方程解釋
客觀世界的物理量一般是隨時間和空間位置而變化的,因而可以表達為時間坐標t和空間坐標
偏微分方程相關書籍
偏微分方程[數學方程]
偏微分方程[數學方程]
偏微分方程[數學方程]的函式,這種物理量的變化規律往 往表現為它關於時間和空間坐標的各階變化率之間的關係式,即函式u關於t與的各階偏導數之間的等式。
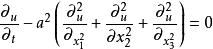
偏微分方程[數學方程]例如在一個均勻的傳熱物體中,溫度u就滿足下面的等式:。
(1)
偏微分方程[數學方程]
偏微分方程[數學方程]這樣一類的包含未知函式及其偏導數的等式稱為偏微分方程。一般說來,如果是自變數,以u為未知函式的偏微分方程的一般形式是。
(2)
偏微分方程[數學方程]這裡F是它的變元的函式,所包含的偏導數的最高階數稱為偏微分方程的階數。
由若干個偏微分方程所構成的等式組就稱為偏微分方程組,其未知函式也可以是若干個。當方程的個數超過未知函式的個數時,就稱這偏微分方程組為超定的;當方程的個數少於未知函式的個數時,就稱為欠定的。
如果一個偏微分方程(組)關於所有的未知函式及其導數都是線性的,則稱為線性偏微分方程(組)。否則,稱為非線性偏微分方程(組)。在非線性偏微分方程(組)中,如果對未知函式的最高階導數來說是線性的,那么就稱為擬線性偏微分方程(組)。
設Ω是自變數空間R中一個區域,u是在這個區域上定義的具|α|階連續導數的函式。如果它能使方程(2)在Ω上恆等成立,那么就稱u是該方程在Ω中的一個經典意義下的解,簡稱為經典解。在不致誤會的情況下,就稱為解。
偏微分方程理論研究一個方程(組)是否有滿足某些補充條件的解(解的存在性),有多少個解(解的惟一性或自由度),解的各種性質以及求解方法等等,並且還要儘可能地用偏微分方程來解釋和預見自然現象以及把它用之於各門科學和工程技術。偏微分方程理論的形成和發展都與物理學和其他自然科學的發展密切相關,並彼此促進和推動。其他數學分支,如分析學、幾何學、代數學、拓撲學等理論的發展也都給予偏微分方程以深刻的影響。
偏微分方程現代數值方法在科學技術日新月異的發展過程中,人們研究的許多問題用一個自變數的函式來描述已經顯得不夠了,不少問題有多個變數的函式來描述。
比如,從物理角度來說,物理量有不同的性質,溫度、密度等是用數值來描述的叫做純量;速度、電場的引力等,不僅在數值上有不同,而且還具有方向,這些量叫做向量;物體在一點上的張力狀態的描述出的量叫做張量,等等。這些量不僅和時間有關係,而且和空間坐標也有聯繫,這就要用多個變數的函式來表示。
應該指出,對於所有可能的物理現象用某些多個變數的函式表示,只能是理想化的,如介質的密度,實際上“在一點”的密度是不存在的。而我們把在一點的密度看作是物質的質量和體積的比當體積無限縮小的時候的極限,這就是理想化的。介質的溫度也是這樣。這樣就產生了研究某些物理現象的理想了的多個變數的函式方程,這種方程就是偏微分方程。
起源
微積分方程這門學科產生於十八世紀,歐拉在他的著作中最早提出了弦振動的二階方程,隨後不久,法國數學家達朗貝爾也在他的著作《論動力學》中提出了特殊的偏微分方程。不過這些著作當時沒有引起多大注意。
1746年,達朗貝爾在他的論文《張緊的弦振動時形成的曲線的研究》中,提議證明無窮多種和正弦曲線不同的曲線是振動的模式。這樣就由對弦振動的研究開創了偏微分方程這門學科。
和歐拉同時代的瑞士數學家丹尼爾·貝努利也研究了數學物理方面的問題,提出了解彈性系振動問題的一般方法,對偏微分方程的發展起了比較大的影響。拉格朗日也討論了一階偏微分方程,豐富了這門學科的內容。
偏微分方程得到迅速發展是在十九世紀,那時候,數學物理問題的研究繁榮起來了,許多數學家都對數學物理問題的解決做出了貢獻。
這裡應該提一提法國數學家傅立葉,他年輕的時候就是一個出色的數學學者。在從事熱流動的研究中,寫出了《熱的解析理論》,在文章中他提出了三維空間的熱方程,也就是一種偏微分方程。他的研究對偏微分方程的發展的影響是很大的。
示例
二階線性與非線性偏微分方程始終是重要的研究對象。
這類方程通常劃分成橢圓型、雙曲型與拋物型三類,圍繞這三類方程所建立和討論的基本問題是各種邊值問題、初值問題與混合問題之解的存在性、唯一性、穩定性及漸近性等性質以及求解方法。
近代物理學、力學及工程技術的發展產生出許多新的非線性問題,它們常常導引出除上述方程之外的稱為混合型方程、退化型方程及高階偏微分方程等有關問題,這些問題通常十分複雜具有較大的難度,至今為止,一直是重要的研究課題。
