作者簡介
約翰·梅納德·凱恩斯(JohnMaynardKeynes1983-1946),現代西方經濟學最有影響的經濟學家之一。他的消費函式理論是現代西方總量經濟學中的一個重要研究領域,它對巨觀經濟運行分析具有現實意義。
凱恩斯概述
凱恩斯的消費函式理論是他在《就業、利息和貨幣通論》(1936)一書中提出:總消費是總收入的函式。這一思想用線性函式形式表示為:Ct = a b Yt
式中C表示總消費,Y表示總收入,下標t表示時期;a、b為參數。參數b稱為邊際消費傾向,其值介於0與1之間。凱恩斯的這個消費函式僅僅以收入來解釋消費,被稱為絕對收入假說。這一假說過於簡單粗略,用於預測時誤差較大。
內容
縱觀凱恩斯的《就業利息和貨幣通論》(以下簡稱《通論》)中有關邏輯順序,可將其消費理論簡要概述如下:
(一)把消費量(c)與就業量(n)連線起來。認為一定水平的就業量決定一定的消費量。(《通論》第79—80頁)。
(二)設一定的收入決定於一定的就業量。即“在本書範圍內,真實所得之變動原因,僅限於一特定資本設備上就業人數之增減,故真實所得隨就業人數之增減而增減”(《通論》第98頁),這樣又把收入(y)與就業量(n)聯結起來。與第一步相結合,從而把消費與收入聯繫起來。
(三)討論消費與收入等因素的關係,定義消費傾向(函式), c[,w]=x(y[,w])。
社會的消費取決於三個方面的因素:
(1)所得數量。
(2)客觀環境因素。
1、工資單位之改變;
2、所得與淨所得之差別;
3、資產的貨幣價值的變動;
4、時間貼現率;
5 、財政政策之改變;
6、個人對未來收入的預期。
以上除工資單位因素以外的其它因素在短期內都不會有太大變動,所以對消費也不會有重大影響。因此,消費是真實所得的較穩定的函式。
(3)主觀因素。
首先分析影響儲蓄動機的因素,包括謹慎、遠慮、計算、改善、獨立、企業、自豪與貪婪。然後從其反面概括出直接影響消費的主觀因素為享受、短見、慷慨、失算、炫耀與奢侈,等等。這些因素取決於制度、傳統、資本技術設備等影響,而在短期內不易發生變化,即可看作既定量。這樣,再一次證明了消費是收入的穩定函式,這裡的收入當然是指現期的絕對收入水平。
(四)定義邊際消費傾向。
dc[,w]/dy[,w]表示增加收入中用於增加消費的比例。0〈dc[,w]/dy[,w]〈1,邊際消費傾向呈遞減規律,小於平均消費傾向。“當社會之真實所得增減時,其消費量亦隨之增減,但後者之增減常小於前者。”(《通論》第98頁)。
以上構成凱恩斯消費函式理論的主要內容,被稱為“絕對收入假說”。
(五)由邊際消費傾向推出乘數理論,說明邊際消費傾向的遞減,導致有效需求不足,導致國民收入小於充分就業均衡,導致失業,這又回到他分析的出發點。
地位
凱恩斯指出:《通論》“分析之最終目的,乃在發現何者決定就業量。”“就業量定於總供給函式與總需求函式之交點。總供給函式主要繫於供給之物質情況,其中道理大都已為人熟知。”但是“一般人卻忽視了總需求函式之地位,”(《通論》第79頁)。所以,凱恩斯的重點放在總需求如何決定就業量這方面。
凱恩斯通過三大基本規律的揭示來說明有效需求不足。三大基本規律即邊際消費傾向遞減規律,資本預期邊際收益率遞減規律和人們的靈活偏好。三者導致人們將收入以貨幣形態保持在手中,而消費和投資則減少,因而減少了有效需求,結果使經濟出現小於充分就業的國民收入均衡。
