橢圓型偏微分方程
正文
簡稱橢圓型方程,一類重要的偏微分方程。早在1900年D.希爾伯特提的著名的23個問題中,就有三個問題(第19、20、23問題)是關於橢圓型方程與變分法的。八十多年來,橢圓型方程的研究獲得了豐碩的成果。橢圓型方程在流體力學、彈性力學、電磁學、幾何學和變分法中都有套用。拉普拉斯方程是橢圓型方程最典型的特例。拉普拉斯方程 許多定常的物理過程,如穩定的熱傳導過程、牛頓引力理論及電磁理論中的位勢、彈性薄膜的平衡、不可壓流體的定常運動等,提出形如
(1)
(2)
容易得到方程(1)和(2)的一些特解。由於方程是線性的,因此可以由已知的一些特解疊加而得到新的解。積分也是一種疊加。通過積分型疊加,便可得到方程(1)的如下的重要解:
(3)
非齊次方程(2)有一個重要的特解,它就是以ρ為密度的體位勢:
(4)
在套用上,往往不是求一些特解,而是求滿足某些附加條件的解。例如,第一邊值問題(狄利克雷問題):
;第二邊值問題(諾伊曼問題):
。這裡Ω為(x,y,z)空間的一個有界域,φ為定義在邊界嬠Ω上的已知連續函式,n為嬠Ω的單位外法向量。 這些邊值問題的解的惟一性,由調和函式的一個極值性質很容易推出。拉普拉斯方程的二次連續可微解,稱為調和函式。
極值原理 域Ω內的調和函式不可能在域內一點取極大值或極小值,除非這個調和函式恆等於常數。若調和函式的最大值只在某一邊界點 p上達到,則
(假設u在p點可微)。 這些邊值問題的解的存在性,也不難證明。由格林公式可以推得
(5)

,
稱為拉普拉斯方程關於域Ω的格林函式。由此引出解第一邊值問題的如下方法:先求出G(ξ,η,ξ;x,y,z),再將所給的邊界值代入,得到
(6) 只要對邊界面再加上一些限制,就可以證明由(6)確定的函式u是第一邊值問題的解。應當指出,對於某些特殊域,如球、半球、半空間等,格林函式是容易用鏡像法求得的。以球域為例,設K是以原點為中心、R為半徑的球體,關於球體K的格林函式就是

,
(如圖
所示)。點Q1為點Q關於球面S=嬠K的反演點。將G(p,Q)代入(6)即得到泊松公式: 
利用泊松公式和極值原理,可以推出調和函式的一系列基本性質,如平均值公式
、調和函式的解析性、哈那克定理等等。 公式(5)中出現的積分
,分別稱為展布在曲面Г上密度為μ的單層位勢和雙層位勢。它們都是Ω內的調和函式。單層位勢通過邊界面是連續的,而雙層位勢在邊界面上有跳躍。因此為了使雙層位勢滿足第一邊值問題的邊界條件,必須選取μ使它滿足積分方程
,
關於第一邊值問題的解的存在性論證有許多更一般,的方法,如龐加萊-佩隆方法、施瓦茲交替法、差分法等。
第一邊值問題,還可用變分法求解。古典的變分法理論指出,如果函式u=
(x,y,z)適合第一邊值問題的邊界條件,且使泛函(狄利克雷積分)
(7)
∈C (Ω),
必滿足這一泛函的歐拉-拉格朗日方程,即
是拉普拉斯方程(1)的解。這種把一泛函的極值問題歸結為解微分方程的邊值問題,是變分法早期的理論。但是這一理論只有在極少的特殊情形才是可行的。因此人們產生了與此相反的思考,用求解泛函極值問題來獲得微分方程邊值問題的解。(G.F.)B.黎曼由泛函(7)的非負性作出斷:(7)必存在極小值函式,它就是狄利克雷問題的解。這個論斷稱為狄利克雷原理。K.(T.W.)外爾斯特拉斯指出了黎曼在提出這個論斷時邏輯上的不嚴密,並舉出了有下界而無極小值的泛函的例子。多年之後,首先由希爾伯特給出了狄利克雷原理的完整無缺的證明。其他的證明也隨之相繼出現,這方面的研究極大地推動了泛函分析的發展,也使得變分法成為研究偏微分方程的強有力的工具。 二階橢圓型方程 形如

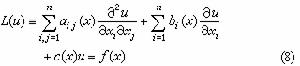
。②第二邊值問題(諾伊曼問題),其邊界條件為
。③第三邊值問題(混合問題),其邊界條件為
φ(ξ),這裡α可在嬠Ω的部分點集上為0,v方向與補法線方向夾角小於π/2。 二階橢圓型方程的研究甚早,在50年代以前,對方程(8) 的一些基本邊值問題的可解性就獲得某些成果。在幾十年的發展中,建立了各種解法,例如,紹德爾方法、泛函方法、差分法、變分法、積分方程法,等等。
紹德爾方法是建立在紹德爾估計之上的。設 Ck α表示k次連續可微且k階微商α 赫德爾連續的函式類,又設Ω是R 中的C2 α區域,方程(8)的所有係數和自由項都屬於Cα。所謂紹德爾估計,是指若方程(8)在Ω中有解u,並且
,則 
在上述假設下,由泊松方程具有
解u以及一般線性方程的極值原理,當с≤0時可以得
的估計。因此利用紹德爾估計和參數的連續開拓就可以證明方程(8) 的狄利克雷問題的解的存在性。作為極值原理的一個直接推論:當с≤0時狄利克雷問題的解是惟一的。 泛函方法肇端於K.O.弗里德里希斯1934年關於對稱橢圓運算元半有界擴張的工作。H.外爾,C.Л.索伯列夫、C.Γ.米赫林和М.И.維希克等人在40年代末期的進一步研究表明,解橢圓型方程的基本邊值問題等價於解形如x+AX=ƒ的運算元方程,其中A是希爾伯特空間的全連續運算元。從而由泛函分析的里斯-紹德爾理論得到橢圓型方程可解性的所謂“二擇一原理”。
近幾十年來橢圓型方程的重大進展之一,是解擬線性橢圓型方程
(9)
設B是巴拿赫空間,T是從B×【0,1】到B的一個完全連續映射,對所有x∈B,使得T(x,0)=0。若存在M,使得對滿足x=T(x,t)的所有(x,t)∈B×【0,1】,有
,則T1x=T(x,1)在B中有不動點。這就是勒雷-紹德爾不動點原理。考慮問題簇 

。 高階橢圓型方程組 形如下面的方程組
(10)

,此處,對一切x∈Ω,一切ξ∈R -【0】,
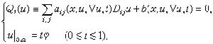
是最一般線性橢圓型方程組。這個定義是И.Γ.彼得羅夫斯基給出的。 對於如此廣泛的方程組,有些人例如,L.赫爾曼德爾討論過它的一般邊值問題:

(x,D)是變係數的微分運算元,nj與μ之間存在著某種關係。 這樣的邊值問題,一般經典的弗雷德霍姆備擇定理不成立。維希克和L.尼倫伯格等人提出了一個子類,稱之為強橢圓組,對於它的某些基本邊值問題,弗雷德霍姆備擇定理是成立的。
近年來,研究在流形上定義的橢圓運算元的一大成就是阿蒂亞-辛格指標定理。

