參考
參考自:科學技術方法大辭典
時間序列是按時間順序的一組數字序列。時間序列分析就是利用這組數列,套用數理統計方法加以處理,以預測未來事物的發展。時間序列分析是定量預測方法之一,它的基本原理:一是承認事物發展的延續性。套用過去數據,就能推測事物的發展趨勢。二是考慮到事物發展的隨機性。任何事物發展都可能受偶然因素影響,為此要利用統計分析中加權平均法對歷史數據進行處理。該方法簡單易行,便於掌握,但準確性差,一般只適用於短期預測。時間序列預測一般反映三種實際變化規律:趨勢變化、周期性變化、隨機性變化。
時間序列分析是根據系統觀測得到的時間序列數據,通過曲線擬合和參數估計來建立數學模型的理論和方法。它一般採用曲線擬合和參數估計方法(如非線性最小二乘法)進行。時間序列分析常用在國民經濟巨觀控制、區域綜合發展規劃、企業經營管理、市場潛量預測、氣象預報、水文預報、地震前兆預報、農作物病蟲災害預報、環境污染控制、生態平衡、天文學和海洋學等方面。
組成要素
一個時間序列通常由4種要素組成:趨勢、季節變動、循環波動和不規則波動。
趨勢:是時間序列在長時期內呈現出來的持續向上或持續向下的變動。
季節變動:是時間序列在一年內重複出現的周期性波動。它是諸如氣候條件、生產條件、節假日或人們的風俗習慣等各種因素影響的結果。
循環波動:是時間序列呈現出得非固定長度的周期性變動。循環波動的周期可能會持續一段時間,但與趨勢不同,它不是朝著單一方向的持續變動,而是漲落相同的交替波動。
不規則波動:是時間序列中除去趨勢、季節變動和周期波動之後的隨機波動。不規則波動通常總是夾雜在時間序列中,致使時間序列產生一種波浪形或震盪式的變動。只含有隨機波動的序列也稱為平穩序列。
基本步驟
時間序列建模基本步驟是:
①用觀測、調查、統計、抽樣等方法取得被觀測系統時間序列動態數據。
②根據動態數據作相關圖,進行相關分析,求自相關函式。相關圖能顯示出變化的趨勢和周期,並能發現跳點和拐點。跳點是指與其他數據不一致的觀測值。如果跳點是正確的觀測值,在建模時應考慮進去,如果是反常現象,則應把跳點調整到期望值。拐點則是指時間序列從上升趨勢突然變為下降趨勢的點。如果存在拐點,則在建模時必須用不同的模型去分段擬合該時間序列,例如採用門限回歸模型。
③辨識合適的隨機模型,進行曲線擬合,即用通用隨機模型去擬合時間序列的觀測數據。對於短的或簡單的時間序列,可用趨勢模型和季節模型加上誤差來進行擬合。對於平穩時間序列,可用通用ARMA模型(自回歸滑動平均模型)及其特殊情況的自回歸模型、滑動平均模型或組合-ARMA模型等來進行擬合。當觀測值多於50個時一般都採用ARMA模型。對於非平穩時間序列則要先將觀測到的時間序列進行差分運算,化為平穩時間序列,再用適當模型去擬合這個差分序列。
主要用途
系統描述
根據對系統進行觀測得到的時間序列數據,用曲線擬合方法對系統進行客觀的描述。
系統分析
當觀測值取自兩個以上變數時,可用一個時間序列中的變化去說明另一個時間序列中的變化,從而深入了解給定時間序列產生的機理。
預測未來
一般用ARMA模型擬合時間序列,預測該時間序列未來值。
決策和控制
根據時間序列模型可調整輸入變數使系統發展過程保持在目標值上,即預測到過程要偏離目標時便可進行必要的控制。
具體算法
用隨機過程理論和數理統計學方法,研究隨機數據序列所遵從的統計規律,以用於解決實際問題。由於在多數問題中,隨機數據是依時間先後排成序列的,故稱為時間序列。它包括一般統計分析(如自相關分析、譜分析等),統計模型的建立與推斷,以及關於隨機序列的最優預測、控制和濾波等內容。經典的統計分析都假定數據序列具有獨立性,而時間序列分析則著重研究數據序列的相互依賴關係。後者實際上是對離散指標的隨機過程的統計分析,所以又可看作是隨機過程統計的一個組成部分。例如,用x(t)表示某地區第t個月的降雨量,{x(t),t=1,2,…}是一時間序列。對t=1,2,…,T,記錄到逐月的降雨量數據x(1),x(2),…,x(T),稱為長度為T的樣本序列。依此即可使用時間序列分析方法,對未來各月的雨量x(T+l)(l=1,2,…)進行預報。時間序列分析在第二次世界大戰前就已套用於經濟預測。二次大戰中和戰後,在軍事科學、空間科學和工業自動化等部門的套用更加廣泛。
就數學方法而言,平穩隨機序列(見平穩過程)的統計分析,在理論上的發展比較成熟,從而構成時間序列分析的基礎。
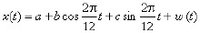