在凱恩斯理論的這三大支柱中,以其消費傾向遞減規律最為根本。他固然把有效需求不足分為消費不足和投資不足,但他認為前者是有效需求不足的根本原因。而後者最終不過是前者引導出來的派生現象。因為“消費乃是一切經濟活動之唯一目的、唯一對象”(《通論》第90頁),“資本不能離開消費而獨立存在,反之,如果消費傾向一經減低,便成為永久習慣,則不僅消費需求將減少,資本需求亦將減少。”(《通論》第92頁),由此可見消費理論在其理論中獨特的基礎地位。
邊際消費傾向遞減規律的揭示,使推翻薩伊定理有了理論基礎。薩伊定律認為總供給恆等於總需求,即“供給會自行創造其需求”。凱恩斯的消費函式理論說明了消費的增減不如收入增減之甚,從而打破了供給恆等於需求的教條,克服了理論觀念上的障礙。承認市場調節會帶來盲目失衡,即會出現生產過剩的經濟危機和失業問題,從而為他的整個就業理論奠定了前提和基礎。同時,幾乎所有解決需求不足,增加就業的辦法都與消費有關,由此也可見消費理論在其整體理論中的重要地位。
消費理論的重要地位,還表現在通過邊際消費傾向的揭示,建立了乘數理論,從而為進一步分析經濟成長和周期理論奠定了基礎。邊際消費傾向遞減規律作為經濟的內在穩定器,其波動的幅度比收入的波動幅度較小,從而說明經濟波動主要是由投資波動引起的。另外,邊際消費傾向的提出致使乘數可以計算,乘數:k =1/(1-邊際消費傾向),這為進一步分析增長周期理論提供了定量工具。
新進展
自從凱恩斯《通論》出版以來,消費函式,即消費和收入之間的關係,已經在巨觀經濟研究中起了核心作用,消費函式理論研究和實證研究的進展層出不窮,其中占主導地位的有兩個消費模型:生命周期假說和永久性收入假說。霍爾(RobertE.Hall)的隨機遊走假說(random-walkhypothesis)則是對這兩個模型的進一步發展,這一假說及其後的進展成為西方消費函式理論的最新研究成果。
一、霍爾的隨機遊走假說
事實上,霍爾的構想直接來源於對生命周期假說和永久性收入假說研究的不滿意。為了迴避前者測量財富市場價格時遇到的實際性數據問題,同時避開後者即弗里德曼的後顧的或稱適應性預期的永久性收入估算的問題,霍爾提出的取代辦法是:把消費的變化經驗地模擬為通過“新信息”(News)來確定。具體地說,霍爾認為,如果財富或永久性收入的估計和今後的消費都以理性預期為基礎,那么,由消費或收入過去的變化反映出來的過時信息對現期的消費變化不應有任何影響。霍爾是從作為生命周期假說和永久性收入假說之基礎的跨時最最佳化消費模型中敏銳地覺察到這一點的。
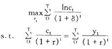
跨時最最佳化消費模型是現代消費者行為最最佳化分析的基本框架。假定正處在時期O的某個消費者預期能活到T。在O期即現在,該消費者會在其現期收入、預期收入和現期財富的條件下選擇一個現期消費水平,以使其現期和未來各期的預期效用最大化。為簡便起見,又假定沒有人願意給後代留下遺產,從而每個人都試圖到其生命結束時用光所有財富和收入(當個人遺產數量固定時也可得出相同結論)。再假定基本效用函式為對數形式,即u(c)=lnc.該函式滿足邊際效用為正值(u'(c)=1/c>0)且遞減(u″(c)=-1/c[2]<0)的一般特徵。假定效用函式是時際加性可分離(additivelyseparableovertime),也就是說,每個時期的邊際效用都與所有其它時期的消費無關。假定未來效用的主觀貼現率為δ,且暫不考慮不確定性以避免複雜的預期形式。於是,消費者面臨的問題是:
附圖
