形式
它可以比較兩組數積的和及兩組數的線性和的積的大小:
切比雪夫總和不等式
切比雪夫總和不等式對於兩個實數數列{ }、{ }
切比雪夫總和不等式
切比雪夫總和不等式若有 ,
切比雪夫總和不等式則有
切比雪夫總和不等式
切比雪夫總和不等式類似的,若有 ,
切比雪夫總和不等式則有
證明
證明一
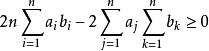
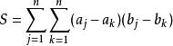
切比雪夫總和不等式考慮和式:
切比雪夫總和不等式
切比雪夫總和不等式
切比雪夫總和不等式因為有 , ,所以顯然有
切比雪夫總和不等式將其展開可得
切比雪夫總和不等式整理可得
反向情況類似,得證。
證明二
切比雪夫總和不等式
切比雪夫總和不等式因為有 ,
切比雪夫總和不等式所以由排序不等式易知,最大的和為順序和,即:
於是有以下一系列共 n個不等式:
切比雪夫總和不等式
切比雪夫總和不等式
切比雪夫總和不等式
切比雪夫總和不等式
切比雪夫總和不等式將這 n 個不等式分別相加,同時對右式進行因式分解,整理可得:
切比雪夫總和不等式反向情況可由最小的和為逆序和推得,得證。
積分形式
切比雪夫總和不等式
切比雪夫總和不等式如果 、 是在[0,1]上的可積實值函式,並且它們同時單增或單減,那么有:
切比雪夫總和不等式
切比雪夫總和不等式
切比雪夫總和不等式類似的,若
、一個單增一個單減,那么有:
切比雪夫總和不等式
