隨機過程統計
正文
根據觀測對隨機過程進行統計推斷的理論與方法。把觀測所獲得的數據記為{xn,n=0,1,2,…}或{xt,t≥0},它是從一個隨機過程抽得的樣本。為了得到描述這一隨機過程變化的統計規律,必須對它的分布(見機率分布)或某些特徵作出推斷。例如檢驗它是否為某種特殊的隨機過程,估計其分布中的某些參數等等。這些都屬於隨機過程的統計問題。早在數理統計學發展的初期,人們就已對隨時間推進的觀測結果運用各種統計分析方法來研究,例如,根據天文資料尋找其變化的隱蔽周期。但當時的研究還只是限於相互獨立觀測的情形。20世紀30年代,由於描述社會或市場上某些經濟指標變化的需要,必須對不獨立的觀測結果{xn}進行分析。例如,考慮如何尋找一個自回歸模型
來近似地擬合數據{xn},但仍限於討論離散時間觀測的情形。40年代以後,一方面由於無線電技術中信號檢測與信號參數估計的需要,提出了許多有關連續觀測隨機過程的統計問題。另一方面,隨機過程理論的迅速發展,也為研究上述問題提供了手段。1951年U.格里南德明確提出了隨機過程的統計推斷這一課題,並指出數理統計中的最大似然估計(見點估計)、似然比檢驗(見假設檢驗)等方法原則上也可用於隨機過程的統計推斷,但一個關鍵問題是,要給出隨機過程的不同機率分布之間相互絕對連續與奇異的條件,以及求出機率分布間的密度。由於過程統計的需要,這一問題在以後引起了相當大的重視和大量的工作,對於各類重要的過程,如正態過程(見隨機過程)、獨立增量過程、擴散過程(見馬爾可夫過程)、點過程乃至一般的半鞅(見鞅),都先後討論了這一問題。在分布間具有密度的條件下,就可直接沿用數理統計的做法,這已成為過程統計中很重要的一方面。另外,過程統計也仿照數理統計中處理線性統計模型的方法。例如,可以假定觀測結果表為非隨機變化項和一個寬平穩過程之和,利用其二階或四階矩特徵,可對過程本身的均值(見數學期望)及協方差(見矩)作出統計推斷。由於這類統計方法要求較寬,便於套用,所以發展迅速且套用廣泛。 依賴於密度的統計方法 設x={x(t),0≤t≤T}為隨機過程、{pθ,θ∈
}是x 樣本空間上的可能機率分布族,θ是未知參數。對於兩個機率分布p0、p1, 如果p0機率為0的事件,其p1機率必為0,則稱p1關於p0是絕對連續的;如果存在p0機率為0而p1機率為1的事件,則稱p1與p0是相互奇異的。對隨機過程來說,{pθ,θ∈
}中的不同機率分布之間往往並不相互絕對連續,有時甚至是相互奇異的。因此,首先必須討論pθ之間的絕對連續性與奇異性問題。而後在絕對連續的情形,可以取某個
為標準,根據測度論的拉東-尼科迪姆定理,求得其他機率分布pθ關於p0的密度
(又叫做似然比)。在這個基礎上,數理統計中的最大似然估計法,似然比檢驗法、貝葉斯推斷等,都可直接用於隨機過程的統計推斷,而一些大樣本統計問題也可歸結為隨機過程的極限定理來處理。 關於隨機過程機率分布間的絕對連續性與奇異性及其密度的問題,可利用鞅收斂定理證明如下的一般結果:若隨機連續的過程{x(t),0≤t≤T}在樣本空間上的可能機率分布為p0與p1,{tn,n≥1}為【0,T】中的可列稠集。對x作有限次觀測{x(t1),x(t2),…,x(tn)},其相應的有限維分布為 p
,p
。若 p
關於 p
絕對連續,則極限
按p0,p1都以機率1存在,且p1關於p0絕對連續的充分必要條件是p1(ƒ∞<∞)=1,這時有
;p1與 p0奇異的充分必要條件是 p0(ƒ∞=0)=1,或等價地p1(ƒ∞=∞)=1。對各類具體過程,還要用過程本身的特徵,把這一結果具體化。 對於正態過程,其分布間的絕對連續性問題的討論開始最早。1958年J.哈耶克和J.費爾德曼獨立地證明了:對具有不同協方差函式和均值函式的正態過程,其機率分布之間或者相互絕對連續,或者相互奇異,並用不同方式給出了各自成立的條件。特別,若{xn,n≥1}為相互獨立的正態隨機變數序列,在p0、p1下,xn的機率分布分別為
、
,則p0與p1 相互絕對連續的充分必要條件是 σ
、σ
同時為零或同時不為零,且 