消費函式理論用拉格朗日乘數法求解可得:
附圖
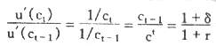
消費函式理論又由u(c)=lnc從而u'(c)=1/c得到其邊際效用聯繫為:
附圖
消費函式理論這意味著,每相鄰兩期的消費的邊際效用之比等於市場利率與消費者主觀貼現率之比。具體地說,當r>δ時,消費路徑將是隨時間不斷上升的,這有利於推遲消費(儲蓄);反之,當r<δ時,消費路徑將是下降的,這時有利於消費更多而不是推遲消費。
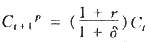
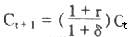
霍爾從跨時最最佳化消費模型中觀察到,如果知道C[,t],就可利用
附圖
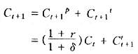
消費函式理論預測C[,t 1]。如果消費者在t期處於最優消費路徑之上,亦即利用了其擁有的關於未來收入前景的所有信息,就可以用C[,t]預測C[,t 1]。因為C[,t]已經包含了所有信息,所以預測時不再需要任何其他變數。此時預測的誤差就是在t和t+1期之間所接受到的任何關於未來收入流的“新信息”。霍爾在他的原始論文中指出,作為近似,消費應服從漂移的隨機遊走。他沿著永久性收入假說的思路對此作了進一步的說明。他認為永久性收入假說意味著,當消費者決定現期消費時,他已經把永久性收入的最佳估計納入決策之中。於是,消費的預測值將是永久性消費,即
附圖
消費函式理論而暫時性消費則是圍繞它波動的隨機變數,從而總消費為
附圖
消費函式理論取對數值,經過近似後可得到一個更為簡便的表達式:lnC[,t 1]=lnC[,t]+g+V[,t 1]
式中g為正或負取決於r是大於還是小於δ,更新項V[,t 1]類似於C[,t 1][t],在t期的期望值為零,上式表明,如果實際消費的現值的確以一種無偏的方式納入了消費者對永久性收入的最佳估計的話,那么,消費者對永久性收入的預期就是理性預期。換言之,在缺乏“新信息”的情況下,消費將以g的速度穩定地增加或減少。因此在t期或更早的時期,消費者對“新信息”一無所知,因而應該有一個變數代表消費變化率由於“新信息”的出現而偏離常量均值幅度的預測。這一結論就常常被稱作消費的“隨機遊走”,因而霍爾的消費函式理論就被稱為“隨機遊走假說”。
霍爾的結論大大拓展了消費函式概念,因為通常認為,消費函式就是指消費和收入之間的關係;而霍爾函式卻顯然排除了對收入的任何考慮。一般說來,當經常性收入包含了關於其自身價值或收入的未來價值的新信息時,收入就可在隨機項V[,t 1]上反映出來。可見,霍爾模型並不表明:消費不會對經常性收入做出反應,而是表明:在考慮了滯後消費的前提下,過去收入或收入的變化與消費的現期變化無關。在經濟計量檢驗上,這意味著:(1)利用消費的時間序列數據對弗里德曼提出的永久性消費關係式,即
附圖
消費函式理論進行回歸將產生“隨機殘差”(randomresiduals)。(2)當考慮滯後一期消費時,沒有任何其他滯後變數會增加回歸中的解釋力(或重要性)。霍爾在其原始論文中出人意料地發現,他的模型很好地擬合了美國非耐用消費品和服務的消費總量季度數據。消費水平的確依賴其滯後值,而且加進滯後多期的消費變數或者滯後一期或多期的收入變數並不能顯著地增強模型的解釋力。不過,霍爾在考察其它幾個滯後變數的作用時,卻發現滯後的股票市場價格對消費的變動有解釋力。
