概念簡介
隨機分析(Stochastic Analysis)主要研究現代隨機積分和隨機微分方程。現代鞅論是隨機積分的基礎, 它的內容主要的有測度論的條件期望、連續時間鞅、停時過程、可選過程、可料過程、測度的投影、截口定理、半鞅的Doob-Meyer分解、可變變差鞅、平方可積鞅、局部鞅等。然後從可料過程對L2鞅的隨機積分開始,逐步深入到對一般適應過程的隨機積分。Ito引理、Ito公式、Girsanov定理、Brown局部鞅的隨機積分表示、半鞅局部時是隨機分析的重要工具。其中,Girsanov定理給出的測度數變換在現代數理金融學中有重要的意義。隨機微分方程的強解和弱解問題、解一類隨機微分方程等也是隨機分析的主要內容。
分類
伊藤積分
隨機積分
隨機積分
隨機積分
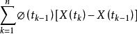
隨機積分這是對布朗運動定義的一種隨機積分。布朗運動的樣本函式雖然連續,但幾乎所有的樣本函式非有界變差,甚至處處不可微,因而無法按樣本函式來定義通常的黎曼-斯蒂爾傑斯積分(簡稱RS積分)或勒貝格-斯蒂爾傑斯積分(簡稱LS積分)。 一般來說,RS積分定義中的達布和不會以機率1收斂到一定的極限,但在適當的條件下,達布和的均方極限存在。伊藤清正是利用這一性質定義了對布朗運動的隨機積分。設t∈R+= 【0,∞)}是一族上升的子σ域,布朗運動W={W(t),t∈R+} 是鞅。如果樣本連續的有界隨機過程φ={φ(t),t∈R+}是適應的,那么當有限區間【α,b】嶅R+的分割隨機積分 的直徑PI噬菌體共轉導頻率趨於零時,達布和的均方極限存在,記作隨機積分,它稱為φ在區間【α,b】上對W 的伊藤積分。值得注意的是,在達布和的構造中,被積過程在【tk-1,tk】上的取值點不是隨意一點,而只能是它的左端點 tk-1。這是一個嚴格的限制。完全不加限制時其極限不存在,如作其他的限制,則可能得到另外的極限,從而定義出另外的積分,但最有用的是這種限制。伊藤積分最重要的性質是著名的伊藤公式:設F是二次連續可微的實函式,則這一公式及其各種推廣在理論上和套用上都有重要的作用。例如,可以用來證明關於布朗運動的鞅刻畫的萊維定理:一個從零出發的樣本連續過程W={W(t),t∈R+} 為布朗運動的充要條件,是W 和{W 2(t)-t,t∈R+} 都為鞅。
對平方可積鞅的隨機積分
隨機積分
隨機積分
隨機積分使E的鞅x={x(t),t∈R+} 稱為平方可積鞅,其中x(∞)是當t→∞時,x(t)以機率1 收斂的極限。對一個平方可積鞅x,-x2是類(D)上鞅,因此根據上鞅分解定理,x 2僅可表成一致可積鞅M和可料增過程A 之和,X 2(t)=M(t)+A(t)。由此,對任何樣本連續的有界適應過程 φ,當[α,b)]的分割的直徑δ(墹)趨於零時,達布和隨機積分的均方極限存在,這個極限就稱為φ 在【α,b)】上對x的。這種積分也有相應的伊藤公式:對二次連續可微的函式F,
右邊最後一項是按軌道的LS積分,可料增過程A的軌道是右連續增函式。這種隨機積分還可以進一步推廣到對局部鞅以至半鞅的積分。
隨機積分
隨機積分在伊藤積分定義的達布和中,如果用在小區間【tk-1,tk】中點的被積過程值φ(或者等價地, 用在兩個區間端點的過程值的算術平均代替左端點的過程值φ(tk-1),則均方極限也存在,但此極限與伊藤積分不相同,它定義了用斯特拉托諾維奇命名的另一種積分,記作這種積分的一個優點是,對一個三次連續可微的函式F,
它保持了普通微積分中牛頓-萊布尼茨公式的形式。
其他類型的隨機積分
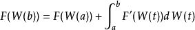
隨機積分常見的還有均方和對正交增量過程的積分。對一個均方連續的隨機過程x,即對一切t0∈R+滿足隨機積分的x,達布和的均方極限存在,它定義了x在區間【α,b)】上的均方,記作其中是【α,b】的分割,sk可在【tk-1,tk】上任取,均方極限是在δ(墹) 趨於零的條件下取的。設Z 是一個正交增量過程,即對一切那么對任一[α,b]上的連續函式ƒ,達布和的均方極限定義了ƒ在[α,b]上對Z的積分,記作。這種對正交增量過程積分的最重要的套用是寬平穩過程的譜表示(見平穩過程)。
隨機微分方程
隨機積分
隨機積分
隨機積分
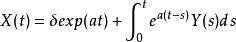
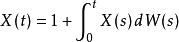
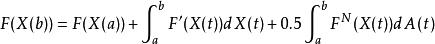
隨機積分形如方程稱為伊藤方程,其中α(s,x)、σ(s,x) 是一次連續可微的二元函式,W是布朗運動,X是待求的半鞅。由於形式上還可以將方程改寫為 dx(t) = α(t,x(t))dt + σ(t,x(t))dW(t) 這種微分表示,習慣上常稱為(伊藤)隨機微分方程。理論上對它已有很多研究,解的存在唯一 性問題已經解決,並且有各種形式的推廣,如用半鞅代替布朗運動等。但能把解明確表達出來的還只有少數簡單的特例,如對x(0) = 1,α(s,x) = 0,σ(s,x) = x,方程有唯一解它是一個樣本連續鞅。
隨機積分
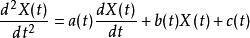
隨機積分此外,對於均值函式為零的實二階過程x(見隨機過程),可定義其各階均方導數。若x的協方差函式 Г(s,t)=Ex(s)x(t) 二次連續可微,則差商 [x(t+Δt)-x(t)]/Δt當 Δt→0 時的均方極限總存在,它定義了x的一階均方導數隨機積分。一般地,若 Г(s,t)2n次連續可微,則x的n階均方導數存在。聯繫著一個二階過程x及其各階均方導數之間的方程,如等,稱為均方隨機微分方程。求解它,就是要找出滿足該關係式的二階過程x。例如在初值x(0)=ξ下的唯一解是其中α是實常數,ξ為已知的隨機變數,Y為已知的均方連續隨機過程,而積分是均方隨機積分。