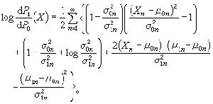
對於馬爾可夫鏈(見馬爾可夫過程),往往可以利用轉移機率或Q 矩陣直接寫出其分布密度及似然函式。這時, 對於轉移機率、Q矩陣或機率分布中的未知參數,就可運用最大似然估計法或似然比檢驗進行推斷。例如設{x(t),0≤t≤T}為生滅過程,x(0)=1,λ、μ分別表示其生滅強度。若以B(t)、D(t)分別表示x在【0,t】中生殖和死亡的總數,記
則觀測到樣本{x(t),0≤t≤T}後,其似然函式為 

利用B(t)、D(t)、S(t)的漸近性質,還可以得出
的相合性及其漸近分布。類似的做法還可用於更一般的點過程。 對於狀態連續的馬爾可夫過程,討論得較多的是由隨機微分方程
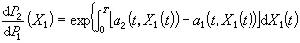
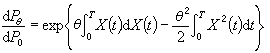
規定的擴散方程,其中W為布朗運動。例如,設過程x1,x2分別滿足方程
i=1,2;pj表示xj的機率分布。若αj滿足方程存在惟一解的條件,且以機率1成立
則p2與p1相互絕對連續,且 
,

的解的分布,則
。
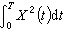
和
為 θ的充分統計量,而
便是θ的最大似然估計。進而還可以推出
的相合性與漸近正態性。 關於過程機率分布間的絕對連續性問題,對獨立增量過程也有較完善的討論。70年代後,鞅論方法已用於對這一問題的討論,且對半鞅也給出了機率分布間絕對連續的條件及密度的泛函形式。這些都為過程統計的發展開闢了道路。
不依賴於密度的統計方法 在許多實際問題的模型中,常把被觀測的隨機過程記為Z(t)=m(t)+x(t),其中非隨機項
反映Z(t)的趨勢變化或周期變化部分,αυ,θ是未知參數,均值為零的隨機過程x(t)往往表示觀測受到的干擾和誤差。在這類模型中,往往只須對Z(t)的部分統計特徵進行推斷。採用的方法可以不必求出機率分布間的密度,僅須對X的二階矩或前四階矩附加某些要求,一般是假定x的二階或前四階矩為平穩的。 對Z的統計分析常考慮下列問題:回歸係數αυ的估計,均值函式中其他參數θ(例如隱蔽周期)的估計,x的統計特徵(包括協方差函式、譜密度等)的估計及有限參數模型擬合等(見時間序列分析)。
過程統計從其任務來看,本質上與數理統計是一致的。但過程統計處理的不獨立隨機變數的統計問題遠較獨立隨機變數的相應問題來得複雜。過程統計的各種方法及其論證,更多地用到隨機過程論的許多成果。隨著隨機過程套用領域的擴大和理論研究的深入,各種過程統計方法也愈廣泛地被採用,其理論也將日趨完善。
參考書目
I.V.Basawa and B.L.S.Prakasa Rao,Statistical lnference for Stochastic Processes, Academic Press, New York,1980.
U. Grenander, Abstract lnference,John Wiley & Sons,New York, 1981.