無論如何,霍爾所做研究的影響是巨大的,至少對預期來說是這樣,霍爾的結論完全走向了傳統消費理論的反面,以至於據說在他最初遞交那篇原始論文時,一位傑出的總量經濟學家說他一定是“中了邪了”(ondrugs)。傳統的消費理論意味著,當產出下降時,消費也下降但卻被預期會得到恢復,從而暗示存在著可預測的消費變動。恰恰相反,霍爾對永久性收入假說的擴展卻斷言,當產出發生沒有預期到的下降時,消費僅僅以永久性收入的下降量而下降並且不會被預期會得以恢復。正是由於這種不同,對霍爾模型的檢驗就顯得意義重大。
二、隨機遊走假說的新進展
隨機遊走假說意味著,消費的變化是不可預期的,因而沒有任何在t-1期可獲得的信息能被用來預測消費從t-1期到t期的變化。從這個意義上說,霍爾通過消費與滯後一期變數的回歸來檢驗其假說的辦法是無可厚非的。然而,這種辦法的缺陷在於,其結果難以解釋。比如說,霍爾關於滯後收入對消費沒有顯著解釋力的結論之所以成立可能不是因為收入的可預測變化沒有產生消費的可預測變化,而是因為滯後收入值對預測收入變動作用不大。類似地,也很難衡量利用股票價格數據拒絕該假說的重要性。
應當承認,霍爾的檢驗程式是富有吸引力的,因為它沒有依賴於收入過程的性質,而僅僅著重考察消費及其滯後。但是,由於其缺陷,隨後的研究卻突出注意了消費和實際收入的聯合考察。 弗萊文(M.Flavin)和哈牙什(F.Hayashi)都發現,對於美國的數據,消費對可預期的收入變動的反應是很敏感的。這一現象被稱為消費的“過度敏感”(excesssensitivity),其主要原因在於,大多數消費者都希望以未來收入作抵押來借款,可事實上他們做不到這一點,因為銀行乃至消費者自己都對消費者的未來收入沒有所握,從而對其未來的償付能力缺乏足夠的信心。於是,那些受流動性約束的消費者就指望花費掉其手中的所有收入。換言之,一旦收入增加,無論這種增加是預期收入還是非預期收入,消費都將隨之增加。 稍後, 霍爾和米什金(FredericS.Mishkin)又發現了與過度敏感性相對應的結果:從數據上看,消費變動和滯後收入變動之間存在著很強的負相關。由於其數據中收入變動隨時間推移呈負相關,所以上述結果就可以被理解為消費變動和實際收入變動之間存在正相關,正象流動性約束下的消費行為一樣。霍爾和米什金得出的結論是,在美國大約有1/5的人不能按其願望想借多少錢就借多少錢,亦即受著流動性約束。這與哈牙什在1982年論文中的估計完全一致。在另一項研究中哈牙什發現,受流動性約束的家庭比例在年輕家庭中較高而在年老家庭中較低。據他估計,流動性約束使消費水平比生命周期理論預測值要降低約5.5%。總之,大量研究表明流動性約束使消費水平比生命周期理論預測值要降低約5.5%。總之,大量研究表明流動性約束有助於解釋過度敏感性,而且低收入居民確實受到了流動性約束。
基於上述研究成果,坎貝爾(John Y.Campbell)和曼丘(N.Gregory Mankiw)試圖運用工具變數法(instrumentalvariables)檢驗霍爾假說以克服霍爾檢驗的缺陷。在他們看來,一部分消費者僅僅花費其現期收入,而其餘部分的消費者則按霍爾理論行事。於是如果用λ來表示前者消費的比重,那么總消費的變化就為:
C[,t]-C[,t-1]=λ(Y[,t]-Y[,t-1])+(1-λ)e[,t]
=λZ[,t]+V[,t]