時間序列分析頻域分析 一個時間序列可看成各種周期擾動的疊加,頻域分析就是確定各周期的振動能量的分配,這種分配稱為“譜”,或“功率譜”。因此頻域分析又稱譜分析。譜分析中的一個重要統計量是 ,稱為序列的周期圖。當序列含有確定性的周期分量時,通過I(ω)的極大值點尋找這些分量的周期,是譜分析的重要內容之一。在按月記錄的降雨量序列中,序列x(t)就可視為含有以12為周期的確定分量,所以序列x(t)可以表示為 ,它的周期圖I(ω)處有明顯的極大值。
時間序列分析
時間序列分析
時間序列分析
時間序列分析
時間序列分析
時間序列分析
時間序列分析
時間序列分析
時間序列分析
時間序列分析
時間序列分析
時間序列分析
時間序列分析
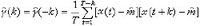
時間序列分析當平穩序列的譜分布函式F(λ)具有譜密度ƒ(λ)(即功率譜)時,可用(2π)-1I(λ)去估計ƒ(λ),它是ƒ(λ)的漸近無偏估計。如欲求ƒ(λ)的相合估計(見點估計),可用I(ω)的適當的平滑值去估計ƒ(λ),常用的方法為譜窗估計即取ƒ(λ)的估計弮(λ)為 ,式中wt(ω)稱為譜窗函式。譜窗估計是實際套用中的重要方法之一。譜分布F(λ)本身的一種相合估計可由I(ω)的積分直接獲得,即 。研究以上各種估計量的統計性質,改進估計方法,是譜分析的重要內容。時域分析 它的目的在於確定序列在不同時刻取值的相互依賴關係,或者說,確定序列的相關結構。這種結構是用序列的自相關函0,1,…)來描述的,為序列的自協方差函式值,m=Ex(t)是平穩序列的均值。常常採用下列諸式給出m,γ(k),ρ(k)的估計: ,通(k)了解序列的相關結構,稱為自相關分析。研究它們的強、弱相合性及其漸近分布等問題,是相關分析中的基本問題。模型分析 20世紀70年代以來,套用最廣泛的時間序列模型是平穩自回歸-滑動平均模型 (簡稱ARMA模型)。其形狀為: 式中ε(t)是均值為零、方差為σ2的獨立同分布的隨機序列;和σ2為模型的參數,它們滿足: 對一切|z|≤1的複數z成立。p和q是模型的階數,為非負整數。特別當q=0時,上述模型稱為自回歸模型;當p=0時, 稱為滑動平均模型。根據x(t)的樣本值估計這些參數和階數,就是對這種模型的統計分析的內容。對於滿足ARMA模型的平穩序列,其線性最優預測與控制等問題都有較簡捷的解決方法,尤其是自回歸模型,使用更為方便。G.U.尤爾在1925~1930年間就提出了平穩自回歸的概念。1943年,Η.Β.曼和Α.瓦爾德發表了關於這種模型的統計方法及其漸近性質的一些理論結果。一般ARMA模型的統計分析研究,則是20世紀60年代後才發展起來的。特別是關於p,q值的估計及其漸近理論,出現得更晚些。除ARMA模型之外,還有其他的模型分析的研究,其中以線性模型的研究較為成熟,而且都與ARMA模型分析有密切關係。回歸分析 如果時間序列x(t)可表示為確定性分量φ(t)與隨機性分量ω(t)之和,根據樣本值x(1),x(2),…,x(T)來估計φ(t)及分析ω(t)的統計規律,屬於時間序列分析中的回歸分析問題。它與經典回歸分析不同的地方是,ω(t)一般不是獨立同分布的,因而在此必須涉及較多的隨機過程知識。當φ(t)為有限個已知函式的未知線性組合時,即 ,式中ω(t)是均值為零的平穩序列,α1,α2,…,αs是未知參數,φ1(t),φ2(t),…,φs(t)是已知的函式,上式稱為線性回歸模型,它的統計分析已被研究得比較深入。前面敘述的降雨量一例,便可用此類模型描述。回歸分析的內容包括:當ω(t)的統計規律已知時,對參數α1,α2,…,αs進行估計,預測x(T+l)之值;當ω(t)的統計規律未知時,既要估計上述參數,又要對ω(t)進行統計分析,如譜分析、模型分析等。在這些內容中,一個重要的課題是:在相當廣泛的情況下,證明 α1,α2,…,αs的最小二乘估計,與其線性最小方差無偏估計一樣,具有相合性和漸近常態分配性質。最小二乘估計姙j(1≤j≤s)不涉及ω(t)的統計相關結構,是由數據x(1),x(2),…,x(T)直接算出,由此還可得(t)進行時間序列分析中的各種統計分析,以代替對ω(t)的分析。在理論上也已證明,在適當的條件下,這樣的替代具有滿意的漸近性質。由於ω(t)的真值不能直接量測,這些理論結果顯然有重要的實際意義。這方面的研究仍在不斷發展。
時間序列分析中的最優預測、控制與濾波等方面的內容見平穩過程條。近年來多維時間序列分析的研究有所進展,並套用到工業生產自動化及經濟分析中。此外非線性模型統計分析及非參數統計分析等方面也逐漸引起人們的注意。
