抽到素數的機率。從不大於n的自然數隨機選一個,它是素數的機率大約是1/ln n。
下面是對π(x)更好的估計:
切比雪夫函式
切比雪夫函式, 其中. 而關係式右邊第二項是誤差估計,詳見大O符號。
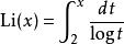
切比雪夫函式素數定理可以給出第n個素數p(n)的漸近估計:它也給出從整數中抽到素數的機率。從不大於n的自然數隨機選一個,它是素數的機率大約是1/ln n。 這定理的式子於1798年法國數學家勒讓德提出。1896年法國數學家哈達瑪(JacquesHadamard)和比利時數學家普森(Charles Jean de la Vallée-Poussin)先後獨立給出證明。證明用到了複分析,尤其是黎曼ζ函式。 因為黎曼ζ函式與π(x)關係密切,關於黎曼ζ函式的黎曼猜想對數論很重要。一旦猜想獲證,便能大大改進素數定理誤差的估計。1901年瑞典數學家Helge von Koch證明出,下式與黎曼猜想等價:
切比雪夫函式至於大O項的常數則還未知道。
在1948年,塞爾伯格和保羅·埃爾德什首次給出素數定理的初等證明。
函式定義
切比雪夫函式(Chebyshev function)是重要的數論函式之一。如果Λ(n)表示曼戈爾特函式:
切比雪夫函式則下面函式:
切比雪夫函式
切比雪夫函式
切比雪夫函式
切比雪夫函式和 稱為切比雪夫函式。它是切比雪夫(Чебышев,П.Л.)為了證明素數定理而給出的,是重要的數論函式。函式(1)與素數個數函式π(x)有十分密切的聯繫。事實上,素數定理: 等價於θ(x)~x或Ψ(x)~x(x→∞),並且可由算術基本定理推出關於Ψ(x)的一個重要性質,即: 。上式使函式Ψ(x)與對數函式建立了簡單的聯繫,從而為證明素數定理和研究素數分布奠定了基礎。
函式性質
由於Erhard Schmidt的定理指出,對於一些明確的正常數K,存在無窮多的自然數x,使得:
切比雪夫函式和無限多的自然數x使得:
切比雪夫函式在無窮小中,上面的式子可以寫成:
切比雪夫函式Hardy和Littlewood證明了更強的結果:
切比雪夫函式