式中e[,t]表示消費者從t-1期到t期的永久性收入估計值的變化。Z[,t]和V[,t]幾乎肯定是相關的,因為收入增加巨大之時常常也是消費者收到關於其生命周期收入的有用新信息之時,這意味著,上式右邊的變數與誤差項正相關,因此OLS估計上式將導致λ的估計值向上偏倚。解決辦法是使用工具變數法而不用OLS。需要找出的“工具”是那些與上式右邊相關但卻與殘差不相關的變數。一旦有了這樣的“工具”,就可進行第一階段的回歸,即對Z[,t]與工具變數的回歸,得出Z[,t]的估計值Z[,t]。第二階段的回歸則是對C[,t]-C[,t-1]與Z[,t]進行回歸,亦即估計:
C[,t]-C[,t-1]=λZ[,t]+λ(Z[,t]-Z[,t])+V[,t]
=λZ[,t]+V[,t]
式中殘差V[,t]包括V[,t]和λ(Z[,t]-Z[,t])兩項。依據假定,用於導出Z[,t]的工具變數系統上與V[,t]無關,從而Z[,t]與該回歸的殘差即Z[,t]-Z[,t]無關。這樣,上式的回歸就可產生一個有效的λ估計值。
通常的問題在於發現有效的“工具”,因為常常很難找到可以確信與殘差不相關的變數。然而隨機遊走假說表明,當殘差反映的是t-1期與t期之間的新信息時,任何已知的t-1期的變數都與殘差無關,因而候選的工具變數就有許多。這樣,坎貝爾和曼丘的檢驗就成為可能。在他們1989年的一篇論文中,他們以消費者人均非耐用品和服務的實際購買量衡量消費,以人均實際可支配收入來衡量收入,選取美國1953—1986年的季度數據作為樣本,檢驗了霍爾假說。他們考察了許多不同系列的工具變數並發現,收入的滯後變化對未來變化幾乎沒有預測力。這意味著,霍爾沒有發現滯後收入變動對消費的預測力並不能成為反對傳統消費理論的有力證據。於是,他們用消費變化的滯後值作為工具變數並得出相應的結果:當使用3個滯後值時,λ的估計值為0.42,標準誤差為0.16;當使用5個滯後值時,λ的估計值為0.52,標準誤差為0.13。其他情況也得出了類似的結果。這意味著,在美國,大約有一半的消費是由那些僅僅花費掉其現期收入的人們所進行的,而另一半消費則是由那些按霍爾理論行事的人們所進行的。換言之,坎貝爾和曼丘的估計在數量上大大地並在統計上意義重大地偏離了隨機遊走模型的預測,亦即當預期收入增加1美元時,消費對此的反應似乎是增加大約50美分。這樣,認為消費對預期收入的變動將不作任何反應的假說就被強有力地駁倒了。與此同時,λ的估計值又遠低於1,從而上述結果又意味著永久性收入假說對理解消費是重要的。
雪亞(JohnShea)的檢驗則是從另一角度進行的。雪亞和許多研究者一樣,由於注意到利用總量數據檢驗隨機遊走假說的一些缺陷,改而利用單個家庭數據檢測消費行為。這些缺陷主要表現在:(1)觀測量或者說樣本長度明顯太小;(2)很難找到對收入變化有很大預測力的變數,因而難以檢驗隨機遊走假說的關鍵性論斷即收入的可預期變化與消費的可預期變化不相關;(3)該理論是關於個人消費的,其模型預測套用於總量數據時需要附加的假定;因為即使對每個單個家庭都成立的預測也可能在總量上不成立。基於上述考慮,雪亞在1995年的論文中採用了密執安收入動態固定樣本研究(thePanelStudyof IncomeDynamics,通常簡稱PSID)的數據並特別注意區分收入的可預期變化。他注意到,對PSID中那些在長期工會契約保護下的工薪階層家庭來說,契約中規定的工資增長和基本生活費用使得其收入增長有了一個重要的可預測因素。他選取了647個觀測戶作樣本,這些觀測戶的工會契約提供了關於其家庭未來所得的明確信息。他把事實上的實際工資增長與從工會契約中導出的估計值和一些控制變數進行回歸,得出的結論是:導出的估計量的係數為0.86,標準誤差0.20。因此,工會契約對所得的變化有著重要的預測力。他又把消費的增長與上述的預期工資增長進行回歸,按永久性收入假說後者的係數應為零,而事實上估計的係數為0.89,標準誤差為0.46。這樣,雪亞的估計也在數量上大大地(雖則僅在增量統計上意義重大地)偏離隨機遊走假說的預測。