對於偏微分方程問題的討論和解決,往往需要套用泛函分析、代數與拓撲學、微分幾何學等其它數學分支的理論和方法。另一方面,由於電子計算機的迅速發展,使得各種方程均可數值求解,並且揭示了許多重要事實,因此,數值解法的研究,在已取得許多重要成果的基礎上,將會有更快地發展。
物理弦振動
弦振動是一種機械運動,當然機械運動的基本定律是質點力學的 F=ma,但是弦並不是質點,所以質點力學的定律並不適用在弦振動的研究上。然而,如果我們把弦細細地分成若干個極小極小的小段,每一小段抽象地看作是一個質點,這樣我們就可以套用質點力學的基本定律了。
弦是指又細又長的彈性物質,比如弦樂器所用的弦就是細長的、柔軟的、帶有彈性的。演奏的時候,弦總是繃緊著具有一種張力,這種張力大於弦的重量幾萬倍。當演奏的人用薄片撥動或者用弓在弦上拉動,雖然只有其所接觸的一段弦振動,但是由於張力的作用,傳播到使整個弦振動起來。
用微分的方法分析可得到弦上一點的位移是這一點所在的位置和時間為自變數的偏微分方程,屬於數學物理方程中的波動方程,也就是雙曲型偏微分方程。
偏微分方程的解一般有無窮多個,但是解決具體的物理問題的時候,必須從中選取所需要的解,因此,還必須知道附加條件。因為偏微分方程是同一類現象的共同規律的表示式,僅僅知道這種共同規律還不足以掌握和了解具體問題的特殊性,所以就物理現象來說,各個具體問題的特殊性就在於研究對象所處的特定條件,就是初始條件和邊界條件。
對於同樣的弦的弦樂器,如果一種是以薄片撥動弦,另一種是以弓在弦上拉動,那么它們發出的聲音是不同的。原因就是由於“撥動”或“拉動”的那個“初始”時刻的振動情況不同,因此產生後來的振動情況也就不同。
天體預言
天文學中也有類似弦振動的情況,如果要通過計算預言天體的運動,必須要知道這些天體的質量,同時除了牛頓定律的一般公式外,還必須知道我們所研究的天體系統的初始狀態,就是在某個起始時間,這些天體的分布以及它們的速度。在解決任何數學物理方程的時候,總會有類似的附加條件。
當然,客觀實際中也還是有“沒有初始條件的問題”,如定場問題(靜電場、穩定濃度分布、穩定溫度分布等),也有“沒有邊界條件的問題”。
數學套用
在數學上,初始條件和邊界條件叫做定解條件。
偏微分方程本身是表達同一類物理現象的共性,是作為解決問題的依據;定解條件卻反映出具體問題的個性,它提出了問題的具體情況。方程和定解條件合而為一體,就叫做定解問題。
求偏微分方程的定解問題可以先求出它的通解,然後再用定解條件確定出函式。但是一般來說,在實際中通解是不容易求出的,用定解條件確定函式更是比較困難的。
偏微分方程的解法還可以用分離係數法,也叫做傅立葉級數;還可以用分離變數法,也叫做傅立葉變換或傅立葉積分。分離係數法可以求解有界空間中的定解問題,分離變數法可以求解無界空間的定解問題;也可以用拉普拉斯變換法去求解一維空間的數學物理方程的定解。對方程實行拉普拉斯變換可以轉化成常微分方程,而且初始條件也一併考慮到,解出常微分方程後進行反演就可以了。
應該指出,偏微分方程的定解雖然有以上各種解法,但是我們不能忽視由於某些原因有許多定解問題是不能嚴格解出的,只可以用近似方法求出滿足實際需要的近似程度的近似解。
常用的方法有變分法和有限差分法。
變分法是把定解問題轉化成變分問題,再求變分問題的近似解;
有限差分法是把定解問題轉化成代數方程,然後用計算機進行計算。
還有一種更有意義的模擬法,它用另一個物理的問題實驗研究來代替所研究某個物理問題的定解。雖然物理現象本質不同,但是抽象地表示在數學上是同一個定解問題,如研究某個不規則形狀的物體裡的穩定溫度分布問題,在數學上是拉普拉斯方程的邊值問題,由於求解比較困難,可作相應的靜電場或穩恆電流場實驗研究,測定場中各處的電勢,從而也解決了所研究的穩定溫度場中的溫度分布問題。
隨著物理科學所研究的現象在廣度和深度兩方面的擴展,偏微分方程的套用範圍更廣泛。從數學自身的角度看,偏微分方程的求解促使數學在函式論、變分法、級數展開、常微分方程、代數、微分幾何等各方面進行發展。從這個角度說,偏微分方程變成了數學的中心。
![偏微分方程[數學方程] 偏微分方程[數學方程]](/img/1/55c/nBnauM3X0QjNzITO3gTO4EDN0UTMyITNykTO0EDMwAjMwUzL4kzLwYzLt92YucmbvRWdo5Cd0FmL0E2LvoDc0RHa.jpg)