由於這種偏離的一個可能的原因是流動性約束,雪亞又以兩種方式對流動性約束進行了檢驗。首先,他按照澤爾斯(StephenP.Zeldes)等人的方法,把家庭按其是否擁有流動性資產(liquidassets)分為兩類。擁有流動性資產的家庭可以通過減少其流動性資產而不是通過借錢來使其消費平滑化。因此,如果流動性約束確是可預期的工資變化影響消費增長的原因的話,那么,永久性收入假說(從而隨機遊走假說)的預測值將僅對沒有任何資產的家庭來說是無效的。然而,雪亞卻發現,估計出來的預期工資增長對消費的影響實質上在兩組家庭中都是相同的。其次,按照阿爾通吉(JosephG.Altonji)和錫歐(AloysiusSiow)的方法,雪亞把低財富樣本按其實際工資的預期變化是正值還是負值分為兩類。面臨收入預期會下降的家庭需要進行儲蓄而不是借錢以使其消費平滑化。於是,如果流動性約束確實至關重要的話,那么,可預期的工資增加會導致預期消費增加;而預期的工資減少卻不會導致預期消費減少。然而,雪亞的發現卻恰恰與此相反:對於那些預期收入增加的家庭來說,估計出來的實際工資的預期變化對消費增長的影響僅為0.06,標準誤差為0.79;而對於那些預期收入下降的家庭來說,估計出來的影響卻達2.24,標準誤差為0.95。因此,沒有任何證據表明,流動性約束是導致雪亞的結果發生偏離的原因。
總之,隨機遊走假說和生命周期假說、永久性收入假說一樣,其出發點都是:現期消費依賴於全部未來收入流的現值;其基本分析框架都是跨時最最佳化消費模型。然而,關於理性預期的作用卻尚無定論。因此,霍爾假說的弱點恰恰就在於把理性預期套用於消費者用以估計永久性收入的過程。上述檢驗就是對這一弱點的一些不同側面的反映。
缺陷
凱恩斯的消費理論畢竟還存在著根本性的缺陷:
第一,凱恩斯理論建立在主觀的心理分析基礎之上,而且邏輯也較不嚴密。在概括消費傾向遞減規律時,把它稱之為“正常心理法則”(《通論》第98 頁)。雖然也指出尚須若干修正,但也不是難事。但對此卻再沒有更充分的證明或修正了。只是歸結為“人類天性”。作為經濟理論的支柱建立在心理分析基礎之上難以令人信服。
第二,凱恩斯局限於總量分析,只看到收入影響消費的現象,而不能進一步揭示影響消費的收入背後是收入的分配,進而是人們在社會生產中的相互關係。所以,他不可能從根本上揭示收入分配和消費的結構差異及其資本家和工人的階級差異,而只是籠統地稱“公眾”、“居民”,雖也提及“富人”與“窮人”但也只是細枝末節。
第三,由其理論得出的許多結論也是不合情理的。如戰爭、地震之類都可解決失業問題等等。這裡,值得指出的是,這些論斷看上去“奇怪荒謬”,但在凱恩斯理論中則是順理成章的,由此,我們不能簡單地斥之為不近人情,凱恩斯由人之天性為基礎,結果推出不合人情的結論,足以促使後來者對其理論本身的反思了。
消費與其決定因素之間的函式關係。決定消費水平的因素很多,如收入、財產、利率、收入分布等。其中收入是最根本的因素。因此,消費函式實質上是指消費與收入之間的函式關係。

